| CATEGORII DOCUMENTE |
| Alimentatie nutritie | Asistenta sociala | Cosmetica frumusete | Logopedie | Retete culinare | Sport |
PENICILINELE
Sunt un grup de AB bactericide produse de mai multe specii de mucegaiuri; cea mai importanta este benzil-penicilina (Penicilina G). Toate celelalte peniciline sunt semisintetice, obtinute prin substituirea diferitelor lanturi laterale pe nucleul penicilanic.
Desi fiecare din penicilinele de semisinteza prezinta unele avantaje, benzilpenicilina ramane AB preferat pentru majoritatea infectiilor cu germeni sensibili.
Antibiotice bactericide, putin toxice si cu buna toleranta. Sunt antibiotice naturale obtinute prin extractie sau prin semisinteza. Nucleul lor de baza este acidul 6-aminopenicilanic, de care se leaga un radical diferit pt. fiecare tip de penicilina
Sunt un grup de AB bactericide produse de mai multe specii de mucegaiuri; cea mai importanta este benzil-penicilina (Penicilina G). Toate celelalte peniciline sunt semisintetice, obtinute prin substiruirea diferitelor lanturi laterale pe nucleul penicilanic.
Desi fiecare din penicilinele de semisinteza prezinta unele avantaje, benzilpenicilina ramane AB preferat pentru majoritatea infectiilor cu germeni sensibili.
Dupa spectrul activitatii antibacteriene, penicilinele se clasifica in urmatoarele grupe:
1 STRUCTURA GENERALA A PENICILINELOR
Penicilinile de biosinteza fac parte din categoria antibioticelor β-lactamice.
Penicilinele de biosinteza sunt substante chimice produse de diferite specii de micoorganisme din clasa Penicillium si Aspergillus printre care: P. cryragenum, P. notatum, A. niger.
Penicilinile contin in structura lor un sistem biciclic tiazolidin-β-lactatic si corespund urmatoarei structuri generale:
S
CH3
R-CO-NH-CH CH C
NH3
O=C N C COOH
Structura generala a penicilinei
Din lichidul de cultura a microorganismelor producatoare de penicilina s-au separate si identificat mai multe tipuri de peniciline care difera prin natura radicalului R.
In practica terapeutica a fost introdusa Penicilina G sub forma de sare de Na, K, saruri cu amine, si Penicilina V sub forma de acid liber sau sare de Na si K.
Toate penicilinile sunt extrem de sensibile la atacul agentilor nucleofili, electrofili si oxidanti, iar ca produse finale ale degradarii nucleofile si electrofile sunt penicilina si fenilaldehidele, rezulta ca penicilinele au in structura lor ca parti componente penicilina cu β, β-dimetilcisteina si acid penaldic.
CO2
R-CO-NH-CH-CHOèR-CO-NH-CH2-CHO
![]()
COOH
Confirmarea acestei concluzii s-a facut prin sinteze partiale precum si prin realizarea integrala a sintezei Penicilinei G si Peniciline V.
Randamentul total al procesului de obtinere a Penicilinei G fiind sub 1%, procesul are numai importanta teoretica, confirmand structura chimica a penicilinelor.
O sinteza mai practica a fost realizata in 1957, de catre Sheehan si Henery-Logan, care au obtinut Penicilina V conform reactiilor prezentate.
Studiile privind stabilirea structurii penicilinelor prin sinteza si de sinteza au stabilit ca ciclul β-lactamic asigura activitatea antibacteriana, iar restul acil (R), din catena laterala poate avea diverse structuri, fara a influienta hotarator activitatea produsului.
Penicilinele au o structura biciclica, tiazolidin-β-lactamica. Functie de radicalul amidic se deosebesc diferitele tipuri, cei mai cunoscuti reprezentanti fiind Penicilina G (benzil-penicilina), respectiv Penicilina V (fenoximetil-penicilina).


Penicilina G Penicilina V
Derivati ai penicilinei G
- datorita eliminarii rapide din organism a penicilinei G, mentinerea concentratiei terapeutice in organism (de 0,03 U.l./ml) nu se poate realiza decat prin administrarea ritmica, la intervale de timp. Acest lucru a impus obtinerea unor derivati ai penicilinei G cu remanenta mare in organism, care asigura cu o singura doza o concentratie terapeutica utila pentru 7-14 zile. Produsele au fost denumite peniciline retard; - dintre acestea cele mai importante sunt:
PROCAINPENICILINA: seara Penicilinei G. cu procaina cristalizata cu 1 H2O

BENZATIN PENICILINA (Moldamin), Pencilina G - sare cu N,N' - dibenzil etilendiamina

CLEMIZOLPENICILINA (Megacilina) sare cu clemizolul - (1 p-clorbenzil) - 2 (pirodilmetil) - benzimidazol)

Penicilinele retard, fiind imiscibile (insolubile) in apa, se administreaza sub forma de suspensii injectabile- acest lucru impune ca procedeul de cristalizare sa fie astfel dirijat incat sa se obtina cristale foarte fine - cu dimensiuni cuprinse intre 5-150 , de preferinta 40-60.
La d > 150 se formeaza suspensii neinjectabile iar la d > 5 se formeaza solutii foarte vascoase care nu pot fi trase in seringi.
Microcristalizarea se poate face cu jet de aer sub presiune prin agitarea energica, sau recristalizarea din solventi la anumite temperaturi.
Procedeele de microcristalizare constituie secretul fabricarii penicilinelor retard.
PROPRIETATILE PENICILINELOR
Benzilpenicilina (Penicilina G)
Este o substanta cristalina, cu punct de topire 80ºC, solubila in apa si solventi organici, avand trei atomi de carbon asimetrici (C3, C5, C7). Produsul este utilizat sub forma de saruri de sodium (Na) sau potasiu (K), fiind active bacteriostatic si bactericid fata de bacilli si coci gram-pozitivi.
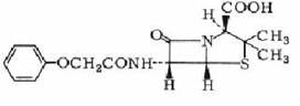
Fenoximetilpenicilina (Penicilina V)
Este o substanta alba, utilizata sub forma de acid liber, avand punct de topire 118-120ºC, insolubila in apa, solubil in solventi. In mediul bazic viteza de inactivare a Penicilinei V este de 2.2 ori mai mare decat viteza de inactivare a Peniciliei G. Aceste date sunt luate in consideratie atunci cand se trateaza problema separarii penicilinelor apoase obtinute de la fermentatie.
Contin in structura lor cel putin o grupare carboxil ceea ce le confera caracter de acizi. Taria acestor acizi variind fata de nucleii existenti pe nucleul penon.
3 PENICILINE DE SEMISINTEZA
Deoarece majoritatea penicilinelor de biosinteza sunt inactivate usor de penicilinaza, au labilitate termica mare si nu actioneaza asupra microorganismelor gram-negative, s-a pus problema obtinerii unor produse ce nu prezinta aceste dezavantaje. Penicilinele ideale ar trebui sa prezinte:
- spectru antibacterian larg
- stabilitate in mediu acid
- stabilitate la penicilinaza.
Produse ideale nu s-au obtinut, dar dupa obtinerea ac. 6-aminopenicilanic (6 AP) au fost obtinute peniciline de semisinteza, care satisfac doua din conditiile impuse. Numarul mare de Peniciline de seminteza, cunoscute pana in prezent, a impus clasificarea lor care se poate face:
a) dupa structura chimica

- metil monosubstituite
- metil disubstituite
- metil trisubstituite
- α, β - nesaturate
- aril, - heterociclic -, cicloalchilpeniciline
b) dupa rezistenta in mediu acid si la penicilinaza penicilinele de semisinteza se clasifica in patru grupe:
- rezistente la acizi
- rezistente la penicilinaza
- rezistente la ac. si penicilinaza
- cu spectru larg
Caracteristicile principalelor peniciline de semisinteza

tabel 2.2.1
|
Denumire |
Structura radicalului R |
Stabilitate la pH |
Rezistente la penicilinaza |
Activ. asupra germ. gram negativi |
|
Propicilinia (Brocilin) |
| |||
|
Ampicilina |
| |||
|
Amoxicilina (Amoxil) |
| |||
|
Oxacilina |
| |||
|
Sulfocilin |
| |||
|
Fenxacilina (Fenxapen) |
| |||
|
Meticilina |
|
4 BENZILPENICILINA (PENICILINA G)
Desi este primul AB introdus in terapeutica, pastreaza si astazi, cu toate progresele antibioterapiei, o importanta deosebita. Caracteristicile care confera Penicilinei G un loc aparte intre AB sunt urmatoarele: actiune bactericida, spectru ingust, cuprinzand germenii intalniti in infectiile curente, toxicitate redusa, permitand administrarea unor doze foarte mari.
Penicilina este AB de electie in infectiile provocate de pneumococi, meningococi, streptococi, gonococi, ca s.i in tratamentul sifilisului, antra-xului, actinomicozei.
Rezistenta la penicilina se produce prin selectionarea unor mutant! care inactiveaza AB secretand o enzima - penicilinaza - care desface inelul responsabil de activitatea antimicrobiana. Rezistenta la penicilina se instaleaza lent, este foarte frecventa pentru stafilococ si foarte rara -practic absenta - in cazul streptococului si al treponemei. Aparitia rezis-tentei este favorizata de dozele scazute de AB si este de obicei incrucisata intre diferitele peniciline.
Principalele efecte adverse sunt reactiile alergice si fenomenele de intoleranta locala (dureri la locul injectarii).
Manifestarile alergice reprezinta principalul inconvenient al penicilinei. Datorita utilizarii foarte largi, numarul sensibilizarilor este relativ mare (0,5-2%).
Sensibilizarea se poate produce ca urmare a contactului anterior fie cu molecula penicilinei, fie cu produsi de degradare ai moleculei, inactivi din punct de vedere al efectului antibacterian. Urmele de produsi de degradare ramase pe ace sau seringi pot contribui in mare masura la producerea sensibilizarii. Pentru a reduce incidenta reactiilor alergice este necesar ca preparatele industriale sa fie cat mai putin impurificate cu produsi de degradare, solutiile de penicilina sa nu fie conservate mai mult de 24H, chiar la temperatura scazuta, iar pH-ul solutiilor sa nu fie inferior valorii de 6,5. Manifestarile alergice sunt mai probabile in cazul pacientilor cu teren predispus, antecedente alergice variate (astm, dermatite etc.), sau in cazul utilizarii locale a diferitelor preparate din grupul penicilinelor.
Sensibilizarea se poate produce in urma unui contact survenit cu mult timp in urma (luni, ani) sau in cursul tratamentului, de obicei dupa 1-2 saptamani de la debut.
Manifestarile alergice pot fi de tip imediat (minute, ore) sau tardive (cateva zile), pot fi usoare (eruptii cutanate) sau grave (bronhospasm, colaps). Daca in cursul tratamentului cu penicilina apare o urticarie, se recomanda intreruperea tratamentului, pentru ca exista riscul aparitiei unor manifestari mult mai grave.
Manifestarile foarte grave - de tipul socului anafilactic - sunt rare, dar pot fi letale intr-un procent de aproximativ 10% din cazuri. Sunt mai frecvente in cazul administrarii i.v. de doze mari. In astfel de situatii este necesara instruirea unei terapii de urgenta cu adrenalina si hemisuccinat de hidrocortizon.
Depistarea terenului alergic la penicilina este foarte dificila. Se pot folosi diferite teste cutanate dar exista riscul declansarii, in afara reactiilor locale, a unor manifestari foarte grave (bronhospasm, edem glotic, colaps) si a sensibilizarii.
La astmatici aceste teste sunt contraindicate.
Testele de laborator au avantajul ca nu sensibilizeaza si nu pot produce accidente, dar sunt mai greu de executat. Pentru a preveni accidentele alergice, in afara de evitarea factorilor alergizanti mentionati, se va face o atenta anamneza pentru depistarea unor eventuale manifestari alergice anterioare.
Penicilina nu se administreaza oral deoarece este inactivata de pH-ul gastric acid si de bacteriile intestinale.
Se administreaza obisnuit i.m., realizand niveluri active la 15-30 min. de la injectare. Difuzeaza bine in tesuturi, mai putin in SNC, globii oculari, pleura, seroase. In caz de inflamatie, difuziunea prin seroase este crescuta. In meningite realizeaza concentratii active in lichidul cefalorahidian dupa injectarea i.m. sau i.v.; strabate usor placenta. Se elimina renal sub forma activa.
Eliminarea rapida necesita administrarea la intervale scurte (4 ore). Rata de eliminare este scazuta in insuficienta renala, la nou-nascut si prematur, ceea ce impune marirea intervalului dintre administrari.
Durata nivelurilor plasmatice active poate fi prelungita prin administrarea de doze mari i.m. sau prin perfuzie i.v.
Penicilina G sub forma de sare potasica sau sodica se prezinta ca o pulbere alba cristalina in flacoane de 400.000, 1.000.000 si 5.000.000 u.i. Solutiile injectabile se prepara cu ser fiziologic, concentratiile uzuale pentru administrare i.m. fiind de 50.000-100.000 u.i./ml, maximum 200.000 u.i./ml. Solutiile mai concentrate sunt iritante. Intrarahidian se poate administra in concentratie de 1.000 u.i./ml.
Penicilina G nu este stabila in solutie, de aceea solutiile se prepara in momentul administrarii si nu se pastreaza. In mod exceptional, se pot pastra la frigider maximum 12-24 h. Este important sa se stie ca prin conservarea solutiei se produc compusi de degradare ai penicilinei care au potential alergizant mai mare decat penicilina. In mediu acid (pH mai mic de 5) apare principalul compus de degradare cu actiune alergizanta, acidul benzil-peniciloic. Alcoolul de asemenea inactiveaza penicilina, de aceea se recomanda ca dupa dezinfectia cu alcool a tegumentului sa se astepte evaporarea acestuia inainte de injectare.
Pentru administrare i.v. nu se introduce AB in solutii cu pH acid (glucoza, heparina) care-1 inactiveaza rapid.
Se prefera o perfuzie de mentinere a permeabilitatii venei (sol. fiziologica sau glucozata 5%), penicilina administrandu-se la intervale regulate in dilutii mari prin cateter sub forma de injectie lenta. Se evita astfel inactivarea sau diferite incompatibilitati in solutia de perfuzie si se realizeaza niveluri inalte care permit o difuziune tisulara mai buna.
In ceea ce priveste posologia utilizata, aceasta este diferita in functie de gravitatea afectiunii si poate varia in limite foarte largi, data fiind toxicitatea extrem de redusa a penicilinei.
5 PENICILINELE DE DEPOZIT
Au spectru de activitate identic cu al penicilinei dar, datorita solubilitatii reduse, realizeaza niveluri serice scazute si prelungite. Se administreaza exclusiv i.m. profund. Principalele preparate sunt Efitard (flacoane continand procainpenicilina G 300.000 u.i. + Penicilina potasica 100.000 u.i. '
Efitardul este indicat in infectii usoare, injectat seara la culcare, pentru ca asigura niveluri active pentru 12-24 h. Prin asocierea procainei riscul de alergizare create.
Moldaminul este indicat in infectii cu germeni foarte sensibili (infectii streptococice, angina, scarlatina, sifilis), ca si in profilaxia reumatismului articular acut. Se prezinta in flacoane de 600.000 si 1.200.000 u.i.
Suspensia se prepara cu apa distilata, in concentratia de 200.000 u.i./ ml si se injecteaza i.m. profund intr-o masa musculara bine dezvoltata, folosind un ac gros si aspirand initial in seringa pentru a avea certitudinea ca nu se injecteaza intramuscular. Administrarea se face in functie de indicatie in ritmul de 1 flacon la 7 sau 14 zile.
Este contraindicata administrarea la copii sub 3 ani, sau chiarsi peste aceasta varsta daca masa musculara este redusa, in infectii grave care necesita niveluri inalte de penicilina si la cei cu alergie la penicilina sau cu teren alergie.
Se obtine din penicilina G prin precipitare cu dibenziletilenamina.
Structura dibenziletilenaminei :

Are proprietatea de a se absorbi lent la locul infectiei intramusculare, obtinandu-se concentratii relativ mici, dar cu actiune prelungita (4 zile).
Se foloseste dupa vindecarea bolnavului prin tratamente cu antibiotice.
Procainpenicilina
Contine solutie de penicilina G, sare de potasiu si clorhidrat de procaina avand la o singura doza o concentratie terapeutica pentru 7 - 14 zile.
Penicilina V (fenoximetilpenicilina) se prezinta sub forma de comprimate a 400.000 u.i. pentru administrare orala.
Este indicata in infectii usoare cu germeni sensibili (angine streptococice, erizipel, otite) sau pentru profilaxia reumatismului articular acut.
Se administreaza 2-4 comprimate la fiecare 6 ore, de preferinta pe stomacul gol. Profilactic se administreaza 1 comprimat la 12 ore.
Proprietati :
pulbere alba cristalizata, fara miros, cu gust amar
este insolubila in apa, solubila in alcool si solutii alkaline
este singura penicilina care poate fi folosita in mediu acid si se administreaza sb forma de comprimate de 200.000 UI
Obtinere :
Se obtine prin fermentatie din tulpina de penicillium chrysogenum Q 176 , adaugandu-se in faza de fermentatie ca precursor, acid fenoxiacetic. Separarea penicilinei V din masa de reactie se face prin extractie cu acetat de butil in doua etape datorita solubilitatii mari a penicilinei V.
Penicilinele rezistente la penicilinaza
Sunt un grup de peniciline sintetice indicate in infectii cu stafilococi penicilinazo-secretori.
Asupra germenilor sensibili la Penicilina G au activitate mai redusa decat aceasta. Principalele substante sunt Oxacilina si Cloxacilina, care se pot administra atat oral cat si parenteral, in functie de gravitatea infectiei.
Penicilinele cu spectru larg
Sunt active fata de unii bacili gram-negativi care nu sunt sensibili la Penicilina G.
Cea mai cunoscuta substanta este Ampicilina, activa in infectii respiratorii urinare, biliare. Este important de retinut ca spectrul de activitate al Ampicilinei nu include Stafilococii penicilinazo-secretori.
Se administreaza oral sau injectabil, in functie de sensibilitatea germenilor si gravitatea infectiei. Produce aceleasi efecte adverse ca si Penicilina G, cu mentiunea ca manifestable alergice date de Ampicilina sunt mai frecvente, dar mai putin grave decat cele produse de Penicilina G. Poate aparea alergie incrucisata cu alte peniciline.
Amoxicilina este asemanatoare Ampicilinei, dar are o absorbtie digestiva superioara.
Carbenicilina este o penicilina cu spectru larg, activa la concentratii mari si fata de b. piocianic, care reprezinta principala indicatie terapeutica.Carbenicilina (Pyopen), penicilina semisintetica pt. administrare parenterala ( este inactivata de acizi ) nu este rezistenta la penicilinaza, dar are spectrul larg. Este folosita pt. tratamentul infectiilor severe ( meningite, infectii urinare ), dar contraindicata la bolnavii sensibilizati la late peniciline. Produce dureri dupa administrarea intramusculara
|
Politica de confidentialitate | Termeni si conditii de utilizare |
Vizualizari: 4537
Importanta: ![]()
Termeni si conditii de utilizare | Contact
© SCRIGROUP 2025 . All rights reserved