Scrigroup - Documente si articole

     

HomeDocumenteUploadResurseAlte limbi doc
DemografieEcologie mediuGeologieHidrologieMeteorologie

Notiuni fundamentale ale Fizicii

geografie



+ Font mai mare | - Font mai mic



Notiuni fundamentale ale Fizicii



Fenomen fizic Fenomenul fizic (procesul sau transformarea) reprezinta o succesiune de modificari ale unui anumit corp, sau sistem de corpuri, care evolueaza in timp, dupa o anumita lege. Toate schimbarile de acest fel formeaza obiectul de studiu al fizicii si sunt evaluate calitativ si cantitativ prin observatii.

Marime fizica si masurare. Marimile fizice definesc proprietati ale corpurilor sau caracterizeaza procese in care schimbarile ce survin pot fi descrise cantitativ. Exemple de marimi fizice sunt: masa, temperatura, viteza, sarcina electrica. Fizica a fost numita mult timp stiinta masurarii, deoarece studiul fenomenelor fizice implica masurarea marimilor ce le caracterizeaza. Masurarea este un proces prin care se compara marimea fizica respectiva cu o marime bine definita, de aceeai natura, ce a fost aleasa ca unitate de masura. Aceasta comparare (sau masurare) se realizeaza cu ajutorul unui instrument de masura. Iata citeva exemple de unitati de masura: 1metru pentru lungimi, 1 secunda pentru durate, 1 kg pentru mase.

Unele marimi fizice sunt marimi fundamentale, ele fiind definite numai prin descrierea procedeului de masurare. De exemplu, distanta se determina prin masurare cu o rigla, iar timpul prin masurare cu un ceas. Alte marimi fizice sunt marimi derivate, ele fiind definite prin formule de calcul ce utilizeaza marimile fundamentale. De exemplu, viteza reprezinta raportul dintre distanta parcursa si durata deplasarii corpului.

De-a lungul timpului s-au utilizat diferite sisteme de unitati de masura, adica seturi de marimi fizice fundamentale si de unitati de masura corespunzatoare acestora. In zilele noastre se utilizeaza cel mai frecvent Sistemul International de Masura, cunoscut sub sigla SI, care utilizeaza urmatoarele marimi si unitati fundamentale:

Marime

Unitati de masura fundamentale

Denumire

Simbol

Lungime

metrul

m

Masa

kilogram

kg

Timp

secunda

s

Intensitatea curentului electric

amper

A

Temperatura termodinamica

kelvin

K

Cantitatea de substanta

mol

mol

Intensitatea luminoasa

candela

cd

Doua unitati suplimentare se adauga celor de mai sus, si anume pentru unghiul plan, radianul (rad) si pentru unghiul solid, steradianul (sterad). Toate celelalte marimi fizice si unitatile lor se exprima cu ajutorul marimilor fizice si al unitatilor lor fundamentale. In ceea ce privete multiplii si submultiplii unitatilor de masura, pentru a le exprima, se utilizeaza urmatoarele prefixe:

Pentru multipli: 101 deca-; 102 hecto-; 1 3 kilo-; 106 mega- 1 9 giga-; 1012 tera-.

Pentru submultipli: 10-1 deci-; 1 -2 centi-; 10-3 mili-; 10-6 micro-; 10-9 nano-; 10-12 pico- .

Alte Sisteme de Unitati. Dintotdeauna, oamenii au avut libertate in alegerea marimilor fizice si a unitatilor lor de masura. De aici a rezultat un anumit grad de arbitrar in exprimarea marimilor fizice. De exemplu, in locul masei se poate alege ca marime fundamentala forta. Cele mai frecvente sisteme de unitati intalnite in practica, in afara de SI, sunt: CGS (centimetru-gram-secunda) si MKfS metru- kilogram-forta-secunda). O parte a literaturii de fizica este scrisa in sistemul CGS, deoarece era sistemul cel mai raspandit in secolele XVIII si XIX. Dar legile fizicii, care exprima relatii intre marimi fizice masurabile, sunt aceleai indiferentr de sistemul de unitati utilizat pentru a le exprima.

Marimile fizice pot fi marimi scalare sau marimi vectoriale. Marimile fizice scalare sunt determinate numai prin valoarea lor numerica. Un exemplu de marime scalara este masa unui corp, m =2 kg. Marimile vectoriale sunt determinate prin valoarea lor numerica (numita marimea vectorului sau modulul vectorului), prin directia si sensul vectorului.

Camp fizic. Se numeste camp fizic regiunea din spatiu unde se manifesta o anumita marime fizica si unde, in fiecare punct din regiune, marimea fizica are o anumita valoare. Campurile fizice pot fi campuri scalare sau campuri vectoriale, in functie de marimea fizica ce le caracterizeaza. Exemple de campuri fizice sunt (i) temperatura dintr-o camera, care formeaza un camp scalar; (ii)vectorii camp electric dintr-un nor de ploaie, care genereaza un camp vectorial.

Lege fizica. Anumite fenomene sau procese fizice pot avea legaturi cauzale bine definite. Prin observatii sau prin determinari experimentale, oamenii descopera aceste legaturi si stabilesc relatiile cauzale intre schimbarile diferitelor marimi fizice ce caracterizeaza fenomenele respective. Legile generale care guverneaza fenomenele fizice se numesc legi fizice. Pe baza legilor fizice se poate analiza un anumit fenomen care este observat in natura sau in laborator. De asemenea, aplicand legi fizice specifice, se poate prevedea starea viitoare a unui sistem fizic.

Experiment fizic. Observatiile dirijate efectuate in laborator, in scopul intelegerii unor fenomene fizice, se numesc experimente. Pentru a fi considerate valabile, experimentele trebuie sa indeplineasca unele conditii. Trebuie sa existe o concordanta intre: (i) rezultatele analizei stiintifice a unui anumit fenomen (exprimate printr-o lege), (ii) observatiile dirijate din laborator (experiment) si (iii) observarea fenomenului in natura.

Timp. Timpul reprezinta o masura a duratei proceselor fizice, el fiind masurat prin durata unui anumit proces. Masurarea timpului se poate face cu ajutorul unor miscari periodice (oscilatii mecanice, vibratii atomice sau moleculare). Unitatile si etaloanele de timp au evoluat de-a lungul timpului, ele stabilindu-se in functie de durata unui anumit fenomen fizic periodic uniform. In prezent, unitatea de timp este secunda. Secunda este definita pe baza perioadei, TCs, a radiatiilor emise de atomii izotopilor de Cesiu-133, in urma unor anumite tranzitii intre doua stari energetice.

Spatiul si lungimea. Corpurile fizice ocupa un anumit loc in spatiu, avand anumite dimensiuni (lungime, latime, grosime, volum, arie, etc.). De asemenea, locul lor in spatiu se modifica in functie de miscarea pe care o efectueaza. Dimensiunea unui corp se stabilete prin compararea sa cu un alt corp, considerat etalon de lungime. Etalonul de lungime actual este metrul, care reprezinta 1650763,73 lungimi de unda ale radiatiei portocalii a atomului de Kripton-86 la tranzitia 2p10→5d5 in vid. In mod formal, standardul pentru unitatea de masura a lungimii este distanta dintre doua linii paralele trasate pe o bara de platina-iridiu, pastrata in conditii de presiune si temperatura constante, la Svres (langa Paris). Toate celelalte lungimi se exprima prin compararea cu acest metru-standard.

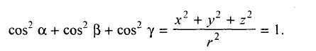
Spatiul constituie o notiune filozofica, el fiind 'locul' in care se desfasoara fenomenele fizice. Spatiul fizic conventional este spatiul euclidian, care este tridimensional. In spatiul tridimensional sunt suficiente trei numere care sa descrie pozitia unui corp in spatiu. Aceste numere sunt determinate prin alegerea Sistemului de referinta fata de care se raporteaza corpul. Sistemul de referinta este format dintr- un sistem de trei axe perpendiculare intre ele in spatiul tridimensinal si un ceasornic, in aa fel incat sa se poata determina distante si durate de timp. Axele sistemului de referinta au cate un vector unitate, numit versor, de modul unitate, si a carui directie da sensul pozitiv al axei respective. In fig.1.1 se prezinta un sistem de referinta, in care axele de coordonate sunt Ox, Oy si Oz. Versorii axelor sunt vectorii

Modul in care se exprima pozitia corpului in spatiu depinde de sistemul de coordonate. De regula, cele trei numere care descriu pozitia corpului sunt proiectiile, pe cele trei axe ale sistemului de referinta, ale punctului care constituie centrul de masa al corpului. Acestea se numesc coordonatele carteziene ale corpului. Alte sisteme de coordonate utilizeaza o distanta si doua unghiuri (coordonate sferice), sau doua distante si un unghi (coordonate cilindrice).

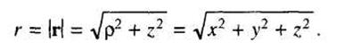
Punct material. Un corp fizic cu dimensiuni neglijabile si avand masa concentrata intr-un punct, numit centru de masa, se numeste punct material. Aproximatia de punct material constituie cel mai simplu model fizic. Pe durata deplasarii sale, punctul material se numeste mobil. Pozitia mobilului P din fig.1.1 este data de vectorul de pozitie, exprimat in functie de coordonatele carteziene sub forma :

Numerele x, y, si z se numesc coordonatele carteziene ale punctului M

Modulul vectorului de pozitie este dat de relatia:

(1.2)

Relatia a fost introdusa si in geometria analitica, pentru a exprima distanta dintre doua puncte in spatiu.

1.2 Operatii vectoriale

Intr-un sistem cartezian de coordonate in care versorii definesc sistemul ortogonal drept, un vector se scrie , unde sunt componentele vectorului pe axele de coordonate. Modulul vectorului:

Exemplu: ; .

Produsul scalar a doi vectori: , sau folosind componentele vectorilor pe axele de coordonate:

Observatie: Daca doi vectori sunt perpendiculari ; (exemplu , , );

Daca doi vectori sunt paraleli ; (exemplu , , ).

Exemplu: - lucrul mecanic elementar.

Produsul vectorial a doi vectori este vectorul normal la planul determinat de si , al carui sens se determina cu regula burghiului drept. Modulul sau este: . Folosind componentele vectorilor produsul vectorial este:

Observatie: Daca doi vectori sunt paraleli ; (exemplu , , );

Daca doi vectori sunt perpendiculari ; (exemplu si ).

Exemplu: - momentul cinetic.



Politica de confidentialitate | Termeni si conditii de utilizare



DISTRIBUIE DOCUMENTUL

Comentarii


Vizualizari: 3623
Importanta: rank

Comenteaza documentul:

Te rugam sa te autentifici sau sa iti faci cont pentru a putea comenta

Creaza cont nou

Termeni si conditii de utilizare | Contact
© SCRIGROUP 2025 . All rights reserved