Scrigroup - Documente si articole

     

HomeDocumenteUploadResurseAlte limbi doc
ComunicareMarketingProtectia munciiResurse umane


CERCETARILE CANTITATIVE IN MARKETINGUL INTERNATIONAL

Marketing



+ Font mai mare | - Font mai mic



CERCETARILE CANTITATIVE

IN MARKETINGUL INTERNATIONAL

In cele mai multe cazuri, cercetarile calitative nu sunt suficiente pentru a elabora o strategie de marketing castigatoare; de regula este necesar ca ele sa fie dublate de cercetari cantitative pentru a fi eficiente.



1. Etapele desfasurarii unei cercetari cantitative

Dupa cum s-a precizat anterior, cercetarile cantitative (numite si cercetari selective sau sondaje de opinie) se desfasoara pe esantioane reprezentative ca structura si suficient de numeroase, astfel incat rezultatele obtinute sa poata fi generalizate la nivelul intregii colectivitati. Cercetarile cantitative trebuie sa parcurga, din punct de vedere metodologic si organizatoric, cel putin urmatoarele etape:

a. Identificarea problemei de rezolvat. Este foarte important ca, de la bun inceput, sa fie clar ce anume se va studia. Trebuie clar identificata problema de marketing cu care se confrunta organizatia, precum si felul in care cercetarea poate contribui la rezolvarea acesteia. Pentru aceasta, trebuie gasite raspunsuri corecte la intrebari precum: "De ce tip de informatii este nevoie?", "Ce informatii cunoastem deja?", "Cum vor fi folosite aceste informatii?", "Este necesar sa se desfasoare o cercetare cantitativa?".[1]

b. Stabilirea obiectivelor cercetarii. Acoperirea lacunelor de informare reprezinta scopul general al cercetarii. Acesta trebuie concretizat in obiective ale cercetarii, exprimate schematic, precis, detaliat, clar si de o maniera operationala.[2]

Obiectivelor principale li se pot adauga unele obiective derivate, provenind din corelatiile dintre obiectivele principale si caracteristicile socio-demografice ale populatiei studiate.

c. Definirea variabilelor ce vor fi utilizate. In chestionar vor fi utilizate anumite concepte, al caror continut poate sa nu fie foarte bine inteles de catre toti participantii la cercetare (beneficiar, cercetator, operator de interviu etc.), fiind necesara definirea conceptuala si, mai ales, definirea operationala a acestora. Aceste concepte se refera atat la aspectele de continut, legate de obiectivele cercetarii, cat si la aspectele de identificare, legate de caracteristicile socio-demografice sau comportamentale ale colectivitatii studiate.

De exemplu, pentru a determina nivelul de scolarizare a membrilor unei gospodarii s-a calculat un indicator numit "indice al educatiei totale a gospodariei", in felul urmator: s-a inregistrat nota educatiei pentru fiecare membru adult al gospodariei, codificandu-se (cu trimitere la numarul de ani de scolarizare): 0 - fara educatie, 4 - scoala primara, 8 - gimnaziu, 10 - scoala profesionala, 12 - liceu, 14 - scoala post-liceala, 16 - pregatire universitara. Media notelor educatiei membrilor adulti ai gospodariei a fost calculata ca masura a valorii educatiei.

Sursa: Sandu, Dumitru - "Spatiul social al tranzitiei", Editura Polirom, Iasi, 1999, p. 180.

 


d. Formularea ipotezelor cercetarii. Ipoteza este un posibil raspuns la o problema vizata de cercetare. Este necesar un efort de redactare a unor ipoteze cat mai clare si mai precise, care sa fie testate, spre a fi validate, pe parcursul cercetarii cantitative. Principalele surse utilizate in formularea ipotezelor sunt:

teoria unor discipline precum psihologia, sociologia, marketingul sau economia politica;

experienta manageriala a cercetatorului sau a beneficiarului cercetarii;

cercetari calitative, cu caracter exploratoriu, desfasurate anterior.[3]

e. Precizarea colectivitatii cercetate, respectiv a celor trei componente ale acesteia:

colectivitatea generala = totalitatea componentelor care vor constitui baza de esantionare si asupra carora se vor generaliza rezultatele cercetarii;

unitatea de observare = o componenta a colectivitatii generale, despre care se culeg informatiile;

unitatea de sondaj = persoana de la care se culeg informatiile.

De regula, mai ales in marketingul clasic, exista trei posibilitati, prezentate in tabelul urmator:

Tabelul nr. 1. Colectivitatea generala, unitatea de observare si unitatea de sondaj

Produse

Colectivitatea generala

Unitatea de observare

Unitatea de sondaj

de consum individual

ansamblul populatiei

individul

individul

de consum gospodaresc

ansamblul gospodariilor

gospodaria

capul de gospodarie

de consum productiv

ansamblul firmelor

firma

o persoana care ocupa o anumita functie in firma

In marketingul international - ca si in marketingul intern, de altfel - se constata o preponderenta a cercetarilor care au ca unitate de observare si unitate de sondaj individul, intrucat, in cele mai multe cazuri se studiaza comportamente, preferinte, atitudini, intentii de cumparare, imaginea cu privire la un produs, serviciu sau organizatie etc., in toate aceste cazuri fiind vorba despre aspecte referitoare la individ.

f. Precizarea metodei de recoltare a informatiilor. Principalul instrument utilizat in cercetarile cantitative de marketing este chestionarul. Acesta poate fi:

q  administrat prin operatori de interviu. Este cea mai costisitoare, dar si cea mai buna modalitate de recoltare a informatiilor, datorita acuratetei completarii chestionarelor si a numarului redus de non-raspunsuri. In Romania, unde costurile legate de plata operatorilor de interviu sunt inca moderate, este metoda cea mai recomandata.

q  autoadministrat. Consta in completarea chestionarului de catre respondent, in prezenta sau in absenta operatorului de interviu. Riscurile de a avea raspunsuri necompletate sau completate gresit este mai mare. De aceea, metoda se justifica in cazul unei esantionari de grup, cand operatorul de interviu poate sa asiste, simultan, mai multi respondenti, sau atunci cand completarea chestionarului este conditionata de incercarea pe o perioada mai lunga de timp a unui produs oferit de catre cercetator.

q  trimis prin posta. Este cea mai ieftina, dar si cea mai nesigura modalitate de culegere a informatiilor, datorita ratei mari a non-raspunsurilor si, mai ales, a prezumtiei ca exista diferente semnificative intre cei care raspund si cei care nu raspund la chestionarul primit. Diminuarea procentului de non-raspunsuri necesita un numar de reveniri, ceea ce creste costurile si, mai ales, durata culegerii informatiilor.

q  completat prin telefon. Este o metoda moderna, rapida si relativ ieftina de culegere a informatiilor, relativ larg utilizata in tarile dezvoltate, mai ales in varianta computerizata (metoda CATI - Computer-Assisted Telephone Interview)[4], in care datele sunt introduse direct in calculator de catre operatorul de interviu. Din pacate, in Romania, dotarea extrem de precara cu telefoane fixe a populatiei face inutilizabila aceasta metoda pe scara larga.

q  completat prin Internet. Trimiterea si primirea prin e-mail a chestionarelor este metoda care castiga foarte mult teren, anuntandu-se ca principala modalitate de culegere a datelor in viitor. Totusi, in momentul de fata, ea nu este utilizabila in conditii rezonabile decat in Statele Unite, unde dotarea cu calculatoare si accesul la Internet sunt corespunzatoare.

In afara acestor modalitati de culegere a informatiilor, se utilizeaza - foarte rar, de altfel - si alte metode cum ar fi publicarea chestionarului intr-un ziar sau o revista (metoda valabila doar daca cercetarea vizeaza imaginea publicatiei respective in randul cititorilor sai) sau trimiterea si primirea chestionarului prin fax (metoda aplicabila doar in cazul in care unitatea de observare este reprezentata de o organizatie).

g. Stabilirea locului si perioadei in care va fi administrat chestionarul. In cazul in care se opteaza pentru administrarea chestionarului prin operatori de interviu, in privinta locului unde va fi administrat chestionarul, exista mai multe posibilitati:

pe strada. Este locatia cel mai des utilizata, datorita usurintei de abordare a respondentilor, dar prezinta dezavantajul unei durate limitate, ceea ce conduce la necesitatea elaborarii unor chestionare scurte, in cazul in care se stabileste ca acestea vor fi administrate pe strada sau in alte locuri publice.

in magazine. Se justifica mai ales atunci cand respondentului i se solicita sa efectueze comparatii intre diferite marci sau produse, care ii pot fi prezentate. Este inoperanta in cazul in care unul dintre obiectivele cercetarii il reprezinta estimarea intentiilor de cumparare a unui anumit produs (rezultatele obtinute vor fi deformate, intrucat multi respondenti se afla acolo tocmai pentru ca intentioneaza sa cumpere produsul in cauza).

la domiciliul respondentului. Este varianta optima, mai ales in cazul in care subiectul cercetarii este reprezentat de produse de folosinta gospodareasca. Permite abordarea respondentului intr-o atmosfera relaxata, pe o perioada mai lunga de timp. Este dezirabila stabilirea anterioara a intalnirii, prin telefon, in caz contrar crescand numarul persoanelor care nu sunt gasite acasa, al celor care refuza sa raspunda si chiar riscurile legate de securitatea operatorului de interviu.

la biroul respondentului. Este varianta cea mai utilizata in cazul cercetarilor in care unitatea de observare este o organizatie. Si in aceasta situatie este necesara stabilirea anterioara a coordonatelor intalnirii.

In privinta perioadei in care chestionarul va fi administrat, se pune problema stabilirii perioadei din zi in care va avea loc recoltarea informatiilor (de exemplu, efectuarea cercetarii dimineata, la domiciliul respondentilor, va conduce la o subreprezentare a persoanelor active), a perioadei din saptamana (in week end, de exemplu, persoanele de o conditie sociala mai inalta pot sa nu fie gasite in localitatea de domiciliu), precum si a perioadei din an cand trebuie culese informatiile (este, desigur, incorect sa se extrapoleze la intregul an rezultatele unei cercetari privind intentiile de cumparare a jucariilor, desfasurata in perioada premergatoare Craciunului, in tarile cu populatie preponderent crestina).

h. Elaborarea chestionarului. Este una dintre cele mai importante probleme, neputand exista o cercetare mai buna decat chestionarul care a stat la baza sa. Intrebarile trebuie sa fie clare, concise, preferabil cu variante de raspuns oferite (intrebari inchise), redactate intr-un limbaj simplu si accesibil (cu exceptia situatiilor in care ne adresam unor specialistii intr-un anumit domeniu, cand trebuie utilizat limbajul specific, practicienii americani recomanda ca intrebarile dintr-un chestionar sa poata fi intelese de un copil de sase ani) si ordonate in mod logic, in functie de obiectivele cercetarii. Intrebarile pot fi clasificate dupa mai multe criterii, unul dintre cele mai utilizate fiind cel al scopului vizat. In functie de scopul intrebarilor, acestea pot fi:[5]

intrebari de calificare (care urmaresc eliminarea persoanelor ce nu apartin colectivitatii studiate);

intrebari de continut (care vizeaza obiectivele cercetarii);

intrebari de identificare (care se refera la caracteristicile unitatii de observare).

Cele trei tipuri de intrebari mentionate, impart chestionarul in trei sectiuni specifice: partea introductiva, partea de continut si partea de identificare. Intrebarile de calificare se pun la inceputul chestionarului, in timp de intrebarile de identificare se adreseaza la sfarsitul acestuia, pentru a nu da nastere la suspiciuni in randul respondentilor.

Principalele reguli ce trebuie respectate in formularea intrebarilor intr-un chestionar sunt urmatoarele:[6]

v     intrebarile trebuie sa fie scurte, simple si clare;

v     pe cat posibil, trebuie evitata identificarea beneficiarului cercetarii de catre respondent;

v     ordinea intrebarilor trebuie sa fie logica;

v     intrebarile trebuie formulate cat mai neutru posibil;

v     nu trebuie adresate decat    intrebarile necesare;

v     trebuie evitate intrebarile la care respondentul nu poate sau nu vrea sa raspunda;

v     trebuie evitate intrebarile tendentioase (care sugereaza raspunsul) sau cele care abordeaza probleme cu un caracter prea personal.

Se apreciaza ca principalele calitati pe care trebuie sa le aiba intrebarile dintr-un chestionar sunt urmatoarele:[7] sa fie focalizate pe problema cercetata, sa fie scurte, sa fie clare, sa fie concrete, sa fie aplicabile respondentului, sa nu contina un exemplu ce poate trunchia sensul intrebarii, sa nu solicite in mod exagerat memoria respondentului, sa nu solicite o generalizare exagerata, sa nu foloseasca "cuvinte mari", sa nu fie exagerat de specifice, sa evite formularile ambigue, sa nu cuprinda doua intrebari intr-una singura, sa nu sugereze raspunsul, sa nu aiba o incarcatura emotionala semnificativa.

i. Determinarea marimii esantionului. In determinarea marimii esantionului trebuie sa se tina seama de restrictii de ordin statistic (legate de probabilitatea de garantare a rezultatelor si de marja de eroare acceptata) si de restrictii de ordin organizatoric (legate de bugetul, durata si personalul avute la dispozitie).

Restrictiile de ordin statistic se regasesc in formula utilizata pentru calculul marimii esantionului:

unde:

t = coeficientul corespunzator probabilitatii cu care se garanteaza    rezultatele (se gaseste in tabelele statistice ale repartitiei Student). De regula, se alege o probabilitate de 9599%;

p = proportia componentelor din esantion care poseda caracteristica cercetata (deoarece, de obicei, valoarea lui ,,p" nu se cunoaste, ea se considera egala cu 0,5, pentru lua in considerare cazul cel mai nefavorabil respectiv, a maximiza valoarea dispersiei);

    = eroarea limita admisa (marja de eroare). De regula, se alege intre 0,01 si 0,05, cel mai adesea fiind 0,03 ( 3%).

In cele mai multe cazuri, marimea unui esantion este de circa 1000-1200 de persoane.

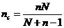
In situatia in care marimea esantionului reprezinta mai mult de 10% din colectivitatea generala, se procedeaza la o reducere a dimensiunilor esantionului, folosind formula:


unde:

nc = marimea corectata a esantionului;

n = marimea initiala a esantionului (rezultata din aplicarea formulei anterioare);

N = marimea colectivitatii generale.

j. Stabilirea schemei de esantionare. Este decisiva pentru asigurarea reprezentativitatii esantionului si are in vedere modalitatea concreta de precizare a persoanelor ce vor fi intervievate. Exista mai multe posibilitati[9] (vezi figura 1.), cele mai des utilizate fiind:

Esantionarea prin metoda cotelor Se realizeaza prin crearea nealeatoare a unor esantioane care respecta intocmai structura colectivitatii generale, in privinta catorva criterii prestabilite. Chiar daca nu are suport stiintific, este o metoda utilizata cu succes de multe institute de specialitate.

Esantionarea simpla aleatoare. Teoretic, este cea mai buna metoda de esantionare, dar se poate utiliza numai cand exista o lista a colectivitatii generale, ceea ce nu se intampla decat rareori. Fiecare componenta a esantionului este extrasa in mod aleator din colectivitatea generala.

Figura nr. 1. Scheme de esantionare


Esantionarea sistematica aleatoare. Se realizeaza prin stabilirea unui asa-numit pas mecanic, rezultat din raportarea marimii colectivitatii generale la marimea esantionului. Punctul de pornire in esantionare il constituie o unitate de observare extrasa in mod aleator.

Esantionarea stratificata. Cuprinde doua faze. In prima faza, colectivitatea generala este impartita in mai multe straturi (grupuri) omogene, din care, in faza a doua, se extrage un numar prestabilit de componente, numar care poate fi sau nu proportional cu marimea grupului.

Esantionarea de grup. Se bazeaza pe divizarea colectivitatii generale in mai multe grupuri neomogene. Apoi, se extrag(e) in mod aleator unul sau mai multe grupuri, ale caror componente sunt cuprinse in esantion in totalitate.

Esantionarea multistadiala. Este o varianta a esantionarii stratificate, numarul de faze fiind, insa, mai mare, corespunzator numarului de criterii prestabilite. Ca mod de aplicare, se apropie de esantionarea prin cote, fiind si ea destul de frecvent utilizata.

k. Elaborarea grilei de corelatii, care permite identificarea corelatiilor posibile si importante dintre doua intrebari din chestionar, corelatii ce vor fi prelucrate ulterior. Grila de corelatii este un patrat cu atatea linii si atatea coloane cate intrebari sunt in chestionar. Corelatiile in cauza sunt evidentiate printr-un X, amplasat in celula ce reprezinta intersectia celor doua intrebari. De regula, corelatiile importante sunt cele dintre o intrebare de continut si una de identificare, fara a se exclude posibilitatea existentei unor corelatii importante si intre doua intrebari de continut.

l. Selectarea si instruirea operatorilor de interviu. Operatorul de interviu joaca un rol esential in prezervarea acuratetei cercetarii, multe dintre erorile care apar in faza culegerii datelor putandu-i fi imputate, incepand cu selectarea unor persoane nepotrivite (un experiment desfasurat in S.U.A. demonstra ca operatorii de interviu care pareau a fi de origine evreiasca au primit 20% raspunsuri "Da" la intrebarea "Exercita evreii prea multa influenta in S.U.A.?", in timp ce operatorii de interviu care nu pareau a fi de origine evreiasca au primit 50% raspunsuri "Da" la aceeasi intrebare), continuand cu adoptarea unei tinute necorespunzatoare, care sporeste numarul persoanelor care refuza sa raspunda si ajungand pana la falsificarea integrala a unui chestionar.

Completarea chestionarelor declanseaza o serie de interactiuni intre operatorul de interviu si respondent. Intervine nu doar imaginea pe care fiecare o are despre celalalt, dar si ceea ce gandeste fiecare ca va gandi celalalt despre el. Cea mai buna comunicatie intre cei doi se stabileste atunci cand operatorul de interviu ajunge sa creeze un curent de simpatie sincera si de intelegere totala, pastrand, insa, o atitudine de detasare si de obiectivitate, care caracterizeaza relatiile profesionale.

La modul ideal, se recomanda ca intre operatorii de interviu si respondenti sa existe o distanta sociala minima (varste si medii sociale vecine, nici identice, nici indepartate), pentru a se evita atat dificultatile de comunicare, cat si oferirea de catre respondent a unor raspunsuri care sa fie pe placul operatorului, daca acesta simte ca se afla "de aceeasi parte a baricadei" (nivel social, varsta, preocupari sau optiuni politice identice).

In selectarea operatorilor de interviu trebuie tinut cont de faptul ca, in cele mai multe cazuri, aceasta activitate este perceputa ca una cu caracter temporar si suplimentar, cu o uzura profesionala extrem de rapida. Categoriile sociale care se preteaza cel mai bine pentru aceasta activitate sunt:

pensionarii fosti functionari;

secretarele, invatatorii sau profesorii in cautarea unui venit suplimentar;

casnicele din randul claselor sociale medii, doritoare de a avea un serviciu temporar.

Argumentele principale in favoarea acestora sunt legate de apartenenta sociala neutra, nivelul intelectual corespunzator si obisnuintei de a utiliza formulare si de a avea contacte umane. Desi larg raspandita, practica de a angaja studenti nu conduce la cele mai bune rezultate, datorita riscului ridicat al unui comportament neserios.

Instruirea operatorilor de interviu va cuprinde cel putin o initiere in principiile generale ale sondajului de opinie, parcurgerea chestionarului si explicarea dificultatilor ce pot sa apara la fiecare intrebare (o lista cu instructiuni, cum ar fi definirea exacta a variabilelor, va fi pusa la dispozitia operatorului pe toata perioada recoltarii informatiilor, iar consemnele cele mai importante vor fi redactate chiar in textul chestionarului), precum si desfasurarea unor exercitii practice cum este jocul de roluri operator de interviu - respondent.

De asemenea, operatorului de interviu i se vor prezenta elementele esentiale ale unei atitudini profesionale de neutralitate binevoitoare:

disponibilitatea de spirit;

valorificarea primelor momente ale intalnirii;

respectarea consemnelor;

nesugerarea raspunsurilor;

evitarea controverselor.

m. Desfasurarea anchetei pilot. Ancheta pilot este o cercetare instrumentala, realizata pe un numar restrans de subiecti (20-50), care isi propune sa valideze chestionarul utilizat in cercetare. Se urmareste daca intrebarile sunt intelese de catre respondenti, daca variantele de raspuns oferite sunt exhaustive, daca administrarea chestionarului este usor de realizat de catre operatorii de interviu, cat dureaza completarea unui chestionar etc., intervenindu-se atunci cand sunt necesare corectii, inainte de multiplicarea si difuzarea chestionarului in teritoriu.

n. Multiplicarea chestionarelor si a materialelor anexe (liste de gospodarii, instructiuni scrise, scrisori de recomandare, legitimatii etc.) si expedierea lor in teritoriu. De la sediul central al institutului care desfasoara cercetarea vor pleca spre reprezentantii din teritoriu urmatoarele materiale:

v     chestionarele (plus o rezerva de 10%);

v     contractele de colaborare ce se vor incheia cu operatorii de interviu;

v     instructiuni de completare a chestionarului destinate operatorului de interviu;

v     legitimatii pentru operatorii de interviu;

v     liste ale gospodariilor incluse in esantion (in cazul anchetelor desfasurate la domiciliu);

v     scrisori de recomandare si solicitare de sprijin adresate autoritatilor locale;

v     mostre, schite, desene ale produsului cercetat (daca este cazul).

o. Administrarea chestionarului. Un aspect important in aceasta etapa il constituie verificarea completarii efective a chestionarului de catre operatorii de interviu, in conditiile stabilite, precum si acordarea unei asistente corespunzatoare operatorilor.

Sarcinile operatorului de interviu nefiind deloc simple, acesta ar putea incerca sa le "simplifice", in special completand chestionarele fara a efectua in mod real interviurile. Este important, deci, sa fie aplicate diverse proceduri de control, iar operatorii de interviu sa stie ca vor fi controlati.

In cazul unor sondaje efectuate pe strada, in magazine sau in alte locuri publice, se recomanda ca datele, orele si locurile precise unde vor fi culese informatiile sa fie stabilite de comun acord de operatorul de interviu si reprezentantul institutului de cercetari, iar prezenta si activitatea operatorilor in locurile stabilite sa fie verificata, prin sondaj, chiar in timpul administrarii chestionarelor.

In cazul chestionarelor completate la domiciliul respondentilor sau la biroul acestora, se recomanda efectuarea ulterioara a unei contra-anchete in randul a 10-20% dintre persoanele chestionate, alese aleator. Aceasta contra-ancheta se poate realiza prin telefon, prin fax sau e-mail, sau, cel mai bine, prin interviuri fata in fata.

In fine, in cazul aplicarii metodei cotelor, cand libertatea de alegere si de actiune a operatorului de interviu este foarte mare, se poate solicita respondentului, in momentul completarii chestionarului, sa mentioneze un numar de telefon la care poate fi contactat, exclusiv in scopul verificarii operatorului de interviu.

p. Verificarea corectitudinii completarii chestionarelor si codificarea intrebarilor deschise. Verificarea atenta a chestionarelor completate are ca scop, pe de o parte validarea muncii operatorilor de interviu, si, pe de alta parte, luarea in considerare numai a acelor informatii care respecta metodologia cercetarii. O verificare temeinica a chestionarelor permite:

v     evidentierea erorilor sistematice ale operatorilor de interviu (de exemplu, intelegerea gresita a unui enunt sau transcrierea incompleta a raspunsurilor la intrebarile deschise);

v     evidentierea omisiunilor accidentale (fiind posibila, in unele cazuri, corectarea acestora);

v     evidentierea unor grupari improbabile (ceea ce ridica semne de intrebare asupra corectitudinii operatorilor de interviu), cum ar fi:

o       proportie neobisnuita de non-raspunsuri;

o       raspunsuri ilogice;

o       mai multe raspunsuri identice;

o       chestionare prea meticulos completate.

Dupa corectarea sau eliminarea chestionarelor gresit completate, este necesara codificarea raspunsurilor la intrebarile deschise. Aceasta este o operatiune destul de laborioasa, care necesita mult efort si timp, si este un argument (alaturi de constatarea ca la multe dintre intrebarile deschise nu se raspunde sau se dau raspunsuri formale) pentru limitarea acestui tip de intrebari. Intr-o prima faza, se listeaza toate raspunsurile primite la o intrebare deschisa, dupa care se grupeaza formularile cu un continut apropiat. Aceasta este principala dificultate intalnita, intrucat trebuie gasit un compromis intre dorinta de a nu pierde nuantele specifice unor raspunsuri si nevoia de a avea un numar mai mic de grupuri de raspunsuri, pentru a facilita analiza acestora. In fine, odata realizata gruparea, se atribuie fiecarei grupe de raspunsuri un anumit cod (de regula, numeric), necesar in prelucrarea electronica a informatiei.

r. Configurarea bazei de date, introducerea datelor si prelucrarea electronica a informatiei. Prelucrarea datelor are in vedere realizarea urmatoarelor operatiuni:

configurarea bazei de date (definirea campurilor de date, a relatiilor dintre ele, etichetarea variabilelor);

introducerea inregistrarilor in baza de date;

curatarea bazei de date, operatiune prin care, pe baza corelatiilor dintre intrebari, se verifica completarea si introducerea corecta a datelor;

utilizarea unor programe specializate pentru prelucrarea datelor si obtinerea rezultatelor in forma dorita.

Prelucrarea datelor presupune utilizarea intensiva a calculatorului, asupra datelor fiind aplicate o serie de metode statistice de analiza, incepand cu cele mai simple (statistici descriptive), trecand prin evaluarea legaturilor dintre variabile (corelatie si regresie) si ajungand chiar la realizarea unor analize avansate de tip multivariat (analiza factoriala, analiza corespondentelor, analiza cluster, scalarea multidimensionala, analiza conjoint etc.). In unele cazuri, rezultatele obtinute sunt folosite pentru a construi sau pune in aplicare diferite modele de marketing (cu scop explicativ, dar mai ales predictiv), situatie in care valoarea cercetarii este mult imbunatatita.[12]

Cel mai utilizat program de calculator pentru prelucrarea datelor in cercetarile de marketing este SPSS (Statistical Package for the Social Sciences), care contine urmatoarele meniuri:[13]

FILE - permite gestiunea fisierelor (de exemplu: deschiderea unui nou fisier, inchiderea, inregistrarea etc.);

EDIT - permite efectuarea operatiunilor de tratament de text (de exemplu: copiere, taiere, lipire, selectie etc.);

VIEW - permite definirea optiunilor ecranului (de exemplu: bare de unelte de lucru);

DATA - trateaza tot ce este legat de gestiunea bazei de date (de exemplu: definirea unei variabile, inserarea unei variabile, trierea datelor etc.);

TRANSFORM - permite efectuarea diferitelor operatii de transformare asupra variabilelor din baza de date (de exemplu: recodificare, creare de indici etc.);

ANALYZE - permite efectuarea tuturor analizelor statistice pe care SPSS le poate realiza (de exemplu: analize descriptive, corelatii etc.);

GRAPHS - prezinta toate tipurile de grafice pe care SPSS permite sa le creeze (de exemplu: histograme, Boxphot etc.);

UTILITIES - contine utilitarele programului (de exemplu: informatii despre fisiere, informatii despre variabile etc.);

WINDOWS - permite gestiunea ferestrelor;

HELP - este un instrument de sprijin in utilizarea SPSS, ce ofera atat informatii on line, cat si un tutorial foarte bine documentat.

s. Interpretarea rezultatelor si redactarea raportului de cercetare. Dupa prelucrarea electronica a informatiilor, este necesara analiza si interpretarea acestora de catre cercetator. Programele de calculator, oricat de sofisticate ar fi ele, nu pot sa explice evolutia anumitor fenomene, sa identifice cauze neincluse in studiu ale fenomenelor, dupa cum nu pot sa reuneasca datele intr-un ansamblu coerent. In aceste conditii, este sarcina cercetatorului sa analizeze, sa interpreteze si sa ordoneze in mod logic rezultatele obtinute, in cadrul unui raport de cercetare.

Raportul de cercetare poate sa fie prezentat in forma orala (ceea ce se intampla foarte rar), in forma scrisa (cel mai frecvent) sau in varianta multimedia (audio-vizual). In mod obisnuit, un raport de cercetare de marketing prezentat in scris trebuie sa cuprinda urmatoarele elemente:[14]

A. Partea introductiva

  1. Coperta
  2. Pagina de garda
  3. Scrisoare de autorizare (cand cercetarea a fost realizata de o alta institutie decat cea care este beneficiara cercetarii) sau nota de transmitere (cand cercetarea a fost realizata de compartimentul specializat al organizatiei beneficiare)
  1. Cuprins
  1. Rezumat executiv (1-2 pagini, destinate conducerii organizatiei beneficiare, cuprinzand obiectivele cercetarii, principalele rezultate ale cercetarii, costurile, concluziile si recomandarile)[15]

B. Continutul raportului

Introducere

Obiectivele cercetarii

Metodologie

Rezultate

Limite ale cercetarii

Concluzii si recomandari

C. Partea finala

Anexe

Lista tabelelor si figurilor

Bibliografie



Churchill Jr., Gilbert A. - "Marketing Research. Methodological Foundations", Sixth Edition, The Dryden Press, Fort Worth, Philadelphia etc., 1995, p. 85.

Burns, Alvin C.; Bush, Ronald F. - "Marketing Research", Third Edition, Prentice Hall, Upper Saddle River, New Jersey, 2000, p. 114.

Aaker, David A.; Kumar, V.; Day, George S. - "Marketing Research", Seventh Edition, John Wiley & Sons, Inc., New York, Chichester etc., 2001, p. 50.

Aaker, David A.; Kumar, V.; Day, George S. - "Marketing Research", Seventh Edition, John Wiley & Sons, Inc., New York, Chichester etc., 2001, p. 252-254.

Stevens, Robert E.; Wrenn, Bruce; Ruddick, Morris E.; Sherwood, Philip K.- The Marketing Research Guide , The Haworth Press, New York, London, 1997, p.172-173.

Ibidem

Alreck, Pamela L.; Settle, Robert B. - "The Survey Research Handbook. Guidelines and Strategies for Conducting a Survey", Second Edition, Irwin, Burr Ridge, New York, 1995, p. 88-99.

Un exercitiu care trece in revista majoritatea greselilor ce pot sa apara in formularea intrebarilor intr-un chestionar pentru o cercetare preelectorala este prezentat in Anghel, L.; Florescu, C.; Zaharia, R. - "Aplicatii in marketing", Editura Expert, Bucuresti, 1999, p. 81-82.

O foarte detaliata schema de esantionare aplicabila in Romania la nivel national se gaseste in Sandu, Dumitru - "Spatiul social al tranzitiei", Editura Polirom, Iasi, 1999, p. 171-179.

A se vedea, mai pe larg, Florescu, C. (coordonator) - "Marketing", Editura Marketer, Bucuresti, 1992, p. 122-124.

A se vedea Anghel, L.; Florescu, C.; Zaharia, R. - "Aplicatii in marketing", Editura Expert, Bucuresti, 1999, p. 62-64.

Anghel, Laurentiu-Dan; Danetiu, Tiberiu; Serbanica, Daniel; Zaharia, Razvan - "Marketing. Manual pentru clasa a XI-a", Editura All Educational, Bucuresti, 2001

A se vedea Plaisent, Michel; Bernard, Prosper; Zuccaro, Cataldo ; Daghfous, Naoufel ; Chron, Emmanuel - "SPSS 9.0 pour Windows. Guide d'autoformation", Presses de l'Universit du Qubec, Sainte-Foy, Qubec, 1999, p. 5, sau Orzan, Gheorghe - "Sisteme informatice de marketing", Editura Uranus, Bucuresti, 2001, p.280-281.

Adaptare dupa Burns, Alvin C.; Bush, Ronald F. - "Marketing Research", Third Edition, Prentice Hall, Upper Saddle River, New Jersey, 2000, p. 649.

Shao, Alan T. - "Marketing Research - An Aid to Decision Making", South-Western College Publishing, Cincinnati, Albany etc., 1999, p. 551.



Politica de confidentialitate | Termeni si conditii de utilizare



DISTRIBUIE DOCUMENTUL

Comentarii


Vizualizari: 2199
Importanta: rank

Comenteaza documentul:

Te rugam sa te autentifici sau sa iti faci cont pentru a putea comenta

Creaza cont nou

Termeni si conditii de utilizare | Contact
© SCRIGROUP 2025 . All rights reserved