| CATEGORII DOCUMENTE |
| Comunicare | Marketing | Protectia muncii | Resurse umane |
Analiza bivariata a datelor
Pentru testarea gradului de semnificatie a diferentelor de opinie intre subiectii constituiti in doua sau mai multe esantioane independente, cu privire la o caracteristica cercetata, se poate utiliza testul neparametric χ2.
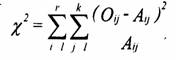
Valoarea calculata a lui χ2 se detrmina cu ajutorul formulei:

unde:
"r" si "k" - numarul de randuri si, respective, de coloane ale tabelului de contingenta;
Oij - frecventele randului "i" si ale coloanei "j" , care rezulta din observare;
Aij - frecventele randului "i" si ale coloanei "j" , care se asteapta sa rezulte conform ipotezei nule (de obicei in tabelul de contingenta aceste valori sunt trecute in paranteza).
Valorile rezultate prin utilizarea formulei au o repartitie de esantioane care poate fi aproximata de o repartitie χ2 cu (r - 1)(k - 1) grade de libertate. Daca valoarea calculata a lui χ2 este egala sau mai mare decat valoarea teoretica corespunzatoare unui numar de grade de libertate si unui anumit grad de semnificatie, atunci ipoteza nula nu se accepta.
La o expozitie s-a efectuat un sondajasupra unui esantion de 600 de personae si s-a obtinut urmatoarea repartitie a acestora pe sexe si pe grupe de varsta, in functie de modul de apreciere a unui produs nou:
|
Aprecieri |
Barbati |
Femei |
Total |
Sub 30 de ani |
30-50 de ani |
Peste 50 de ani |
Total |
|
Favorabile |
150 |
232 |
382 |
225 |
110 |
65 |
400 |
|
Nefavorabile |
128 |
90 |
218 |
75 |
60 |
65 |
200 |
|
Total |
278 |
322 |
600 |
300 |
170 |
130 |
600 |
Ne intereseaza daca exista unele deosebiri in aprecierea produsului pe sexe si pe grupe de varsta. Urmeaza sa se stabileasca daca deosebirile in aprecierea noului produs, pe sexe si pe grupe de varsta, sunt semnificative din punct de vedere statistic.
Ipoteze:
Ø H0 daca χ2c < χ2t , atunci aprecierile noului produs nu sunt influentate de sex;
Ø H1 daca χ2c > χ2t, atunci aprecierile noului produs sunt influentate de sex.
|
Aprecieri |
Barbati |
Femei |
Total |
|
Favorabile |
150 |
232 |
382 |
|
Nefavorabile |
128 |
90 |
218 |
|
Total |
278 |
322 |
600 |
Calculam frecventele teoretice Aij :

Astfel valoarea calculata a lui χ2 va fi:

![]()
![]()
Valoarea calculata a lui χ2 se compara cu valoarea teoretica. Astfel se determina numarul gradelor de libertate:
(2-1)(2-1) = 1 grad de libertate
Se opteaza pentru un nivel de semnificatie de 0,05, adica o probabilitate de 95%.
Aflam si valoarea teoretica a lui χ2 care este de 3,84.
χ2c > χ2t
De aici rezulta ca H0: nu se accepta (aprecierile noului produs sunt influentate de sex).
Ipoteze:
Ø H0 daca χ2c < χ2t , atunci aprecierile noului produs nu sunt influentate de varsta;
Ø H1 daca χ2c > χ2t, atunci aprecierile noului produs sunt influentate de varsta.
|
Aprecieri |
Sub 30 de ani |
30-50 de ani |
Peste 50 de ani |
Total |
|
Favorabile |
225 |
110 |
65 |
400 |
|
Nefavorabile |
75 |
60 |
65 |
200 |
|
Total |
300 |
170 |
130 |
600 |
Pentru un nivel de semnificatie de 0,1 si (2-1)(3-1) = 2 grade de libertate, putem afla ca χ2t = 4,605.
χ2c = 3,125 + 0,079 + 5,563 + 6,25 + 0,157 + 11,255 = 26,4
χ2c > χ2t
De aici rezulta ca H0: nu se accepta (aprecierile noului produs sunt influentate de varsta).
Cu ajutorul datelor de mai sus putem sustine ca producatorul va trebui sa aiba in vedere ca noul sau produs este bine apreciat mai ales de femei pana la 30 de ani.
Avem o baza de date despre productia de automobile.
H0 : nu exista nici o legatura intre greutatea vehiculului si numarul de cilindrii si timpul de acceleratie;
H1: exista o legatura intre greutatea vehiculului si numarul de cilindrii si timpul de acceleratie
Aplicand regresia liniara si luand ca variabila dependenta greutatea vehiculului si variabile independente numarul de cilindrii si timpul de acceleratie de la 0 la 60 mph putem afla cateva informatii cum ar fi:
Model Summary
|
R |
|
Adjusted
|
Std. Error of the Estimate |
Change Statistics |
Durbin-Watson |
|||||
| Model |
R Square Change |
F Change |
df1 |
df2 |
Sig. F Change | |||||
b Dependent Variable: Vehicle Weight (lbs.)
R = 0,896 de unde rezulta ca legatura cu variabilele este semnificativa
Eroarea standard estimata arata cu cat poate sa varieze acesta in jurul valorii sale adevarate ca urmare a erorii aleatoare si care are valoarea de 375,95.
df = 2 grade de libertate
ANOVA
|
Model |
Sum of Squares |
df |
Mean Square |
F |
Sig. |
|
|
Regression | ||||||
|
Residual | ||||||
|
Total |
b Dependent Variable: Vehicle Weight (lbs.)
Suma patratelor a/T x 100 = 80,234 de unde rezulta ca ponderea este semnificativa
df = 2 grade de libertate
sig. = 0,000
Cu un nivel de semnificatie de 0,01 (cu o probabilitate de 99%), rezulta ca 0,01 sig. = 0,000 ceea ce insemna ca H0 se respinge. Aceasta inseamna ca modelul este semnificativ.
|
Politica de confidentialitate | Termeni si conditii de utilizare |
Vizualizari: 2504
Importanta: ![]()
Termeni si conditii de utilizare | Contact
© SCRIGROUP 2025 . All rights reserved