| CATEGORII DOCUMENTE |
| Comunicare | Marketing | Protectia muncii | Resurse umane |
Studiul dimensiunilor pietei
Elementele care dau imaginea de ansamblu a pietei cu privire la dimensiunile sale sunt : capacitatea, dinamica, dispunerea spatiala si structura sa interna.
Evaluarea capacitatii pietii
Cunoasterea capacitatii pietei este de prim ordin in studiile de marketing deoarece reprezinta punctul de pornire pentru elaborarea politicilor de piata.
Capacitatea pietei exprima dimensiunile cantitative ale acesteia si se aprecieaza cu ajutorul unor indicatori de tipul : volumul vanzarilor, volumul cererii, numarul de cumparatori etc. Pentru cercetare se folosesc metode care ofera informatii in legatura cu acesti indicatori.
Capacitatea pietei reflecta posibilitatea pietei de a absorbi un anumit produs sau serviciu, fara a lua in consideratie preturile, reprezinta deci, necesarul pietei pentru un anumit produs si se determina cu relatia :
C = K x Y ; in care :
K = numarul total al consumatorilor (persoane fizice, unitati economice etc.);
Y = capacitatea medie de consum sau intensitatea medie de utilizare a unui produs.
Capacitatea pietei se aprecieaza la un anumit moment sau pe o anumita perioada de timp (luna, trimestru, sezon, an etc.).
Potentialul pietei (Pp) reprezinta cererea totala pentru un anumit produs sau serviciu la un pret dat, deci reprezinta acea parte din capacitatea pietei care ar putea fi satisfacuta in anumite conditii social-economice (materiale, financiare etc.).
Consumul aparent la un anumit produs se calculeaza avand in vedere productia interna, importul si exportul la produsul respectiv :
Ca = Pip + Ip - Ep ; in care:
Pip = productia interna a tarii la produsul respectiv;
Ip = importul tarii la produsul respectiv;
Ep = exportul tarii la produsul respectiv.
Volumul pietei (Vp) pentru un produs este dat de cantitatea totala din produsul studiat vanduta pe piata respectiva. Raportul dintre volumul pietei si potentialul pietei exprima gradul de saturatie al pietei.

Ponderea intreprinderii pe piata produsului exprima cat la % din volumul pietei (volumul vanzarilor) a fost asigurat de intreprinderea respectiva. La noi in tara cea mai mare pondere pe piata carnii de porc si de taurine o are COMTIM-ul, iar pe piata produselor avicole cele mai mari ponderi le au marile inteprinderi avicole.
Informatiile necesare cu privire la capacitatea pietei se asigura prin sondajul statistic, iar esantionul supus observatiei poate reprezenta de la caz la caz intreaga populatie sau un numar de consumatori, observatia se poate face la magazin, la expozitie, la targ, pe strada, la domiciliu prin chestionar, interviu etc.
Prin intrebari vizand domiciliul cumparatorilor, frecventa modul de efectuare al cumparaturilor, preferintele pentru un anumit magazin, targ, produs etc. - se pot stabili : aria comerciala a intreprinderii, a magazinului, a producatorului, imaginea acestora, proportiile clientelei stabile in totalul cumparatorilor etc.
Studierea localizarii pietei
Eleentele care definesc dimensiunea pietei trebuie raportate la spatiul economico-geografic in are se desfasoara activitatea de piata, la locul de 'intalnire' a pfertei cu cererea, pentru amplasarea in sistemul optim a spatiilor de depozitare, a retelei de desfacere si organizarea vanzarilor cu eficienta sporita.
Gradul de concentrarea a pietei, ca element spatial al acesteia se exprima prin intermediul indicatorilor: repartizarea teritoriala a vanzarilor, densitatea retelei comerciale, gradul de solicitare a retelei comerciale, migratia cererii de marfuri, gravitatia comerciala, etc.
In ceea ce priveste migratia cererii de marfuri si gravitatia comerciala, din cercetarile efectuate in tara noastra rezulta ca peste 80 % din marfurile neesare pentru consum se procura din localitatile de domiciliu ale consumatorilor.
Un caracter migratoriu deosebit de pronuntat este propriu cererii cumparatorilor rurali pentru marfuri nealimentare.
Forta de polarizare comerciala a unei localitati depinde de o serie de factori cum sunt: marimea localitati, functiile social-economice ale acesteia (centru administrativ teritorial, centrul universitar, cultural, centrul turistic, centrul comercial, pozitia geografica etc.), caile de acces catre centrul urban si starea acestora, gradul de dotare comerciala a localitatii, structura socio-profesionala a popuatei din localitate si a celei aflate in zona de influenta comerciala a acesteia.
Masurarea intensitatii fenomenului gravitational al unei localitati se face prin mai multe metode care se grupeaza in:
- deterministe, care stabilesc in mod cert dimensiunile gravitatei coerciale;
- probabilistice, care descriu procesul prin care cumparatorii opteaza pentru o alternativa de aprovizionare aleasa intre mai multe centre comerciale posibile.
Dintre etodele deterministe prezentam 'Legea gravitatiei comerciale' (a lui W.J. Reilly) formulata astfel: doua centre A si B atrag cumparatori dintr-o localitate intermediara (L mai mica) in raport direct proportional cu numarul locuitorilor acestor centre si in raport invers proportional cu patratul distantei dintre localitatea considerata (L) si aceste centre, respectiv:
,
in care:
Ca si Cb = valoarea cumpararilor atrase de centrele urbane A si B din localitatea mai mica L
Pa si Pb = populatia centrelor A si B
Da si Db = distanta de la localitatea (L) pana la centrele A si B.
Cu ajutorul acestei formule se poate delimita aria comerciala a unei localitati si se pot alcatui 'harti comerciale' ale unor zone.
Formularea problemei:
Cunoscand distanta dintre doua centre (A si B) si populatia acestora sa se stabileasca punctul 'x' pe traseul dintre cele doua cetre unde se delimiteaza zonele de influenta ale acestora, respectiv punctul de interferenta, unde forta de atractie a celor doua centre este egala, aceasta presupune ca Ca / Cb = 1, pornind de la aceasta egalitate si notand cu Da si Db distanta de la cele doua centre pana la punctul cautat 'x', se obtine:
Distanta de la centrul cu populatie mai mare la punctul 'x' se calculeaza prin diferenta intre distanta dintre centrele A si B si distanta de la centrul B la 'x' (Db).
Da = Dab - Db
Proportia dintre cererile atrase de un centru mai mare A (respectiv Ca) si cele care raman a fi satisfacute in localitatea mai mica T (notate cu Ct) se stabileste cu urmatoarea relatie matematica stabilita de P.D.Converse pe baza relatiei lui Reilly:

in care cifra 4 reprezinta marimea factorului de inertie.
Exemplu: Localitatea T are o populatie de 25000 locuitori (Pt) si este situata la distanta de 20 km (Dt) fata de localitatea A care are o populatie de 500000 locuitori (Pa) deci:
in care cifra 4 reprezinta marimea deci 44,4 % din cererea de marfuri a localitatii T se satisface migrand catre orasul A, iar 55,6 % din cerere local de pe piata localitatii T. Formulele Reilly - Converse, desi au o larga utilizare prezinta unele deficiente, deoarece nu iau in considerare urmatoarele aspecte: gradul diferit de modernizare a magazinelor de la o localitate la alta, reputatia lor, nivelul aprovizionarii, calitatea marfurilor, calitatea serviciilor comerciale oferite, preturile de vanzare etc.
Modelele probabilistice, in studiul atractiei comerciale redau optiunea cumparatorilor pentru o alternativa de aprovizionare sau alta in functie de anumiti factori cum sunt: suprafata comerciala a centrului de atractie, timpul necesar deplasarii pana la centrul comercial, cheltuielile medii (saptamanale, lunare, anuale) pe un locuitor (bugetele de familie, sondaele, etc).
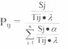
Probabilitatea deplasarii unui consumator care domiciliaza in punctul 'i' la centrul coercial 'j' se calculeaza cu relatia : (Modelul lui D.L. Huff)

in care:
Sj = marimea centrului comercial 'j', exprimata prin suprafata comerciala destinata desfacerii unei anumite categorii de marfuri;
Tij = timpul necesar deplasarii din punctul 'i' la centrul comercial 'j',
l = parametru, estimat empiric, reflecta efectul timpului de deplasare pentru diferite categorii de cumparaturi (in aplicatile lui Huff valoarea 2,723 pentru mobila, 3,191 pentru imbracaminte);
a = parametru care reflecta marimea diferitelor categorii de centre comerciale;
Numarul probabil de consumatori (Nij) care locuiesc la un punct dat 'i', un cartier, localitate satelita etc, care isi vor efectua cumparaturile la un anumit centru comercial 'j', se determina cu relatia:
Nij = Ci x Pij
in care: Ci = numarul de consumatori domiciliati in punctul 'i'.
Avand in vedere existenta unor trepte diferite de intensitate a cererii pentru marfurile oferite de centrul comercial, aria de atractie a cumparatorilor, sau numarul total de cumparatori pentru diferitele categorii de marfuri ale centrului comercial 'j' se calculeaza cu relatia:
![]()
Aj = aria in cadrul careia un centru comercial atrage cumparatorii pentru diferite categorii de marfuri (numarul total de cumparatori pentru diferite marfuri).
Volumul vanzarilor realizate de un centru urban in cadrul zonei sale de atractie se estimeaza cu relatia:
![]()
sau:
in care: Kj = cheltuielile medii (saptamanale lunare sau anuale) pe un locuitor din cadrul fiecarui punct de pornire 'i', pentru cumpararea unei anumite categorii de marfuri (se stabilesc pe baza sondajelor in randul populatiei, bugetelor de familie etc.)
Gradul de solicitare a retelei comerciale se cerceteaza folosind sondajul sau analiza stocurilor comparativ cu vanzarile care pot indica grade diferite de solicitare a unitatilor de catre cumparatori.
Pe langa atractia exercitata de centrele comerciale mari din mediul urban fata de localitatile mai mici din zona, exista si miscari de mai mica intindere cum sunt cele intre cartierele unui oras (atractia unui vad comercial cu renume, a unui centru comercial), deplasarile catre anumite unitati comerciale (cu un anumit profil, cu un anumit prestigiu in randul cumparatorilor).
Studierea acestor aspecte este necesara pentru fundamentarea deciziilor privind: amplasarea noilor obiective comerciale, profilarea adecvata a unitatilor, stimularea sau abandonarea vechilor vaduri comerciale, crearea unor noi vaduri, distribuirea rationala a fondului de marfuri pe zone.
Gradul de solicitare a retelei comerciale se apreciaza cu indicatorii: gradul de aglomeratie in unitati, frecventa solicitarii diferitelor produse, asocierea cumparaturilor, etc.
Dinamica pietei
Elementele care caracterizeaza piata sunt intr-o continua schimbare sub influenta unor factori economici, sociali sau de alta natura.
Factorii care influenteaza dinamica pietei se grupeaza in doua categorii si anume:
- factori care influenteaza oferta de marfuri;
- factori care influenteaza cererea de marfuri.
Oferta de marfuri este determinata direct de volumul productiei realizate in tara si de volumul importurilor. Cresterea volumului productiei realizata in tara depinde foarte mult de gradul de dezvoltare si modernizare a economiei (dotare tehnica, sistemele organizatorice de productie si valorificare, folosirea de animale si seminte cu valoare biologica ridicata, practicarea unor tehnologii moderne etc). Cresterea volumului productiei determina cresterea ofertei si a posibilittilor de satisfacere a cererii.
Cererea de marfuri este influentata direct de veniturile populatiei, preturi si autoconsumul din mediul rural. Cresterea veniturilor banesti ale populatiei determina puterea de cumparare, nivelul si structura cererii, iar nivelul preturilor gradul de accesibilitate la diferite categorii de marfuri, solvabilitatea cererii si puterea de cumparare a populatiei.
Cercetarea structurii pietei
Datorita complexitatii deosebite a pietei cercetarile de piata vizeaza un anumit domeniu strict si numai in cazuri foarte rare sunt exhaustive.
Deci piata este o categorie economica cu o structura foarte complexa si cu un sistem de relatii reciproce complicat, ale carui elemente se caracterizeaza printr-o dinamica permanenta, niciodata nu vom avea o ordonare spatio - temporala perfecta, elementele sale se prezinta sub forma unei multimi cvasiperiodice si cvasiordonata.
Evidentierea si diferentierea componentelor foarte numeroase si eterogene ale pietei se realizeaza prin intermediul a doua procedeee stiintfice de certa valoare practica: segmentarea si tipologia pietei.
Segmentarea pietei
Segmentarea pietei presupune un sistem de tehnici de functionare a unei populatii pe grupe de componente care satisfac anumite conditii si criterii; prin segmentare se urmareste minimizarea disparitiilor (dispersiei) din cadrul grupelor si maximizarea disparitiei (dispersiei) intre segmentele constituite.
Cel mai utilizat sistem este cel al segmentarii pe produs, cand se urmareste divizarea pietei globale in functie de tipurile si dimensiunile pietei diferitelor produse sau sortimente de produse. Alte criterii de segmente sunt:
- Criterii geografice sau topografice (regiunea, tara, zona geografica, climatul etc.), acestea se pot utiliza atat pe piata bunurilor de consum cat si pe piata mijloacelor de productie;
- Criterii privind comportamentul cumparatorului (frecventa cumpararii, utilizarea data produsului, preferinta pentru tipul de marca sau magazin etc);
- Criterii socio-economice ale cunmparatorilor (varsta, sex, educatie, venit, numarul membrilor de familie, etc.). Aceste criterii se folosesc in special pe piata bunurilor de consum;
- Criterii psihologice privind personalitatea cumparatorilor autoritatea, independenta, gradul de orgoliu, sociabilitatea, gradul de conservatorism, etc), aceste criterii se pot folosi atat in cadrul pietei bunurilor de consum, cat si pe piata mijloacelor de productie.
intreprinderile consumatoare (producatoare) se pot grupa dupa forta de munca folosita, puterea instalata, destinatia produselor realizate, etc.
Ca tehnici de divizare si de masurare a intensitatii relatiilor stabilite intre diverse subdiviziuni se folosesc: metode azate pe teoria informatilor sau metode matematice derivate din testul c2 (Hi).
Operatia de segmentare se bazeaza pe tehnica dihotomica, ce presupune o serie de segmentari in grupari succesive, folosind variabilele care conduc la o segmentare optima:
Criteriile de optimizare folosite in metodele de segmentare se fundamenteaza pe notiunea de redundanta.
Redundanta intervine in conditii in care populatia 'Y' ia o anumita stare 'y' in functie de 'x1' si se defineste ca diferenta intre suma entropiilor sistemelor 'y' si 'xi' (in care poate fi descompus campul 'Y' in conditile in care i = e) si entropia sistemului yxi.
Dintre metodele matematice derivate din testul c2 (hi) cea mai uzitata este metoda Belson, care se bazeaza pe comensurarea diferentei absolute intre efectivele reale ale segmentelor si efectivele ce se asteapta din observare in cazul interdependentei dintre variabilele xi si y.
In functie de modul de prezentare a variabilei dependente (y) si diviziunile admise pentru variabilele (independente, explicative xi, se pot ivi situatii diferite in privinta modului de calcul si de prelucrare a datelor.
Situatia cea mai simpla este aceea in care variabila (dependenta) explicata (y), desemnata prin campul Y, este dihotomica, cu starile y1 si y2 admitandu-se pentru variabila explicativa aceeasi stare dihotonica.
Dispunerea campurilor x si y in procesul de segmentare
|
Y |
Xi |
S |
|
Yi |
x11 x12 .. x1n |
k1 |
|
y2 |
x21 x22 .. x2n |
k2 |
|
S |
x1 x2 .. xn |
X |
In acest caz abaterile intre efectivele reale ale segmentelor x1 si x2 si efectele ce se asteapta din observere sunt egale. Abaterea respectiva se calculeaza cu ajutorul expresiei :

Criteriul de segmentare se bazeaza pe maximizarea patratelor abaterilor intre efectele reale si efectele ce se asteapta din observare folosind relatia :

Pentru stabilirea valorii maxime a criteriului de segmentare - ce poate fi considerata optima - procesul de analiza se foloseste expresia:
![]()
care se maximizeaza in functie de campul X si restrictiile corespunzatoare fiecarui proces de cerectare prin intermediul coeficientului a

f1 =
Exemplu practic
Pe baza unui esantion de 2000 de persoane se cerceteaza vanzarile de carne de porc. Pentru segmentarea pietei cat mai reprezentativ si caracterizarea gradului de penetratie a produsului in consum s-au luat drept criterii de segmentare mediul de resedinta, componenta familiei, veniturile.
O prima segmentare se poate efectua dupa mediul de resedinta (urban, rural) al subiectilor cercetati.
Distribuirea pe mediu a crescatorilor si necrescatorilor de porcine care alcatuiesc esantionul de 2000 de persoane este prezentata in tabelul urmator:
Structuri pe medii
|
Y |
Xi |
S |
|
Segmentul 1 urban Segmentul 2 rural | ||
|
crescatori (y1) |
x11 120 x12 978 |
k1 1098 |
|
crescatori (y2) |
x21 900 x22 2 |
k2 902 |
|
S |
x1 1020 x2 980 |
X 2000 |
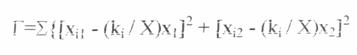
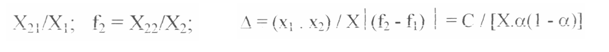
Pentru fiecare celula din tabel se observa ca valoarea absoluta a diferentei dintre efectivul observat (xi) si efectivul teoretic (ki/X) x1 este aceeasi.
X11 - (Ki / X).X1
441 + 439 +441 +439 / 4 =
440;
= 440 = C
440 / 2000 . 0,2 . (1 - 0,2) - 440 / 400 . 0,8 = 440 / 320 = 1,375
In concluzie mediul de resedinta al consumatorilor este un criteriu de segmentare.
Dupa segmentarea populatiei cercetate in doua grupuri procesul se reia pentru fiecare grup rezultand patru grupuri si asa mai departe, pana cand se ajunge la o segmentare optima.
Analiza tipologica a pietei
Spre deosebire de segmentare care este un proces de diviziune succesiva a colectivitatii cercetate, tipologia este un proces invers de sinteza pornit de la componentii individuali care se grupeaza in grupuri din ce in ce mai mari in functie de anumite caracteristici comune.
Analiza tipologica se porneste pe baza datelor inregistrate in chestionarul folosit la ancheta efectuata in randul colectivitatii cercetate, prin gruparea raspunsurilor la intrebari in 'n' tipuri, care se diferentiaza intre ele in functie de anumite criterii.
Cercetarea tipologica incepe cu stabilirea tipurilor pe baza elementelor care definesc caracteristicile unui tip. Dupa aceea din colectivitatea cercetata se selectioneaza si se incadreaza in diferite tipuri, indivizii cu caracteristici comune sau foarte apropiate. Deci dintr-o colectivitate cu 'n' elemente individuale se ajunge la o colectivitate cu elemente grupate in 't' tipuri pe baza urmatoarelor operatiuni:
- Calcularea distantei intre punctele prin care sunt reprezentati componentii colectivitatii pe baza relatiei :
D = 1 / N . aj , in care:
N = numarul intrebarilor;
aj = 1, daca valoarea coordonatelor 'j' difera de la un punct la altul;
aj = 0, daca componenta ia aceeasi valoare pentru doua puncte;
- Schimbarea sistemului de coordonate prin definirea unui nou spatiu (M) cu un anumit numar de puncte medii. Un punct mediu are drept coordonate mediile coordonatelor individuale ale indivizilor ce compun tipul:
K = Kj , in care:
ki = numarul eventualelor raspunsuri la intrebarea 'i';
N = numarul de intrebari din chestionar.
Se cunosc doua metode de analiza tipologica si anume :
- Analiza tipologica prin acumulare, care consta in clasarea succesiva a tuturor indivizilor colectivitatii, prelucrati dupa o ordine aleatoare (intamplatoare), in tipuri provizorii, elaborate cu ajutorul pragurilor individuale;
- Analiza tipologica prin concentrare, consta in identificarea sistematica, in toate stadiile de prelucrare a tipurilor provizorii cele mai apropiate, urmand a le grupa intr-un numar mai mic de grupuri. Aceasta metoda se foloseste in cazul unor esantioane cu efective reduse si al anchetelor pilot.
|
Politica de confidentialitate | Termeni si conditii de utilizare |
Vizualizari: 2591
Importanta: ![]()
Termeni si conditii de utilizare | Contact
© SCRIGROUP 2025 . All rights reserved