Scrigroup - Documente si articole

     

HomeDocumenteUploadResurseAlte limbi doc
ComunicareMarketingProtectia munciiResurse umane


COMUNICAREA

Cominicare



+ Font mai mare | - Font mai mic



Obiective de studiu



Dupa ce veti studia acest capitol, ar trebui sa fiti capabili:

Sa explicati procesul de comunicare si sa relevati importanta, functiile si scopurile comunicarii in management.

Sa descrieti categorii si forme ale comunicarii in mediul organizational.

Sa descrieti si sa explicati caracteristicile comunicarii orale, in scris si nonverbale, avantajele si limitele utilizarii acestora in management.

Sa accentuati semnificatia si modalitatile de primire si transmitere a feedback-ului in management.

Sa identificati tipurile de retele de comunicare in grupurile mici, respectiv stilul de leadership ce le genereaza.

Sa identificati principalele bariere in comunicare si sa puteti sugera solutii de depasire a lor.

COMUNICAREA

Concepte cheie

¾ Proces de comunicare ¾ Comunicare interpersonala ¾ Emitent ¾ Comunicare orala ¾ Mesaj ¾ Comunicare in scris ¾ Primitor ¾ Comunicare nonverbala ¾ Feedback ¾ Retele de comunicare ¾ Comunicare operationala ¾ Bariere in comunicare

1 Ce este comunicarea si ce importanta are in management

Comunicarea este prezenta in tot ce facem in viata si este esentiala pentru a putea munci si trai. Comunicarea se defineste ca fiind un transfer de informatii de la un emitent (expeditor) la un primitor (destinatar), in conditiile realizarii aceleiasi semnificatii a continutului mesajului la cei doi subiecti. Daca este prezenta intelegerea comuna a mesajului, comunicarea este efectiva.

Comunicarea este mijlocul, modalitatea concreta de lucru a unui manager, prin care acesta infaptuieste coordonarea unui grup uman intr-o organizatie. Succesul in management depinde decisiv de abilitatea de comunicare a managerului. Programele, scolile, facultatile, in general sistemele de formare, pregatire si perfectionare a managerilor profesionali, pun un accent deosebit pe dezvoltarea si slefuirea abilitatilor, dexteritatilor de comunicare ale studentilor ce vor sa practice managementul. "Cel mai important lucru pe care l-am invatat in scoala a fost cum sa comunic", a afirmat Lee Iacocca, unul dintre cei mai faimosi manageri americani ai ultimelor decenii.

Importanta dexteritatilor in comunicare, in general si pentru un manager, in special, este evidentiata de ponderea acesteia, precum si de caracteristicile si consecintele comunicarii pentru performantele organizatiei. Studii empirice ne ofera urmatoarele date in acest sens:

75% dintr-o zi de munca vorbim si ascultam;

75% din ceea ce auzim, auzim imprecis;

75% din ce auzim cu acuratete, uitam in urmatoarele trei

saptamani. In medie, 70% din timpul de lucru al unui manager se consuma pentru comunicare, avand aproximativ urmatoarea structura:

9% citeste;

16% scrie;

30% vorbeste;

45% asculta. Rezulta clar ca succesul in pozitia de manager este larg conditionat de abilitatea de a transmite si primi mesaje convingatoare si eficace. Practica a relevat ca una dintre cele mai dificile si importante sarcini ale

unui supraveghetor este comunicarea. De asemenea, ca avansarea din pozitiile manageriale de mijloc are drept prim criteriu abilitatea de a

comunica cu superiorii. Dexteritatea in comunicare poate crea sau intrerupe

o cariera. Majoritatea problemelor in activitatea unei organizatii si a managementului ei are drept cauza slaba comunicare, 70% din intreaga comunicare in afaceri esueaza in atingerea scopurilor propuse. Importanta comunicarii in cadrul unui efort organizat a fost recunoscuta de numerosi autori apartinand diferitelor curente si scoli de management, indeosebi de relationisti si sistemisti. Relationistii, de exemplu, accentueaza problemele umane ce apar in procesul comunicarii,

concentrandu-se asupra identificarii barierelor in calea unei bune comunicari, cu deosebire a celor in relatiile interpersonale.

2 Functiile si scopurile comunicarii

Comunicarea este modalitatea prin care oamenii sunt uniti intr-o organizatie pentru a atinge un tel comun. Asadar, functia comunicarii este aceea de a unifica activitatile organizatiei.

In vederea realizarii functiei sale, comunicarea isi propune sa influenteze, sa informeze si sa permita exprimarea simtamintelor de catre oameni, acestea fiind scopurile sale.

Influentand actiunile oamenilor, comunicarea contribuie la realizarea de schimbari ce asigura prosperitate organizatiei, precum si membrilor sai. Comunicarea este vitala pentru functionarea interna a organizatiei (firmei de afaceri), prin aceea ca ea integreaza functiile manageriale. Se recunoaste, in general, ca managerii determina climatul organizational si influenteaza atitudinile membrilor organizatiei. Ei realizeaza aceasta mai ales prin comunicarea initiata de managementul de varf. In acest sens, managerii, ca de altfel fiecare persoana din organizatie, au o responsabilitate majora pentru o comunicare efectiva. Superiorii trebuie sa comunice cu subordonatii si invers. Comunicarea este un proces in dublu sens, in care fiecare este, pe rand, emitent si primitor de mesaje.

Comunicarea este si procesul prin care fiecare membru al organizatiei primeste informatiile necesare activitatii sale. Afacerile, de exemplu, solicita informatii privind preturile, concurenta, tehnologia si finantele, precum si despre legislatie si hotararile guvernului. Aceste informatii sunt esentiale pentru deciziile managementului privind felul produselor ce se vor fabrica, loturile de fabricatie si livrare, calitatea produselor, strategia de marketing, organizarea productiei si circuitul informatiilor interne.

Cooperarea oamenilor intr-o organizatie nu ar fi posibila fara ca ei sa comunice unii altora si nevoile si sentimentele lor. Comunicarea incorporeaza procese psihologice precum perceptia, invatarea si motivatia. Comunicarea, mai cu seama cea informala, contribuie la satisfactiile si stabilitatea grupurilor de munca, fiind o supapa de siguranta pentru emotiile si frustrarile oamenilor.

3 Procesul de comunicare

Procesul de comunicare este metoda prin care un emitent (expeditor) contacteaza un primitor (destinatar) cu un mesaj. In figura 1 este reprezentata schema procesului de comunicare in mediul organizational.

In schema procesului de comunicare se pot vedea factorii si pasii comunicarii. Sursa (emitentul), avand conturata ideea, rezultat al gandirii, prin care urmareste o actiune, o schimbare la destinatar (primitor), o codifica intr-o forma accesibila intelegerii acestuia. Codificarea inseamna uzual literele si cuvintele limbii folosite de cei doi (emitent si primitor), dar poate fi si in simbolurile limbajului calculatoarelor, de exemplu. Mesajul poate fi exprimat oral, in scris sau nonverbal.

Canalul sau media prin care se transmite mesajul si care leaga cei doi subiecti, atunci cand comunicarea nu este directa, poate fi o scrisoare, un computer, telefon, fax, TV etc. Uneori se folosesc doua sau mai multe canale pentru acelasi mesaj. Doua persoane pot stabili prin telefon o intelegere, confirmata ulterior printr-o scrisoare. Selectia canalului potrivit este esentiala pentru o comunicare efectiva.

Primitorul trebuie sa fie pregatit sa primeasca mesajul, adica sa-l poata decodifica si intelege. Intelegerea poate aparea numai in mintea

primitorului. Acesta singur alege daca sa inteleaga sau nu. In afara de cunostintele necesare, perceptia si capacitatea de ascultare sunt prezente in aceasta faza a procesului de comunicare. Multi manageri sau proprietari trec cu vederea acest aspect atunci cand dau instructiuni sau ofera explicatii.

Perturbatiile (zgomotele) sunt acele elemente sau factori ce stingheresc comunicarea si care se manifesta in toate componentele acestui proces. Astfel, zgomotele sau un spatiu prea restrans pot deranja elaborarea unei idei clare; se pot face codificari gresite folosind simboluri ambigue; transmiterea poate fi intrerupta de paraziti sau slaba fiabilitate a canalului de comunicare (telefon, radio etc.); receptia poate fi eronata datorita incorectei intelegeri a cuvintelor sau a altor simboluri etc. Vom reveni asupra acestora in paragraful ce trateaza barierele in comunicare.

Pentru controlul eficacitatii comunicarii, reactia inversa (feedbackul) este esentiala. Emitentul trebuie sa aiba confirmarea ca mesajul sau a fost receptionat si inteles corect. Astfel, prin feedback comunicarea este un proces in ambele sensuri.

In sinteza, se poate retine caracterul dinamic, interactiv al comunicarii. Ca proces, comunicarea este o secventa de evenimente, mereu in schimbare, ce se desfasoara continuu. Nu exista practic un inceput si un sfarsit, comunicarea nefiind ceva static, ci in miscare. Iar componentele acestui proces sunt interactive, fiecare afectandu-le pe toate celelalte.

4 Categorii si forme de comunicare in organizatii

In vederea asigurarii unui proces eficace si eficient de comunicare, studiul si analiza diferitelor categorii si forme de comunicare sunt importante. In continuare, vom prezenta si caracteriza succint cateva grupari ale comunicarii in mediul organizational.

4.1 Comunicarea operationala: interna, externa. Comunicarea interpersonala

Folosind drept prim criteriu scopurile servite de comunicare in mediul oganizational, comunicarea poate fi grupata in urmatoarele categorii:

operationala interna;

operationala externa;

interpersonala

Comunicarea operationala interna include intreg ansamblul de mesaje ce-i leaga pe angajatii organizatiei in actiunile de infaptuire a planului ei operational, respectiv totalitatea procedurilor concepute pentru

realizarea obiectului specific de activitate. Comunicarea operationala interna cuprinde: ordine si instructiuni date de supraveghetori lucratorilor; dialogul oral intre lucratori pe probleme de munca; situatii intocmite de personalul operativ in diferite domenii - productie, vanzari, finante, stocuri, intretinere etc, prin care se raporteaza indeplinirea sarcinilor de munca.

Comunicarea operationala externa face legatura organizatiei cu oameni si grupuri din afara ei, dar legat de misiunea si obiectul activitatii sale, respectiv cu furnizori, clienti, prestatori de diverse servicii, cu publicul. Procedurile de comunicare in tranzactiile directe de vanzare sau cumparare, diferitele materiale scrise de prezentare a produselor si serviciilor, raspunsurile la solicitarile telefonice, publicitatea si reclama prin toate mediile, utilizate potrivit specificului activitatii, sunt exemple ale comunicarii operationale externe.

In aceasta categorie se includ si actiunile pe care organizatia le intreprinde pentru a imbunatati relatiile sale publice, imaginea unui comportament plin de solicitudine fata de clienti, responsabilitatea civica a managementului.

Cu certitudine, succesul oricarei organizatii, firma de afaceri, este dependent de oamenii si grupurile din afara ei. Satisfacerea nevoilor clientilor trece obligatoriu prin abilitatea de a comunica efectiv cu ei. Ca si comunicarea operationala interna, cea externa este vitala pentru organizatie.

Comunicarea interpersonala este schimbul de informatii si simtaminte pe care oamenii le angajeaza oriunde si oricand sunt impreuna, fara ca acestea sa aiba neaparat scopuri sau obiective precum cele ale organizatiei. Tendinta de comunicare, determinata de natura sociala a fiintei umane, se manifesta chiar si atunci cand oamenii sunt complet straini unul altuia, dar se afla temporar impreuna (in tren, avion, la o coada). De asemenea, nevoia de comunicare ii face pe oameni sa comunice si in situatii in care au putin sau nimic de spus. Cheltuim adesea mult timp comunicand cu prieteni sau cunoscuti. Cu toate ca aceasta categorie de comunicare nu face parte din planurile operationale ale organizatiei, ea are influenta asupra atitudinilor lucratorilor si, prin urmare, un semnificativ efect asupra succesului acestor planuri.

4.2 Comunicarea formala: ascendenta, descendenta, orizontala/oblica

In raport cu sensul circulatiei mesajelor si pozitia emitentului fata de primitor, tipurile de comunicare formala in organizatii sunt: descendente, ascendente si orizontale/oblice.

In comunicarea descendenta, informatiile circula pe canale ierarhice, de la nivelele superioare ale managementului spre cele inferioare, de la sefi la subordonati, sub forma ordinelor, dispozitiilor, directivelor, instructiunilor. Aceste informatii sunt esentiale pentru planificarea si organizarea activitatii si pentru antrenarea la actiune a personalului organizatiei.

In comunicarea ascendenta, sensul circulatiei mesajelor este de la subordonati la sefi. Informatia reprezinta fie reactia (feedback-ul) la mesajele primite, fie rapoarte ale actiunilor realizate. Acest tip de comunicare este esential pentru controlul activitatii.

Comunicarea orizontala/oblica are loc intre persoane situate la acelasi nivel ierarhic sau la nivele diferite, dar pe linii ierarhice distincte. Are rolul de a inlesni schimbul operativ de informatii indispensabile unui management eficient.

4.3 Comunicarea orala, comunicarea in scris, comunicarea nonverbala

O alta grupare, al carei criteriu este media de transmitere a mesajelor, distinge: comunicarea orala, in scris si nonverbala. Analiza caracteristicilor, avantajelor si limitelor utilizarii acestor forme, in diferite si variate situatii din activitatea organizatiilor, ofera multiple si valoroase elemente de perfectionare, selectie, combinare, elemente ce pot contribui substantial la eficacitatea comunicarii, a managementului in ansamblul sau.

Comunicarea orala este principala forma de comunicare, ca pondere, intr-o organizatie. Circa 3/4 din schimbul total de informatii al managerilor se realizeaza oral. Desigur, multe din ele sunt informale, de la individ la individ. La acestea se adauga variate tipuri formale de comunicare orala. Oamenii de afaceri au de facut, din cand in cand, prezentari formale - cuvantari, rapoarte orale, conferinte. Participasi conduc sedinte ale diferitelor comitete, conferinte si discutii de grup. Uneori ii intervieveaza pe candidati la angajare, pe cei care parasesc organizatia sau pe lucratorii aflati in evaluare. Chiar si o scrisoare sau un raport incep adesea prin dictare orala.

Formele obisnuit utilizate in comunicarea orala interpersonala includ: individ - individ (fata in fata), telefonul, sedinta si prezentarea (expunerea).

Comunicarea individ - individ, directa, fata in fata, pentru un manager, este potrivita in cazurile: delegarea sarcinilor, instruire (pregatire), disciplinare, informare, dare de instructiuni, raspunsuri la intrebari, controlul progreselor in realizarea obiectivelor, dezvoltarea si mentinerea relatiilor umane.

Telefonul, ca medie de comunicare, este folosit in proportii foarte diferite de la un tip de munca la altul, facand posibil un rapid schimb de informatii prin economisirea timpului necesar deplasarii. Comunicarea prin telefon (primirea unui apel, a unui mesaj, apelarea cuiva), in interiorul organizatiei si in afara ei, necesita respectarea unor reguli si proceduri, importante atat pentru eficacitatea comunicarii, cat si pentru imaginea perceputa de interlocutor. De exemplu, la primirea unui apel, ridicarea receptorului la nu mai mult de trei semnale si exprimarea formulei: "Aici este compartimentul (organizatia, daca apelul vine din afara), cu ce va putem fi de folos? este o procedura folosita de cei instruiti, formati sa comunice intr-o maniera profesionala.

Sedintele sunt forme de comunicare directa in cadrul organizatiilor, de o mare varietate. Tipice pentru manageri sunt sedintele scurte, informale, cu doi sau mai multi salariati. Coordonarea activitatii lor, delegarea de sarcini unui grup, solutionarea conflictelor dintre ei, schimbul de informatii, coordonarea resurselor, dezvoltarea intelegerii reciproce si a relatiilor umane sunt obiectivele obisnuite ale acestei forme de comunicare.

Prezentarile pe care managerii trebuie sa le faca din cand in cand sunt, de regula, formale, spre deosebire de formele mai sus analizate care, obisnuit, sunt informale.

Fara indoiala, multi dintre noi avem o anumita experienta in comunicarea informala, unii facand-o destul de bine. Nu acelasi lucru putem spune despre comunicarea formala. Cei mai multi dintre noi nu ne simtim prea confortabil atunci cand trebuie sa vorbim in fata grupurilor si oferim adesea prestatii modeste. De aceea, in continuare vom prezenta, pe scurt, cateva elemente referitoare la vorbirea in public si prezentarea orala, elemente ce ne pot ajuta in efortul de imbunatatire a comunicarii noastre.

Sansele de a avea o expunere, cuvantare, care sa mareasca audienta si interesul publicului sau grupului caruia va adresati, vor spori cu siguranta, daca veti pregati cu atentie continutul mesajului, in toate cele trei clasice

parti ale sale: introducere, cuprins, incheiere. Pregatirea incepe cu colectarea informatiilor de care aveti nevoie pentru intreaga expunere.

Introducerea are drept scop pregatirea auditoriului pentru primirea mesajului. Totodata, introducerea vizeazasi cresterea interesului. Un interes scazut la inceputul prezentarii mareste sensibil probabilitatea ratarii comunicarii efective a mesajului. Este suficient sa va ganditi de cate ori, ca parte din audienta, mintea dumneavoastra a fost altundeva, in timp ce vorbitorul isi incepuse expunerea. Cum putem trezi interesul inca din faza de inceput a prezentarii? Tehnicile de sporire a interesului initial sunt limitate doar de imaginatia noastra. O scurta poveste interesanta, un caz, o gluma, o snoava, un proverb, o declaratie de inceput (o cifra, o situatie) sunt doar cateva modalitati de a incepe prezentarea.

Pentru ilustrare, iata un exemplu. Subiectul expunerii: Competitia in afaceri. Inceputul ar putea fi: Un prieten african mi-a povestit urmatoarea fabula: "Undeva in savana dimineata in zori, leul se trezeste, se intinde cascand si-si spune: mi-e foame, dar trebuie sa incep alergarea! Daca nici azi nu prind gazela, este putin probabil ca o voi mai putea prinde vreodata! In acelasi timp, in alt loc al savanei, se trezeste si gazela, se scutura, ciuleste urechile adulmecand aerul si gandeste: inainte de orice, alergarea! Trebuie sa fiu in forma, altfel leul s-ar putea sa ma prinda!" Morala: toata lumea din savana trebuie sa faca jogging de dimineata!

Urmarind captarea atentiei inca de la inceputul expunerii, este potrivit sa fie supusa audientei tema. In cazul in care audienta este deja interesata de ceea ce veti spune, se poate intra direct in subiect, sarind peste procedura de captare a atentiei.

Continutul sau corpul prezentarii va fi organizat, ca si mesajele (rapoartele) scrise, in parti comparabile. Nivelul diviziunii va servi nevoii practice de sistematizare a informatiilor si de comunicare coerentasi va depinde de timpul disponibil, locul expunerii si numarul de probleme pe care tema le ridica.

Incheierea trebuie sa reafirme, in final, scopul comunicarii si va include obisnuit trei elemente: 1- reamintirea temei (subiectului); 2 - o sinteza a punctelor cheie ale expunerii si 3- concluzia, principalul mesaj al expunerii.

Ca si inceputului comunicarii, incheierii i se cere sa retina atentia auditoriului, scop care va fi servit de cuvinte pline de forta, ce pot ramane in memoria participantilor.

Odata expunerea pregatita, vorbitorul trebuie sa opteze pentru metoda de prezentare, care poate fi: libera (aparent improvizata), memorata si citita.

Prezentarea libera este, de departe, metoda cea mai popularasi mai eficace. Cu expunerea bine pregatita, in maniera descrisa mai sus, vorbitorul va folosi anumite insemnari in timpul comunicarii cu auditoriul. Intregul mesaj trebuie sa fie clar in mintea vorbitorului, fara a fi insa memorat. Aceasta metoda creeaza impresia de naturalete, de spontaneitate chiar atunci cand expunerea incorporeaza reactiile ascultatorilor, desi este sau ar trebui sa fie cu atentie planificatasi prezentata.

Memorarea este pentru multi oameni dificila. De cele mai multe ori sunt memorate secvente de cuvinte si nu idei. "Sansa" de a uita cuvinte poate induce confuzie in intelegerea ideilor, daca nu a intregului mesaj. Cei care folosesc aceasta metoda in comunicarea cu grupul, fie ca nu au incredere in capacitatea de a conserva ideile mesajului folosind propriile cuvinte, fie, lipsiti de experienta, se straduiesc prin memorare sa fie "la inaltimea" asteptarilor auditorului. Este probabil ca nu putini din cei care apeleaza la aceasta metoda memoreaza nu intregul text, ci numai parti, ajutandu-se de note in expunerea lor, rezultand astfel o combinatie cu metoda expunerii libere.

Citirea este metoda utilizata, cand vorbitorul doreste sa comunice intocmai un mesaj, atat in continutul cat si in forma sa. Uneori nu a pregatit comunicarea in masura in care sa poata face o prezentare libera sau memorata. Riscul monotoniei, in cazul unor lectori mai putin inzestrati sau antrenati sa citeasca intr-o maniera profesionala, conduce la pierderea interesului si scaderea eficacitatii comunicarii. Chiar si atunci cand vorbitorul alege sa citeasca expunerea, este necesar sa se pregateasca. Ascultarea propriei inregistrari este folositoare pentru perfectionarea procesului de comunicare.

In pregatirea prezentarii, vorbitorul trebuie sa aiba in vedere si alte aspecte importante pentru succesul comunicarii si anume: caracteristicile auditoriului, prezenta si imaginea personala, mediul fizic in care are loc expunerea.

Analiza auditoriului, in vederea adecvarii discursului la caracteristicile acestuia, se face atat inaintea prezentarii, cat si in timpul acesteia.

Inainte de a incepe sedinta de comunicare, marimea auditoriului, structura sa, sunt informatii de mare utilitate vorbitorului. De exemplu, in cazul in care grupul este mic, expunerea va fi mai degraba informala, spre

deosebire de adresarea formala in situatia unei audiente largi. Varsta, sexul, educatia, experienta, cunostintele in domeniu, sunt importante pentru selectia cuvintelor, a ilustratiilor si a gradului de detaliere in prezentarea subiectului.

In timpul prezentarii, atentia, expresiile faciale si alte elemente vizibile la auditoriu, formeaza feedback-ul ce aduce informatii definitorii pentru comunicare, respectiv daca discursul prezinta interes sau nu, daca sunt intelese sau nu ideile, daca este acceptat sau nu mesajul. Se poate invata mult de la auditoriu, in beneficiul unei mai bune comunicari.

In ceea ce priveste prezenta si imaginea personala, vorbitorul nu poate ignora faptul ca, in comunicarea orala, ele fac parte din mesaj. Oamenii ii aud vorbele, privesc si recepteaza imagini ale aspectului sau fizic, gesturilor si miscarii sale, cat si ale mediului fizic proxim in care se afla. Ne vom referi ceva mai in detaliu la aceste aspecte cand vom analiza comunicarea nonverbala.

Sintetizand, putem retine ca pe cale orala se realizeaza contactul direct intre subiectii comunicarii, comunicarea in aceasta forma avand urmatoarele avantaje:

rapiditate si reactie (feedback) imediata;

posibilitatea de a pune intrebari si clarifica problemele;

poate fi observat efectul produs de mesaj;

sentimentul importantei sau consideratiei acordate interlocutorului(ilor) aflat(ti) pe o treapta inferioara in scara ierarhica.

Totodata, comunicarea orala are dezavantajul ca deseori duce la risipa de timp si, desigur, de bani, iar acuratetea mesajelor nu poate fi clar si precis (re)stabilita mai tarziu.

Comunicarea in scris este potrivita pentru transmiterea informatiilor de interes general; a mesajelor care solicita actiuni viitoare; a mesajelor oficiale, formale sau pe termen lung; precum si a mesajelor ce vizeaza un numar de oameni a caror activitate este interdependenta.

Ideile asezate pe hartie par a avea o mai mare evidenta si ii ajuta pe oameni sa devina mai sistematici in gandire. In termenii managementului, mesajele scrise pot asigura comunicarea pe termen lung chiar si in absenta managerului.

Cu toate ca nu sunt prea multi cei care scriu, primesc si citesc cu mare placere mesaje, comunicarea in scris ocupa inevitabil o parte din timpul tuturor managerilor. Si este foarte probabil ca nimic nu scoate mai clar in evidenta punctele slabe ale cuiva, decat carentele evidente ale

comunicarii sale in scris. Abilitatea de a exprima cu claritate si corect gandurile intr-un mesaj scris este evaluatasi judecata de oameni.

Referate, scrisori, rapoarte, memorii, buletine de informare, circulare, postere si, tot mai mult in vremea din urma, ecrane legate de computer, sunt cateva dintre cele mai utilizate forme de comunicare in scris in organizatii. Mesajele scrise care se transmit in afara organizatiei (scrisori, rapoarte) sunt redactate mai formal, in timp ce in cadrul organizatiei alcatuirea informala este preponderenta.

Separat de unele aspecte de forma precum: antetul (denumirea, adresa sediului social, telefoane si fax, coduri E-mail, Internet), destinatarul, emitentul, subiectul sau tema comunicarii, data etc., in practica managementului, in conceperea si redactarea mesajelor scrise nu trebuie pierdut din vedere scopul schimbului de informatii. Nu uitati ca mesajul este scris pentru a comunica si nu pentru a impresiona! In aceasta privinta, cateva recomandari pot ajuta la cresterea eficacitatii activitatii manageriale pe seama calitatii comunicarii in scris.

Ca si in cazul comunicarii orale, mesajul scris trebuie sa fie adecvat, adaptat la caracteristicile cititorilor. Atunci cand codificam ideile, este necesar sa "vizualizam" cititorul, imaginand ceea ce acesta stie, gandeste, simte. Daca ne adresam unui grup eterogen din punctul de vedere al nivelului de educatie si pregatire in domeniu si dorim sa comunicam cu toti membrii acestuia, vom scrie la nivelul celui mai modest membru. Scriind la cel mai inalt nivel, ii vom "pierde" pe cei mai modesti. Nu putem ignora insasi posibila "ofensa" adusa celor inalt pregatiti, printr-un mesaj la nivelul celor mai de jos. In asemenea situatii, cei bine pregatiti vor fi menajati prin formulari de genul: "Asa cum unii deja stiu "

Selectarea cuvintelor potrivite este componenta majora a adaptarii mesajului la caracteristicile cititorului. Potrivite sunt cuvintele ce comunica cel mai bine si care au o semnificatie corectasi clara in mintea cititorului.

In categoria celor mai potrivite cuvinte ce servesc comunicarea sunt cuvintele familiare. Adica cele folosite in conversatiile cotidiene, lipsite de ambiguitate, cuvinte ce comunica rapid si precis. Desigur, nu sugeram eliminarea tuturor cuvintelor dificile (care pot fi astfel cotate pentru unii, fiind obisnuite pentru altii) ci, mai curand, evitarea excesului. Un cuvant dificil va fi desigur folosit, daca el este necesar atingerii scopului comunicarii si nu altereaza intelegerea mesajului.

Ilustram, prin trei exemple, folosirea cuvintelor nefamiliare in contrast cu cele familiare, in redactarea mesajelor. Puteti aprecia dumneavoastra efectul asupra comunicarii.

CUVINTE NEFAMILIARE CUVINTE FAMILIARE

Idiosincrasiile doamnei Popescu au Nonconformismul doamnei Popescu

alimentat adecvat justificarea incheierii justifica concedierea ei.

statutului sau de angajat.

Activitatile firmei, aferente exercitiului Firma a pierdut multi bani anul

financiar anterior, s-au incheiat cu un trecut.

substantial deficit.

Intemperanta in satisfacerea solicita-Usurinta cu care s-au platit in avans

rilor intempestive de resurse financiare, furnizorii, a redus capacitatea de

formulate de furnizori, a condus la difi-plata a firmei.

cultati in asigurarea solvabilitatii

firmei

Exemplele servesc destul de bine si recomandarea de a folosi cuvinte scurte in formularea ideilor. Potrivit rezultatelor unor studii asupra lizibilitatii, cuvintele scurte comunica mai bine decat cele lungi. Aceasta pentru ca, in general, cuvintele scurte tind sa devina familiare; totodata, greutatea in folosirea cuvintelor lungi lasa impresia ca aceasta stinghereste comunicarea.

O alta recomandare referitoare la selectia cuvintelor este aceea ca folosirea expresiilor tehnice sa se faca cu precautie. Fiecare domeniu al afacerilor - ingineria, contabilitatea, informatica etc., isi are limbajul sau specific. Practicand curent acest limbaj in activitatea profesionala, in schimbul de informatii cu colegii de "breasla", avem tendinta de a-l folosi si in comunicarea cu cei din afara domeniului specializarii noastre. Rezultatul este lipsa comunicarii. De aceea, in mesajele adresate "nespecialistilor" se va evita pe cat este posibil limbajul tehnicizat, care este greu, daca nu chiar deloc inteles.

In sfarsit, selectia cuvintelor va avea in vedere semnificatia precisa pe care acestea trebuie sa le aduca intregului mesaj al comunicarii. Din nefericire, nu putini sunt aceia care trateaza limba rutinier. Folosim deseori primele cuvinte ce ne vin in minte. Folosim cuvinte de care nu suntem siguri. Nu ne gandim totdeauna la semnificatiile pe care acestea le poarta. Se intelege ca rezultatul va fi un text vag, daca nu confuz.

Studierea atenta a semnificatiei precise a cuvintelor, a nuantelor ce diferentiaza semnificatia este, de asemenea, o conditie a calitatii mesajelor. Pot fi gasite numeroase grupuri de cuvinte ce sunt folosite ca similare de catre unii si care au semnificatii sau, cel putin, nuante diferite pentru altii.

Iata cateva exemple de astfel de grupuri:

-toleranta, clementa, indulgenta, intelegere, generozitate;

-infatuat, vanitos, orgolios, arogant, increzut, trufas;

-post, slujba, functie, serviciu, ocupatie, meserie.

Credem ca urmatorul exemplu legat de semnificatia precisa a cuvintelor, prezent intr-o anecdota, nu-l va amuza doar pe cititorul acestei lucrari. S-a intamplat, spune anecdota, ca sotia marelui lexicograf Noah Webster sa-l prinda pe acesta in flagrant sarutandu-si camerista. "Noah," a exclamat ea, "sunt surprinsa! Webster, privind-o bland, a replicat: "Nu, draga mea. Tu esti uimita. Noi suntem cei surprinsi"1.

Desigur, in cazul in care cuvantul nu are un inteles cert, contextul va fi cel care ii da semnificatia. Cuvintele, luate individual, au atat de multe intelesuri, incat pot crea confuzie pana nu sunt puse intr-un context. In consecinta, cei care comunica eficient se concentreaza mai degraba pe idee decat pe cuvinte.

Sintetizand recomandarile pentru alcatuirea mesajelor in scris, ce pot ajuta la cresterea eficacitatii comunicarii utilizata in activitatea manageriala, consideram util urmatorul ghid, sugerat de specialistul american Keith Davis

1 - Folositi cuvinte si fraze simple;

2 - Folositi cuvinte scurte si familiare;

3 - Alcatuiti fraze si paragrafe scurte;

4 -Utilizati pronumele personal, ori de cate ori este posibil, la

persoana a doua;

5 - Folositi ilustratiile, graficele, exemplele;

6 - Apelati la verbe active, precum "Managerul propune";

7 - Economisiti adjectivele;

8 - Eliminati cuvintele ce nu sunt necesare;

9 - Exprimati ideile logic si direct.

In management, comunicarea in scris are cateva avantaje relative,

comparativ cu comunicarea orala.

Lesikar, R. V. - Business Communication, Irwin, Homewood, I. L. Boston, 1991

Davis, K. Human -

Behaviour at Work

Newstrom, J. W. Human - Organizational behaviour, McGraw-Hill Book Co., New

York, 1985, pag.

Cel mai important este acela ca mesajele scrise pot fi pastrate. Acest fapt sustine preocuparea pentru respectarea legalitatii. Atunci cand deciziile, ordinele, instructiunile, rapoartele etc., sunt transmise in scris, sentimentul raspunderii in ce priveste corectitudinea lor este mai pregnant pentru emitenti.

Mesajele scrise promoveaza uniformitatea in politici si proceduri pentru un mare numar de oameni si in timp. Invatarea si respectarea procedurilor de actiune la parametri precizati, in exercitarea sarcinilor posturilor identice sau similare, intr-o organizatie, ar fi greu de imaginat fara existenta unui suport scris.

In unele cazuri, comunicarea scrisa economiseste timp si reduce costul comunicarii. Totodata, comunicarea in scris prezinta limite care, in managementul unei organizatii, nu pot fi ignorate.

Mesajul scris implica inevitabil existenta unui suport, cel mai obisnuit fiind hartia. Logistica purtatorilor materiali de mesaje se realizeaza adesea cu costuri ridicate.

Apelul la comunicarea in scris in exercitarea managementului, mai ales cand depaseste anumite limite, este perceput ca expresie a unui stil birocratic.

In cazul unor emitenti netalentati, inabili, mesajele sunt inexpresive si putin convingatoare. Reactia destinatarului nefiind imediata, comunicarea fie se va realiza cu intarziere, fie incomplet sau deloc.

Comunicarea nonverbala este a treia forma prin care sunt transmise mesaje. Eficacitatea sa implica faptul ca a comunica inseamna ceva complex, cu mult mai mult decat a selecta cuvintele potrivite. In sens larg, comunicarea nonverbala este generata de orice transmite un mesaj. Din ratiuni practice, vom analiza manifestarea acestei forme de comunicare avand drept surse corpul uman, mediul si actiunile.

De fiecare data, in comunicarea orala, directa, fata in fata, oamenii transmit mesaje prin intermediul expresiilor faciale, modulatiilor vocii, gesturilor si pozitiei (posturii), care generic mai sunt numite "limbajul corpului".

Expresiile faciale Sunt comune aprecierile potrivit carora o persoana care zambeste este bine dispusasi prietenoasa, in timp ce una incruntata este indispusasi nemultumita. Sprancenele ridicate sunt interpretate a fi semn de neincredere sau uimire. Buzele stranse sugereaza manie. Contacul direct al ochilor arata interes, evitarea lui, dezinteres. Si

atunci cand oamenii sunt nesinceri, de regula, evita sa priveasca direct in ochi. Cand cineva isi musca buza este un semn de nervozitate.

Uneori oamenii comunica exclusiv prin expresii faciale. De cate ori, cand ati facut ceva "rau", parintii, profesorii sau sefii dvs. v-au dezaprobat doar cu o privire semnificativa?

Vocea Sunt voci exceptionale (har divin), altele placute, "normale", dar si voci pitigaiate, suierate, mormaite, nechezate. Calitatile vocii dau distinctie unei persoane si-i ajuta pe altii sa-i recunoasca vocea. Ca si expresiile fetei, timbrul, tonul, volumul si ritmul vorbirii transmit prin voce atitudini -caldura, prietenie, suparare, manie etc. Modulatiile si calitatea vocii joaca un rol semnificativ in comunicare. Modificarile in toate aceste componente produc schimbari in calitatea vocii si, implicit, in eficacitatea comunicarii. Fara schimbari in voce discursul devine monoton.

Un aspect al comunicarii nonverbale, pe parcursul exprimarii orale, il constituie pauzele de "aaa " sau "iii De asemenea, repetitia excesiva a unor cuvinte sau formule cum ar fi: "deci", "eu personal", "vreau sa va spun", "daca vreti", "nu-i asa" si alte asemenea, devin suparatoare si plictisitoare pentru ascultator. O inregistrare pe caseta sau banda, ori un dialog cu altii pe aceasta tema, pot ajuta la corectarea acestor deficiente.

Gesturile si pozitia corpului: Pozitiile si miscarile mainilor si corpului, calificate intr-un ansamblu de coduri, numite generic gesturi, exprima o varietate de stari psihice sau atitudini ce sunt percepute in comunicarea nonverbala. Cateva dintre cele mai obisnuite semnificatii ale unor gesturi sunt descrise in tabelul 1.

O persoana poate folosi simultan o parte sau toate aceste forme ale comunicarii nonverbale. Nu intotdeauna se intampla sa existe o "coordonare" in acelasi sens si, astfel, mesajul sa fie diferit. De exemplu, o persoana poate sa zambeasca (semn ca este deschisa comunicarii), in timp ce tine mainile sau picioarele incrucisate (semn ca este inchisa pentru comunicare).

Tabelul 1

Adesea nu suntem constienti de gesturile noastre si de efectele pe care acestea le produc. Excesul in gesturi distrage sau devine plicticos. E folositor sa-i intrebi pe altii, prieteni de obicei, daca anumite gesturi sunt suparatoare.

Mediul si comunicarea nonverbala O mare parte din ceea ce auditoriul vede sunt elementele fizice care il inconjoara pe vorbitor: podiumul, lumina, decoratiunile de pe pereti etc. Un rol tot mai mare il au instrumentele si echipamentele audio-video folosite. Tabla alba pe care se poate scrie cu creioane marker de diferite culori, retroproiectoare de mare rezolutie, videocasete cu proiectie telecomandata, dau o nota suplimentara de profesionalism. Toate acestea contribuie la formarea impresiei generale.

Un aspect important, mai ales in comunicarea interpersonala, consta in modul in care este aranjat biroul managerului (sefului). Dispunerea mobilierului, a plantelor decorative, a scaunului destinat vizitatorului, numarul, felul si locul unde sunt puse simbolurile de statut, creeaza o ambianta in care vizitatorul poate sa se simta confortabil, bine venit sau sa perceapa "distanta" ce-l separa de primitor.

Actiunile Deseori oamenii uita ca faptele lor au semnificatie in comunicare si ca acestea sunt interpretate de altii. O strangere de mana sau un zambet sunt mesaje. Dar si o crestere de salariu sau o intarziere la o intalnire au semnificatii, de asemenea.

Atat actiunile infaptuite, cat si cele nerealizate constituie o importanta cale de a comunica. Managerul care uita sa multumeasca unui subordonat al sau sau sa actioneze cum i-a promis, comunica prin aceasta cu el.

Pe termen lung, faptele spun mai mult decat vorbele. Oamenii cred mai mult in fapte decat in cuvinte. Cei ce spun una si fac alta afla rapid ca oamenii "asculta" mai mult faptele lor. Comunicand si prin actiune si prin nonactiune, comunicam de fapt permanent in activitatea noastra, fie ca avem sau nu intentia sa o facem.

Diferenta intre ceea ce spune si ceea ce face cineva defineste fisura credibilitatii sale in comunicare. Cand aceasta fisura este mare, probabilitatea aparitiei unor dificultati, precum pierderea credibilitatii, este si ea mare.

In incheiere la prezentarea celor trei forme majore de comunicare, orala, in scris si nonverbala, trebuie spus ca acestea se folosesc combinat. Cum s-a aratat mai inainte, comunicarea nonverbala este intotdeauna combinata cu cea orala. Comunicarea orala mai poate fi combinatasi cu cea in scris. Este obisnuit ca un manager sa trasmita un mesaj oral, urmat de unul in scris, care il intareste pe cel oral.

5 Feedback-ul in comunicare

Feedback-ul este procesul de verificare a mesajelor, a intelegerii corecte a semnificatiei lor. Cum s-a precizat, pentru a avea loc efectiv comunicarea, este nevoie de intelegerea mutuala a mesajului. O cale potrivita de obtinere a feedback-ului de la primitorul mesajului, in cazul comunicarii orale, este chestionarea si parafraza.

Calea cea mai uzitata de a avea confirmarea ca mesajul transmis a fost inteles corect consta in a intreba: sunt intrebari? De regula nu sunt. De ce? Oamenii au, in general, tendinta de a nu pune intrebari datorita urmatoarelor trei motive:

1 -Se simt ignoranti. Fie nu au fost suficient de atenti, fie nu sunt destul de capabili sa inteleaga deplin subiectul;

2 -Sunt ignoranti. Cunosc prea putin sau nimic despre subiect si nu pot aprecia daca mesajul este incorect, incomplet sau interpretabil. Totul pare corect pentru ca subiectul le este strain si nu stiu ce sa intrebe.

3 -Au rezerve in a evidentia ignoranta vorbitorului, mai ales daca interesele lor viitoare depind de pozitia vorbitorului (sef, persoana influenta).

Absenta intrebarilor, dupa ce mesajul a fost transmis si invitatia de a se pune intrebari a fost facuta, conduce adesea la prezumtia eronata ca mesajul a fost inteles si comunicarea a avut loc. De aceea, vorbitorul, emitentul mesajului, trebuie sa incerce macar sa obtina feedback-ul. Cum ar putea sa faca acest lucru?

Intai, printr-o atitudine deschisa pentru feedback. Raspunsurile date cu rabdare la intrebari si explicarea lucrurilor il fac pe interlocutor sa se simta confortabil psihic si emotional. Sa nu uitam ca nu exista intrebari idioate, ci raspunsuri de acest gen!

Apoi, sa fim constienti de influenta comunicarii nonverbale. Prin toate formele comunicarii nonverbale, vorbitorul trebuie sa incurajeze feedback-ul si nu sa-l inhibe. Un manager care afirma, de pilda, ca este deschis intrebarilor, dar cand acestea sunt puse, arunca o privire ce lasa sa se inteleaga ca ele vin de la oameni nu prea "inteligenti", va taia elanul de a mai intreba.

O alta cale de a obtine feedback este aceea ca vorbitorul sa puna intrebari dupa ce a transmis mesajul. Intrebari precise, ce vizeaza o anumita informatie sau intrebari indirecte, de genul "daca ati fi in locul meu cum ati explica ?" Raspunsurile primite vor atesta daca audientii au ascultat si

inteles destul de bine ceea ce li s-a comunicat. In cazul unor raspunsuri inadecvate, desigur, vorbitorul va repeta anumite parti sau intregul mesaj, va da mai multe exemple sau va aprofunda unele aspecte.

In sfarsit, modalitatea cea mai potrivita de a verifica daca mesajul a fost receptionat si inteles corect este parafraza. Adica, a solicita primitorului sa reformuleze mesajul cu propriile sale cuvinte. Modalitatea in care va fi formulata intrebarea va determina atitudinea interlocutorului fata de mesaj si emitentul sau. Spre exemplu, intrebarea "Vreti sa-mi spuneti ce urmeaza sa faceti pentru a fi sigur ca am fost clar si explicit?" va conduce, foarte probabil, la o atitudine pozitiva.

Oferirea feedback-ului Salariatii vor sastie daca lucreaza bine sau nu, daca munca sau performantele lor sunt apreciate. De aceea, ei asteapta sa primeasca reactia managerului, reactie ce joaca, cum vom vedea intr-un capitol viitor, un rol esential in motivatie. Aici ne vom opri doar la cateva recomandari de care un manager se poate folosi, in stradania de a spori calitatea comunicarii.

Fiind unul din elementele cheie ale performantelor inalte, feedbackul trebuie sa fie:

- imediat, cat mai apropiat de momentul realizarii performantei. Impactul asupra comportamentului se reduce pe masura trecerii timpului. Recompensa oferita la sfarsit de an, pentru o realizare a salariatului la inceputul anului, va avea un efect cu mult mai firav decat daca ar fi fost acordata imediat.

-concret si precis. Generalitatile nu sunt de mare folos pentru salariati. De exemplu, in loc de formularea: "intotdeauna dvs. faceti erori",

o mai mare utilitate ar avea: "faceti de obicei doua erori si anume" Feedback-ul vag, general, cu deosebire cand este negativ, poate crea probleme managerului in relatiile cu subordonatii.

-centrat pe performanta. Feedback-ul trebuie sa se concentreze pe sarcinasi nu pe persoana. Se va face distinctie intre salariat si performanta sa. De exemplu, adresarea: " Sunteti lenes(a)", care este un atac la persoana, poate fi inlocuita cu: "Performanta dvs. in munca este cu 20% sub norma" care, sa recunoastem, suna altfel pentru salariat.

-pozitiv. Un feedback pozitiv produce efecte superioare fata de cel negativ. De aceea, se recomanda ca feedback-ul pozitiv sa detina ponderea (cca 80%). Recompensarea salariatilor pentru lucrurile bine facute, conforme cu ceea ce managerul le cere, ii incurajeaza sa repete comportamentul performant.

6 Retele de comunicare in cadrul grupurilor mici

O retea de comunicare reprezinta un grup de salariati ce au contacte stabile, prin care genereazasi transmit informatii. In organizatii se formeazasi sunt active doua categorii principale de retele de comunicare: la nivelul organizatiei, intre compartimente si in interiorul compartimentelor, al grupurilor mici. In acest capitol ne referim la cea de-a doua categorie. Retelele de comunicare la nivelul intreprinderii vor fi tratate intr-un capitol viitor, in care ne ocupam de organizare ca functie a managementului.

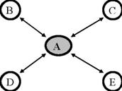
La nivelul compartimentelor si al grupurilor mici, retelele de comunicare pot fi dezvoltate intr-o varietate de structuri.

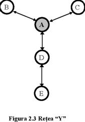
Sa luam ca exemplu un grup format din cinci persoane ce lucreaza in acelasi compartiment sau la acelasi proiect. Simbolul A apartine persoanei centrale (managerul sau seful de proiect), prin care trece cea mai mare parte a informatiilor. Intre membrii grupului se pot structura urmatoarele tipuri de retele: roata, Y, lant, cerc si stea.

Fiecare membru al retelei comunica numai cu persoana din

Figura 2 Retea roata

Nivel 1

Nivel 2

Nivel 3

Figura 4 Retea lant

Un membru al retelei, E, nu comunica direct cu seful (A), ci prin intermediul altui salariat (D). De remarcat primul pas al descentralizarii in ce priveste comunicarea. In ansamblu, sistemul centralizat si stilul predominant autocratic se mentin.

Persoanele de la nivelul 3 (D si E) comunica cu persoana de la nivelul 1 (A) prin intermediul persoanelor de la nivelul 2 (B si C). Sistemul creeaza liniile si treptele ierarhice.

In acest tip de retea, fiecare comunica cu alte doua persoane. Persoana A apare, in planul comunicarii, mai degraba in postura de membru al grupului decat de sef al acestuia. Un nivel sensibil al descentralizarii este asociat cu stilul participativ de

Figura 5 Retea cerc

Fiecare persoana, membru al retelei multicanal, poate comunica liber si deschis cu oricare alta persoana din grup. Acestui gen de retea ii este specific stilul participativ sau permisiv de management, cu un nivel ridicat al descentralizarii.

Figura 6 Retea stea (multicanal)

Trebuie facuta mentiunea ca tipurile de retele prezentate sunt folosite in activitatea grupurilor mici, nu numai si nu atat ca o concretizare a filosofiei manageriale a liderilor acestor grupuri, ci pentru ca se potrivesc diferitelor categorii de activitati. Pentru sarcini simple, de rutina, retelele roata, Y si lant asigura rapiditate si acuratete. Pentru activitati complexe, ce implica initiativasi creativitate, libera circulatie a informatiei descrisa de retelele circularasi stea este cea mai buna, chiar daca nu este atat de rapida.

7 Bariere in comunicare

Tot ceea ce stinghereste, limiteaza sau blocheaza transferul de informatii constituie bariera in comunicare. Barierele apar in toate componentele procesului de comunicare si includ: perceptia, emotiile,

increderea si credibilitatea, dificultatile de ascultare, filtrajul, supraincarcarea cu informatii, locul si timpul, zgomotele si media selectata.

Perceptia este o bariera de natura semantica ce apare datorita limitelor in interpretarea codurilor prin care se comunica. Imperfectiunile sistemului nostru senzorial si optiunea pentru o semnificatie inadecvata, data unui simbol intr-o situatie data, conduc la intelegerea gresita sau pur si simplu la neintelegerea mesajului. Interesele, cunostintele, experientele si valorile proprii oamenilor afecteaza interpretarea mesajului. De obicei, oamenii au tendinta sa perceapa mesajele din punctul lor de vedere. De exemplu, schimbarea unei proceduri este vazuta de manager ca un fapt pozitiv, o cale de crestere a productivitatii, in timp ce lucratorul poate sa o perceapa negativ, ca efort suplimentar ce nu va fi compensat.

Pentru a depasi aceasta bariera, este necesar ca emitentul sa codifice si sa transmita mesajul in maniera cea mai favorabila perceptiei primitorului. Controlul intelegerii prin feedback poate ajuta la eliminarea problemelor create de perceptie.

Emotiile oamenilor actioneaza ca filtru aproape in intreaga lor comunicare. Vedem si auzim ceea ce suntem pregatiti sa vedem si auzim! Prin urmare, comunicarea nu poate fi separata de personalitatea oamenilor. Fiecare traim stari ca: manie, jignire, teama, tristete, bucurie etc. Stapanit de astfel de emotii, este dificil sa fii obiectiv si capabil sa asculti.

Cand comunicam, trebuie sa ramanem calmi si atenti pentru a nu transmite interlocutorului(lor) stari emotionale prin comportamentul nostru. Daca, inevitabil, subiectii comunicarii ajung la stari emotionale, este mai productiv ca discutia sa fie amanata pana ce le revine calmul.

Increderea si credibiliatea Intelesul si valoarea mesajului sunt influentate de increderea in emitent si de credibilitatea lui. Increderea fata de un lider sau un sef este determinata de integritatea lor. Primitorii vor accepta sau respinge mesajul, dupa cum au sau nu incredere in emitentul sau. Lipsa de incredere nu-ti face mesajul plauzibil, mai mult, acesta poate fi interpretat drept demagogie.

Credibilitatea priveste cunostintele, expertiza in domeniu ale celui ce ofera mesajul. Un expert recunoscut are mai mari sanse sa fie ascultat si crezut decat un novice neexperimentat.

Ridicarea nivelului de incredere necesita un comportament deschis si onest in comunicarea cu oamenii. Odata dovedit nesincer, este putin probabil ca oamenii iti vor mai acorda incredere. Iar castigarea credibilitatii necesita fapte ce probeaza profesionalismul si abilitati intr-un domeniu.

Ascultarea O bariera importanta in comunicarea orala este incapacitatea de a asculta, asociata deseori cu evaluarea prematura a mesajului si emitentului. Sunt multi cei ce vorbesc si putini cei ce asculta. A asculta cere atentie totalasi autodisciplina. A asculta nu inseamna numai a auzi. Pentru a auzi sunt suficiente urechile sanatoase, dar pentru a asculta este necesara mintea. Ascultarea este un act constient, pozitiv, care cere vointa si nu o simplasi pasiva descifrare de sunete. Ascultarea este esentiala pentru intelegere, deci pentru comunicare. Consideram utila prezentarea unui ghid, in zece puncte, pentru o ascultare efectiva

Incetati sa vorbiti! Nu puteti asculta daca vorbiti.

Puneti interlocutorul in situatie usoara. Ajutati o persoana sa se simta libera sa vorbeasca.

Spuneti interlocutorului ca vreti sa ascultati. Aratati interes. Nu cititi, de pilda, corespondenta in timp ce altul va vorbeste.

Indepartati perturbatiile. Nu foiti hartii; nu faceti zgomote cu alte obiecte.

Fiti constructiv. Incercati sa intelegeti punctul de vedere al interlocutorului, chiar daca initial aveti o alta parere.

Fiti rabdator. Ascultati intregul timp, nu-l intrerupeti pe vorbitor.

Pastrati-va calmul. O persoana suparata ia sensul negativ al cuvintelor.

Fiti circumspect cu critica si argumentarile. Acestea pun interlocutorul in defensiva. Chiar daca ati iesit invingator, in planul comunicarii ati pierdut.

Puneti intrebari. Aceasta incurajeaza pe vorbitor si arata ca dvs. ascultati.

Incetati sa vorbiti! Este prima si ultima cerinta, pentru ca toate celelalte depind de ea. Nu puteti efectiv asculta in timp ce vorbiti.

Filtrajul este procesul de alterare sau distorsiune a informatiei, cu scopul proiectarii unei imagini mai favorabile. Mai concret, accentuarea aspectelor pozitive si subaprecierea, chiar trecerea sub tacere, a partilor negative ale unei situatii. Salariatii filtreaza adesea informatiile, incercand

Devis, K., Newstrom, J. W. - lucrare citata, pag. 438

astfel sa tainuiasca problemele unui sef, care critica aspru aspectele negative din activitatea lor.

Distorsiunea prin filtraj sau erori datorate altor cauze este cu atat mai mare cu cat informatia traverseaza mai multe niveluri ierarhice. Se apreciaza, pe baza cercetarilor empirice, ca se pierde aproximativ 10% din volumul informatiilor la transmiterea de la un nivel ierarhic la altul. Intr-o structura cu sase niveluri ierarhice, de exemplu, 41% din volumul initial al informatiei se va pierde. Ilustram acest exemplu in graficul din figura 7.

In general, greselile, erorile sunt descoperite si este mai bine ca acest lucru sa se intample cat mai devreme. Pentru aceasta, oamenii trebuie eliberati de teama de a releva in comunicarea cu sefii lor si aspectele si rezultatele mai putin reusite din activitatea lor.

Managerul ii poate incuraja in aceasta directie pe salariatii sai, tratand erorile ca experiente din care se poate invata, decat ca ocazii de blamare si critica la adresa lor. Politica usilor deschise si educarea capacitatii de a primi si trata cu calm vestile negative contribuie la dezvoltarea comunicarii in ambele sensuri.

Supraincarcarea informationala Toti oamenii au o capacitate limitata de a receptiona, decodifica si intelege un volum de informatii, intr-un timp dat. Managerii opereaza uneori cu filosofia ca "mai multa comunicare inseamna o comunicare mai buna". Ei ofera salariatilor un volum enorm de informatii, pana ce acestia gasesc ca sunt coplesiti de date, fara ca intelegerea sa se imbunatateasca. Cheia unei comunicari mai bune este calitatea, nu cantitatea.

Minimizarea supraincarcarii informationale este posibila prin transmiterea mesajelor in cantitati ce pot fi decodificate de primitor. Verificarea din cand in cand, in cazul unui mesaj lung, a decodificarii de catre primitor, prin intrebari si parafraze, serveste la evitarea supraincarcarii si, prin aceasta, la cresterea eficacitatii comunicarii.

Media de comunicare Dintotdeauna, managerii au fost preocupati de eficacitatea comparata a diferitelor medii de comunicare. Folosirea unei medii inadecvate poate duce la nerealizarea comunicarii. Intr-un paragraf anterior, au fost prezentate cateva din avantajele si limitele mediilor principale folosite in comunicarea, oralasi in scris. Aici vom sintetiza, asa cum se poate vedea in tabelul 2, mediile potrivite diferitelor obiective si conditiile in care are loc comunicarea.

MEDII SI OBIECTIVE IN COMUNICARE

Tabelul 2

armonizarea dezacordurilor in scris/oral, munca, comunicarea schimbarilor scris/vizual

3. Multimedia

majore in politici, remedierea oral/vizual, deficientelor in munca scris/oral/vizual

K Intrebari si discutii

Care sunt avantajele si dezavantajele comunicarii scrise si ale celei orale? Pe care o preferati? In ce circumstante?

De ce creste proportia timpului dedicat comunicarii pe masura ce urcam pe scara ierarhica a unei organizatii?

Cat de bine ascultati? Cum puteti sa va imbunatatiti dexteritatile de ascultare?

Putem admite ca fiind corecta egalitatea:Mai multa comunicare Comunicare mai buna? De ce da? De ce nu? Dati un exemplu pentru a sustine raspunsul dvs.

Perceptia selectiva este o bariera obisnuita in comunicare. Mai mult, este adesea evident ca oamenii vad ceea ce au fost formati sa vadasi ca diferite perspective influenteaza puternic identificarea problemelor. In ce masura instruirea profesionala influenteaza perceptia individului cand apare o problema? De exemplu, cum ar aborda situatia scaderii profiturilor un contabil, un manager de vanzari si un inginer? Ce dificultati ar putea aparea daca cei trei ar avea de solutionat impreuna aceasta situatie?

Discutati un caz in care, intr-un proces de comunicare, ati auzit un anumit mesaj oral, dar ati vazut un altul nonverbal. Caruia i-ati dat crezare?



Politica de confidentialitate | Termeni si conditii de utilizare



DISTRIBUIE DOCUMENTUL

Comentarii


Vizualizari: 3617
Importanta: rank

Comenteaza documentul:

Te rugam sa te autentifici sau sa iti faci cont pentru a putea comenta

Creaza cont nou

Termeni si conditii de utilizare | Contact
© SCRIGROUP 2025 . All rights reserved