| CATEGORII DOCUMENTE |
| Comunicare | Marketing | Protectia muncii | Resurse umane |
COMPLEMENTAR MANAGEMENTUL AFACERILOR PRIN PROIECTE
``IMPLEMENTAREA SMQ``
Managementul calitatii si ingineria valorii

Diagnosticul economico-financiar
1. Informatii cu caracter general
a) Statutul juridic al organizatiei, respectiv forma de proprietate
J'Info Tours a fost creata de Carmen si
Aurel Pavel in mai 1990, fiind printre primele firme private de turism in
Date
legale :
S.C. J'Info Tours S.R.L
Adresa: Str. Jules Michelet nr 1 sector 1 Bucuresti
R 445220
J40/2734/1991
b) Obiectul de activitate
J'Info Tours este o agentie de turism care a creat o traditie in cei 19 ani de existenta, principalul sau obiectiv fiind gasirea solutiilor optime pentru clientii sai.
2. Informatii financiare
a) Evolutia cifrei de afaceri pe ultimii 3 ani
|
Nr.crt |
Indicatori |
2006 |
2007 |
2008 |
|
1 |
Cifra de afaceri |
43,264,550 |
47,314,644 |
56,332,698 |
b) Evolutia capitalului
|
Nr.crt |
Indicatori |
2006 |
2007 |
2008 |
|
1 |
Capital propriu |
1,334,897 |
1,220,602 |
1,603,472 |
|
2 |
Datorii pe termen lung |
0 |
168,726 |
141,554 |
|
3 |
Capital permanent (2+1) |
1,334,897 |
1,389,328 |
1,745,026 |
c) Evolutia profitului net
|
Nr.crt |
Indicatori |
2006 |
2007 |
2008 |
|
1 |
Profitul net |
1,061,052 |
540,469 |
336,604 |
d) Solvabilitatea
|
Nr.crt |
Indicatori |
2006 |
2007 |
2008 |
|
1 |
Rata solvabilitatii |
3,27 |
2,37 |
1,4 |
e) Evolutia activelor fixe
|
Nr.crt |
Indicatori | |||
|
1 |
Active fixe - total | |||
|
Imobilizari necorporale | ||||
|
Imobilizari corporale | ||||
|
Imobilizari financiare |
f) Situatia resursele umane
Structura organizatorica a agentiei " J'Info Tours" este o expresie atat a resurselor umane, materiale, financiare si informationale incorporate, cat si a caracteristicilor mediului in care aceasta isi desfasoara activitatea.
Angajatii S.C. J'Info Tours SRL lucreaza in 7 mari departamente:
Corporate/Business Travel Department,
Ticketing & Rezervari de zbor,
Incoming,
Outgoing,
Transporturi,
Departamentul marketing,
Departamentul financiar
3.Informatii cu privire la resursele umane
Resursele umane ale societatii sunt reprezentate de cei 58 de angajati: 32 absolventi ai Facultatii de Turism, Stiinte Economice, Computere si 14 absolventi ai cursurilor speciale de agenti de turism si ghizi. Anagajatilor permanenti li se adauga si un numar de 34 ghizi autorizati; 14 absolventi ai cursurilor speciale de ticketing (rezervari bilete de avion) IATA in Frankfurt, Budapesta, Londra si Bucuresti si licentiati I.A.T.A. si 12 soferi.
Angajatii S.C. J'Info Tours SRL lucreaza in 7 mari departamente:
In cadrul acestui departament activitatea se desfasoarain doua servicii: Misiuni de afaceri si telemarketing - asistenta.
Pentru a veni in sprijinul oamenilor de afaceri care calatoresc in intreaga lume, Agentia a dezvoltat un departament specializat de Corporate / Business Travel - care satisface cele mai exigente cerinte in turismul de afaceri.
Oferta generala pentru companii include urmatoarele servicii:
rezervari la hoteluri din tara si strainatate,
bilete de avion orice destinatie,
organizari de conferinte, traininguri si intalniri de afaceri,
transferuri la/de la aeroport,
curse charter,
polite de asigurare de sanatate pentru calatorie,
catering,
organizari de cocktail-uri, activitati de protocol si evenimente speciale,
rent-a-car in Romania si in strainatate,
excursii in tara si in strainatate,
studiu pentru optimizarea cheltuielilor,
curierat rapid pentru documente.
Programele unor asemenea deplasari tin cont de agenda delegatiei, de intalnirile stabilite, agentia acordand asistenta pe toata durata misiunii.
In
principal , in cadrul departamentului au loc doua mari activitati: organizarea
misiunilor economice pentru deplasarile in strainatate si cea de-a doua,
organizarea misiunilor economice pentru deplasarile in
Dosarul unei misiuni economice externe cuprinde urmatoarele etape:
a) cererea de oferta inaintata de organizatorul oficial ( ministere, ambasade, etc.)
b) efectuarea rezervarilor pe avion
c) lansarea catre partenerul extern a programului deplasarii si cererea de informatii cu privire la preturile pentru cazare, masa gratuitati
d) intocmirea programului deplasarii
e) expedierea programului deplasarii catre organizatorul oficial
f) obtinerea acordului organizatorului oficial
g) efectuarea rezervarilor de camere
h) intocmirea rooming-list-ului
i) identificarea persoanelor care nu au platit
j) incheierea platilor
k) primirea facturii de la partenerul extern
Dosarul unei misiuni economice interne are urmatoarele faze:
a) se intocmeste lista participantilor,
b) se intocmeste un document cumulativ care cuprinde: numele persoanei, numele firmei, sediul, etc.,
c) se identifica dispozitiile de plata ale celor ce au platit,
d) se centralizeaza faxurile primite sau transmise la participanti,
e) se urmaresc persoanele care nu au platit,
f) se intocmeste rooming-list-ul,
g) se fac platile,
h) se intocmesc mapele cu programul pentru fiecare participant,
i) se inmaneaza mapele si facturile persoanei care insoteste grupul.
Departamentul outgoing - turism extern ofera: programe turistice organizate, programe de weekend incluzand trei nopti cazare tururi de orase si tururi de tari, excursii si pelerinaje in Israel, pachete turistice incluzand, zboruri operate de curse charter in sezonul cald, rezervari de camere in hoteluri de 3, 4 si 5*, transferuri aeroport-hotel-aeroport, sejururi tot timpul anului avand ca destinatie locuri exotice, incheierea de asigurari medicale, carti verzi pentru autoturisme, asistenta in obtinerea vizei turistice daca este cazul, reduceri si gratuitati.
Serviciul de telemarketing - asistenta este permanent in contact cu clientii, asigurand asistenta de urgenta 24 de ore din 24.
Ticketing & Rezervari de zbor,
"J'Info
Calatoriile aeriene se efectueaza in conformitate cu conditiile generale de transport ale pasagerilor si in baza instructiunilor mentionate pe biletul de avion, acestea fiind considerate conditii generale ale unui contract incheiat intre compania de zbor si pasager.
Programul de operare al companiilor de zbor poate fi modificat de transportator fara instiintarea agentilor sau pasagerilor.
Departamentul de ticketing ofera:
informatii cu privire la orice ruta aeriana internationala,
rezervari de locuri si emitere de bilete de avion pe orice ruta interna si internationala cu oricare dintre companiile aeriene care au activitate in tara noastra,
livrarea la sediul firmei a biletelor de avion solicitate insotite de etichete de bagaj personalizate si cartea de vizita personala.
Incoming,
In cadrul acestui departament se reunesc serviciile turisti externi si turisti interni.
Serviciul turisti externi se ocupa cu vacantele turistilor straini in Romania. Clientii sunt contactati prin intermediul agentiilor partenere din tara turistului sau prin Biroul de Turism al Romaniei.
Departamentul se ocupa atat cu cazarea turistilor in hotelurile din tara si din Bucuresti, dar si de programele de agrement, organizarea de excursii si circuite, asigurarea meselor, transferul aeroport-hotel-aeroport, transportul cu microbuzul acolo unde este cazul, altele.
Rezervarile se efectueaza in regim normal si in regim de urgenta, decomandarea serviciilor putandu-se realiza cu 24 de ore inainte de data sosirii, caz in care nu se iau penalizari, in caz contrar se percepe taxa pentru o noapte de cazare.
Serviciul
turisti interni se ocupa cu deplasarea turistilor romani in interiorul tarii,
creand fie pachete de servicii complete, fie servicii in functie de cerintele
clientului, constand in cazare in hoteluri si vile, masa si transport, excursii
si circuite turistice, sejururi de tratament balnear. Pentru cazare in
hotelurile din Bucuresti si din
Contractele cu hotelurile se incheie cu ocazia targurilor si expozitiilor de turism prin achizitionarea unui contingent de camere.
Decomandarea serviciilor solicitate este posibil a se face fara penalizari daca se realizeaza cu 24 de ore inainte de data programata a sosirii sau a plecarii.
Departamentul mai ofera programe speciale de Revelion, Paste, 1 Mai, organizeaza mese festive, banchete si aniversari.
Outgoing,
Departamentul outgoing ofera persoanelor fizice, individual sau in grup,: programe turistice organizate, programe de weekend incluzand trei nopti cazare tururi de orase si tururi de tari, excursii si pelerinaje, pachete turistice incluzand, zboruri operate de curse charter in sezonul cald, rezervari de camere in hoteluri de 3, 4 si 5*, transferuri aeroport-hotel-aeroport, sejururi tot timpul anului avand ca destinatie locuri exotice, incheierea de asigurari medicale, carti verzi pentru autoturisme, asistenta in obtinerea vizei turistice daca este cazul, reduceri si gratuitati.
Transporturi.
In cadrul acestuia departament se reunesc cei 18 soferi, ei fiind cei ce duc la destinatie pe clientii care doresc sa ajunga in diferite locuri unde nu sunt posibile curse cu avionul.
Sejururile si circuitele in interiorul tarii se fac cu autocarul.
Departamentul marketing
Departamentul de marketing se ocupa cu crearea si lansarea unor programe operationale, unor produse si pachete turistice, principala activitate a departamentului fiind crearea, promovarea si sustinerea imaginii agentiei "J'Info Tours
Printre atributiile departamentului se numara: gasirea de noi piete de desfacere interne si internationale, crearea si distributia produselor turistice, elaborarea strategiilor, promovarea imaginii agentiei " J'Info Tours ", promovarea produselor, promovarea marcii.
Metodele de publicitate uzitate de acest departament sunt: publicitatea in zonele aglomerate ( panouri publicitare la metrou), utilizarea tipariturilor, participarea la targuri si manifestari interne si internationale de turism, mesajele telefonice si felicitarile aniversare, reclamele de pe stadioane, participarea la diferite emisiuni televizate, acordarea de interviuri, publicitatea prin Internet.
Departamentul financiar
Departamentul se ocupa cu asigurarea resurselor financiare necesare atingerii obiectivelor firmei precum si cu evidenta valorica a miscarii intregului sau patrimoniu, fiind organizat in doua servicii: contabilitate si administrativ.
Serviciul contabilitate are la randul sau in subordine, birourile : contabilitate, CFI si resurse umane.
Contabilitatea se ocupa cu inregistrarea si evidentierea valorica a resurselor financiare si materiale ale agentiei. Are ca atributii:
a) evidenta analitica si sintetica a produselor realizate
b) intocmeste toate documentele necesare
c) intocmeste bilantul contabil
d) intocmeste situatia principalilor indicatori economico-financiari
e) organizeaza, claseaza, indosariaza si pastreaza in arhiva toate documentele care stau la baza operatiunilor contabile
Biroul de personal care se afla in subordinea departamentului "contabilitate". se ocupa cu asigurarea resurselor umane necesare, cu utilizarea, antrenarea si motivarea acestora. Ca activitati intalnim: previzionarea necesarului de personal, selecatarea personalului, incadrarea, evaluarea si motivarea personalului, perfectionarea si promovarea personalului si protectia salariatilor.
Biroul C.F.I. - se ocupa cu verificarea respectarii normelor legale cu privire la existenta, integritatea, utilizarea si pastrarea valorilor materiale si banesti cu care agentia e dotata. Are ca atributii:organizarea controlului financiar preventive, executarea controlului, organizarea controlului financiar de fond,executarea controlului financiar de fond.Este un serviciu pur tehnic si nu face interpretari cantitative.
Serviciul Administrativ contribuie la buna desfasurare a activitatiilor celorlalte departamente functionale prin specificul sau de back-office. Se ocupa de intretinerea imobilelor si a mobilierului, de paza si garaj, asigurarea dotarilor si intretinerea lor.
In subordinea lui isi desfasoara activitatea: electricieni, mecanici, instalatori, curieri care se ocupa cu renovarea, modernizarea si procurarea materialelor necesare.
Organigrama societatii, de tip piramidal se prezinta:
4. Descrierea activitatilor de aprovizionare si de desfacere
a) Principalii furnizori si criteriile de selectare
In privinta furnizorilor, agentia "J`Info Tours" si-a ales partenerii de afaceri cu mare grija pentru ca imaginea sa sa nu aiba de suferit.
In octombrie 2000, J'Info Tours a semnat un parteneriat cu firma britanica HRG. HRG este lider mondial in 'Travel Management', oferind solutii complete de calatorie pentru companii nationale si multinationale cu vanzari anuale de peste 35 miliarde USD.
Partenerii HRG sunt selectati atent in functie de standard si calitatea serviciilor si nu in ultimul rand grija fata de client. Astazi sunt deschise mai mult de 3000 de birouri HRG in 87 de tari din Europa, America de Nord si America de Sud, Asia, Orientul Mijlociu si Africa.
Agentia are incheiate contracte cu marile companii aeriene existente pe piata romaneasca si internationala ca: KLM, Al Italia, Tarom, Air France, Czech Air, Lufthansa, Turkish Air, Malev. Are incheiate contracte cu HRG (Hog Robinson Group ce functioneaza de 160 de ani in domeniul prestarilor de servicii turistice.
Are
incheiate contracte avantajoase cu numeroase lanturi hoteliere si hoteluri din
In tara:
Hotel New
Hotel Maestro - Vatra Dornei,
Hotel International - Sinaia,
Hotel Anda - Sinaia,
Hotelurile Sport&Bradul&Poiana - Poiana Brasov,
Hotel Tirol -
Hotel Acasa la Dracula -
Hotel Germisara - Geoagiu Bai,
Hotel Bradul - Durau,
Hotel Mary - Busteni,
Hotel La Dolce Vita - Bran
Hotel As - Borsa,
Hotel Parc - Govora etc.
In strainatate:
Hotel Eurostar Cristal Palace si Hotel Grand Marina -
Hotel Vip Berna,
Hotel St. Georgio - Londra,
Hotel Cristobal, Hotel Dinamar, Hotel Puente Romano, Hotel Posada d Espanya si Hotel Novotel Malaga - Marbella,
Hotel Kendl -
Renaissance, Hotel Radisson SAS si Hotel Lotus -
Hotel Plaka si Hotel Acropol - Grecia,
Hotel Arena
Hotel Al Dana Plaza - Iordania,
Hotel Mayflower si Hotel Le Marly -
Hotel Queen Anee - Bruxel,
Hotel Holiday Inn
Hotel Atrium si
Hotel Rozal National si Corus Hyde Park - Londra,
Hotel Laris si Hotel Carlton - Spania,
Hotel Apollo Opera si Hotel Royal Elysees - Franta,
Hotel Anessis si Hotel Minerva - Grecia etc.
b) Principalii beneficiari si caracterul relatiilor cu acestia
Principalii clienti ai agentiei "J`Info Tours" sunt firme care solicita servicii de calatorii de afaceri, intalniri, seminarii, congrese, conferinte, calatorii de placere, incentive tours, oferite angajatilor ca surse de motivare.
O categorie speciala o constituie institutiile statului: ambasade , ministere, camere de comert, Curtea de Conturi, agentii guvernamentale.
O alta categorie de clienti o reprezinta societatile si companiile nationale si internationale mari, ca: Motorola, Danone, Coty Cosmetics, Coca-Cola, Microsoft.
In programul de marketing al agentiei, clientii sunt diferentiati dupa venituri, nevoi si provenienta, astfel:
clienti persoane fizice romane, cu venituri medii, care apeleaza la serviciile agentiei pentru B.O.T.-uri, vouchere si bilete de avion ( aduc 3% din cifra de afaceri)
clienti persoane fizice cu venituri mari care solicita serviciile departamentului de turism intern si turism extern pentru excursii de placere si pentru ticketing
clienti persoane juridice romani sau straini cu venituri mari care cer organizarea de misiuni economice, servicii de protocol, ticketing
clienti persoane fizice straine ce solicita serviciile departamentului incoming
Se observa ca numarul segmentelor de clientela este variat, in consecinta agentia oferind servicii si pachete turistice diverse.
c) Identificarea firmelor concurente
In ultima perioada pe piata turistica romaneasca si-au facut aparitia o serie de turoperatori si de agentii detailiste. Piata romaneasca cunoaste un numar de 740 de agenti economici ce desfasoara activitati turistice, printre ei numarandu-se si "J'Info Tours".
Din punct de vedere concurential, agentia nu are probleme dificile deoarece de-a lungul timpului a reusit sa-si fidelizeze clientela (atat persoane fizice, cat si juridice).
Printre principalii concurenti se numara: Paralela 45, Eximtour, Happy Tour, Aerotravel Lufthansa City Centre, Marshal Turism.
Sursa: Raport anual 2008 - J`Info
Structura raportului de diagnosticare a calitatii unei organizatii
scopul - obiectivele urmarite prin diagnosticare
Scopul diagnosticarii este evaluarea performantelor organizatiei in domeniul calitatii, tinand seama si de contextul sau economic, tehnic si social. Diagnosticare calitatii se realizeaza prin analiza tuturor proceselor desfasurate in organizatie, de care depinde respectarea cerintelor de fabricatie a produselor. Analiza trebuie sa evidentieze performantele organizatiei prin raportarea la rezultatele obtinute intr-o perioada de timp stabilita sau la performantele concurentilor, dar tinand seama de particularitatile organizatiei.
In general diagnosticarea calitatii unei organizatii presupune parcurgerea urmatoarelor etape: informarea pentru cunoasterea preliminara a organizatiei, analiza situatiei existente, evaluarea costurilor, intocmirea raportului final al diagnosticarii.
scurt istoric al aparitiei si dezvoltarii organizatiei
J'Info Tours este o agentie de turism care a creat o traditie in cei 19 ani de existenta, principalul sau obiectiv fiind gasirea solutiilor optime pentru clientii sai. Ca o recunoastere a meritelor sale - atat pe plan intern cat si pe plan international agentia a fost distinsa cu:
'INTERNATIONAL GOLDEN AWARD FOR QUALITY & BUSINESS PRESTIGE' si detinator al certificatului 'TOP QUALITY CUSTOMER SATISFACTION STANDARDS' acordate de 'Association OTHERWAYS Management & Consulting - Geneva' - Viena, Martie, 2004
'Trofeul International pentru Industria Turistica si Hoteluri' - Madrid 2002
'Steaua de aur a calitatii' - Geneva 2000
'Cel mai bun TOUR OPERATOR roman' - Paris 1998
Premiul revistei Bucharest Business Week 'Cea mai dinamica intreprindere mica-mijlocie'
Locul I in Topul Guvernului Romaniei si Ministerului Intreprinderilor Mici si Mijlocii pentru performante economico-financiare in domeniul turismului 2001-2003, iar in clasamentul intocmit de Camera de Comert si Industrie a Romaniei s-a aflat in ultimii 6 ani in TOP-3 (primele trei agentii din Bucuresti si din tara).
Misiunea Societatii este sa puna in valoare potentialul romanesc, oferind un standard ridicat al serviciilor. Principalul obiectiv este sa satisfacem necesitatile, exigentele si sperantele clientilor nostri HRG - PARTENERUL AGENTIEI J'INFO TOURS.
In octombrie 2000, J'Info Tours a semnat un parteneriat cu firma britanica HRG. HRG este lider mondial in 'Travel Management', oferind solutii complete de calatorie pentru companii nationale si multinationale cu vanzari anuale de peste 35 miliarde USD.
Principalii beneficiari ai parteneriatului J'Info Tours - HRG sunt clientii sai care au la dispozitie importante facilitati, printre care:
Asistenta 24 de ore din 24 atat in Romania cat si in exterior.
Preturi speciale, deosebit de bune, negociate la nivel de retea HRG in intreaga lume pentru zboruri, cazari, transferuri, rent-a-car etc.
Tehnologie moderna care optimizeaza procesele generand importante economii de timp si bani.
Logistica si know-how la standarde internationale,
Personal special instruit.
forma juridica de constituire
J'Info Tours a fost creata de Carmen si
Aurel Pavel in mai 1990, fiind printre primele firme private de turism in
Date
legale :
S.C. J'Info Tours S.R.L
Adresa: Str. Jules Michelet nr 1 sector 1 Bucuresti
R 445220
J40/2734/1991
patrimoniul - activele de care dispune
Societatea Comerciala J`Info Tours prezinta urmatoarea situatia a mijloacelor economice in ultimii trei ani:
|
Nr.crt |
Indicatori |
2006 |
2007 | |
|
1 |
Active imobilizate - total | |||
|
Imobilizari necorporale | ||||
|
Imobilizari corporale | ||||
|
Imobilizari financiare | ||||
|
2 |
Active circulante - total | |||
|
Stocuri | ||||
|
Creante | ||||
|
Disponibil | ||||
|
3 |
Cheltuieli in avans | |||
|
Total activ |
In perioada 2006 - 2008 se inregistreaza o diminuare la nivelul activului ce a survenit pe fondul modificarii valorii elementelor sale componente, astfel:
activele imobilizate detin la nivelul anului 2008 o pondere de 28,16% in total activ, cu 7,67 puncte procentuale mai mult decat detineau in anul de baza in totalul activului din acel an. Ca valoare, insa, activele imobilizate au cunoscut o majorare de 359,881 lei in 2008 comparativ cu 2006.
la nivelul activelor circulante se poate observa o crestere a ponderii acestora in valoarea totala a activului cu 22,84% fata de anul de baza. Se observa ca cea mai dinamica componenta a activelor circulante este reprezenta de creante, a caror majorare absoluta a fost de 1,506,941 lei.
Cheltuielile in avans au conoscut o diminuare, atat ca valoarea absoluta, cat si ca pondere, astfel la nivelul anului 2006 reprezentau 32,46%, iar la nivelul anului 2008, doar 1,96%.
evolutia pasivului
|
Nr.crt |
Indicatori |
2006 |
2007 |
2008 |
|
1 |
Fonduri proprii, din care |
1,334,897 |
1,220,602 |
1,603,472 |
|
Capital social | ||||
|
Diferente din reevaluare | ||||
|
Rezerve | ||||
|
Rezultat reportat | ||||
|
Rezultatul exercitiului | ||||
|
Repartizarea rezultatului | ||||
|
2 |
Datorii |
1,816,854 |
2,406,637 |
4,000,453 |
|
Datorii termen scurt | ||||
|
Datorii termen lung | ||||
|
3 |
Venituri in avans |
2,792,790 |
2,087,159 |
0 |
|
Total pasiv |
5,944,541 |
5,714,398 |
5,603,925 |
In perioada 2006 - 2008 se inregistreaza o diminuare la nivelul pasivului ce a survenit pe fondul modificarii valorii elementelor sale componente, astfel:
Fondurile proprii detin la nivelul anului 2008 o pondere de 28,61% in total pasiv, cu 6,16 puncte procentuale mai mult decat detineau in anul de baza in totalul pasivului din acel an. Ca valoare, insa, fondurile proprii au cunoscut o majorare de 268.575 lei in 2007 comparativ cu 2006.
La nivelul datoriilor se poate observa o crestere a ponderii acestora in valoarea totala a pasivului cu 40,82% fata de anul de baza. Se observa ca cea mai dinamica componenta a datoriilor este reprezenta de datoriile pe termen scurt, a caror majorare absoluta a fost de 2.042.045 lei.
Veniturile in avans au conoscut o diminuare, atat ca valoarea absoluta, cat si ca pondere, astfel la nivelul anului 2006 reprezentau 46,98% din total pasiv, iar la nivelul anului 2008, erau egale cu zero.
analiza resurselor umane
Resursele umane ale societatii sunt reprezentate de cei 58 de angajati: 32 absolventi ai Facultatii de Turism, Stiinte Economice, Computere si 14 absolventi ai cursurilor speciale de agenti de turism si ghizi. Anagajatilor permanenti li se adauga si un numar de 34 ghizi autorizati; 14 absolventi ai cursurilor speciale de ticketing (rezervari bilete de avion) IATA in Frankfurt, Budapesta, Londra si Bucuresti si licentiati I.A.T.A. si 12 soferi.
evolutia situatiei nete
S.N. 2006 = 5,944,541 - 1,816,854 = 4,127,687 lei
S.N. 2007 = 5,714,398 - 2,406,637 = 3,307,761 lei
S.N. 2008 = 5,603,925 - 4,000,453 = 1,603,472 lei
In perioada 2006 - 2008 evolutia situatiei nete a agentiei J'Info Tours a fost ascendent descrescatoare, fiind determinata atat de diminuarea activului bilantier, cat si ca urmare a majorarii datoriilor colectate de societate la institutii financiare, furnizori si bugetul de stat.
corelatia Fond de rulment - Nevoie de fond de rulment - Trezorerie neta in perioada 2006 - 2008
|
Nr.crt |
2006 |
2007 |
2008 |
|
|
1 |
Capitaluri proprii |
1,334,897 |
1,220,602 |
1,603,472 |
|
2 |
Datorii pe termen lung |
0 |
168,726 |
141,554 |
|
3 |
Capital permanent(2+1) |
1,334,897 |
1,389,328 |
1,745,026 |
|
4 |
Active imobilizate |
1,218,200 |
1,219,705 |
1,578,081 |
|
Fond rulment |
116,697 |
169,623 |
166,945 |
|
|
5 |
Active circulante |
4,726,341 |
4,494,693 |
4,025,844 |
|
6 |
Disponibil |
1,449,749 |
714,863 |
1,058,644 |
|
7 |
Active circulante-disp |
3,276,592 |
3,779,830 |
2,967,200 |
|
8 |
Oblig pe termen scurt |
4,609,644 |
4,325,070 |
3,858,899 |
|
Nevoie de fond de rulment |
-1,333,052 |
-545,240 |
-891,699 |
|
|
Trezorerie neta |
1,449,749 |
714,863 |
1,058,644 |
Deoarece fondul de rulment este pozitiv in cei trei ani, capitalurile permanente finanteaza o parte din activele circulante, dupa finantarea integrala a activelor imobilizate. Aceasta situatie pune in evidenta fondul de rulment financiar ca expresie a realizarii echilibrului financiar pe termen lung si a contributiei acestuia la infaptuirea echilibrului financiar pe termen scurt.
Nevoia de fond de rulment este negativa ceea ce semnifica un deficit de nevoi temporare, in raport cu resursele temporare posibile de mobilizat.
Trezoreria neta pozitiva este rezultatul intregului echilibru financiar al intreprinderii, excedentul de finantare al acesteia regasindu-se sub forma disponibilitatilor banesti in conturi bancare si in casa.
evolutia soldurilor intermediare de gestiune in perioada 2006 - 2008
|
Soldurile intermediare de gestiune |
2006 |
2007 |
2008 |
|
|
Productia vanduta |
43,264,550 |
47,314,644 |
56,332,698 |
|
|
Variatia stocurilor |
'+' |
0 |
0 |
0 |
|
Productia Exercitiului |
'=' |
43,264,550 |
47,314,644 |
56,332,698 |
|
Cunsumuri provenind de la terti |
'-' |
43,067,798 |
45,193,873 |
54,200,407 |
|
Valoarea Adaugata |
'=' |
196,752 |
2,120,771 |
2,132,291 |
|
Subventii de exploatare |
'+' |
0 |
0 |
0 |
|
Impozite si taxe |
'-' |
83,489 |
42,810 |
120,237 |
|
Cheltuieli personal |
'-' |
822,674 |
1,031,397 |
1,523,324 |
|
Excedent Brut de Exploatare |
'=' |
-709,411 |
1,046,564 |
488,730 |
|
Alte venituri de exploatare |
'+' |
3,245,585 |
105,009 |
283,907 |
|
Amortizare si provizioane |
'-' |
190,506 |
282,668 |
281,147 |
|
Alte cheltuieli de exploatare |
'-' |
880,678 |
129,121 |
83937 |
|
Rezultatul exercitiului |
'=' |
1,464,990 |
739,784 |
407,553 |
|
Venit Financiar |
'+' |
127,999 |
259,113 |
625,975 |
|
Cheltuieli financiare |
'-' |
284,333 |
330,497 |
614,174 |
|
Rezultatul Curent |
'=' |
1,308,656 |
668,400 |
419,354 |
|
Venituri extraordinare |
'+' |
0 |
0 |
202 |
|
Cheltuieli exctraordinare |
'-' |
0 |
0 |
0 |
|
Impozit pe profit |
'-' |
247,604 |
127,931 |
82,952 |
|
Rezultatul Net |
'=' |
1,061,052 |
540,469 |
336,604 |
Evolutia productiei exercitiului (Pe) la agentia J'info Tours in perioada analizata este ascendenta, ca o consecinta direct a majorarii productiei vandute.
La nivelul valoarii adaugate (Va) se poate observa o evolutie ascendenta a acestuia, lucru ce reflecta o crestere a gradului de utilizare a factorilor de productie si a performantei comerciale a intreprinderii, masurand aportul specific al intreprinderii la realizarea productiei sale.
Diminuarea valorii excedentului brut de exploatare, de la finele perioadei de analiza se datoreaza cresterii valorii impozitelor si taxelor, precum si majorarii cheltuielilor cu personalul.
Ca urmare a majorarii cheltuielilor financiare, valoarea rezultatului curent s-a diminuat semnificativ la finele perioadei de analiza, fapt ce va avea implicatii negative si asupra profitului net al societatii.
La nivelul rezultatului net se constata o diminuare semnificativa, ce se datoreaza in primul rand diminuarii rezultatului exploatarii, la nivelul activitatii financiare, modificarile nefiind semnificative.
evolutia ratelor de rentabilitate
Marja de profit (Mp):
Marja de profit (Mp) ne permite sa determinam capacitatea unei companii de a transforma 1 leu in profit dupa ce costurile sale au fost acoperite. La societatea noastra, valoarea este intr-o continua scaderea, ceea ce impune gasirea unor masuri de crestere a eficientei activitatii.
Rata rentabilitatii financiare (Rrf):
Rata rentabilitatii financiare (Rrf) este un indicator care masoara ponderea capitalurilor proprii in valoarea profitului net. Cu cat aceasta valoare este mai mare, cu atat gradul de indatorare al societatii este mai mic.
Rata rentabilitatii economice (Rre) :
Rata rentabilitatii economice (Rre) masoara eficienta resurselor alocate, trebuie sa fie superioara ratei inflatiei si sa permita reinnoirea si cresterea activelor intr-o perioada cat mai scurta.
puncte forte constatate in urma analizei activitatilor organizatiei
|
Nr.Crt. |
Puncte forte |
Cauze |
Efecte |
|
1. |
Constituirea legala a societatii |
Actul unic de constituire al societatii este in conformitate cu prevederile Legii 31/1990 |
Plus de incredere potentialilor clienti, deoarece acestia au certitudinea ca nu vor achita niste sume de bani reprezentand diverse pachete turistice, iar in cazul in care nu vor fi multumiti nu ii vor mai putea gasi pe prestatori |
|
2. |
Peisajul superb al Romaniei |
Existenta tuturor formelor de relief: munte, deal, campie si mare |
Atrage foarte multi turisti straini |
|
3. |
Inexistenta unor cheltuieli cu chiriile |
Toate mijloacele fixe (cladiri , masini) sunt proprietatea firmei |
Cresterea profitului societatii |
|
Relatie de buna colaborare dintre directori si dintre acestia si personalul direct productiv (soferi) |
Echipa de conducere este tanara si dinamica |
Determina intotdeauna gasirea unor solutii optime atat in ceea ce priveste pachetele turistice, cat si conditiile in care se efectueaza transportul (aici fac referire la acele pachete turistice in care transportul se face cu autocarul) |
|
|
Circuit scurt al informatiei |
Numarul redus de salariati |
Benefic pentru echipa de management, ei afland anumite informatii direct de la angajatii ce vin in contact direct cu clientii |
|
|
Utilizarea eficienta a timpului de lucru |
Personal special instruit |
Cresterea productivitatii muncii |
|
|
Calitatea ridicata a pachetelor turistice oferite |
Clientii au fost multumiti de calitatea pachetelor turistice |
Cresterea cifrei de afaceri, cat si a profitului net al exercitiului |
|
|
Solutii optime pentru clienti |
19 ani de traditie si folosirea unei tehnologii moderne |
Obtinerea unor diplome internationale |
deficientele constatate in urma analizei activitatilor organizatiei
|
Nr.Crt. |
Puncte slabe |
Cauze |
Efecte |
|
Slaba promovare a turismului |
Lipsa unei strategii clare pentru redresarea acestui sector strategic |
Numar mic de turisti in anumite zone cu potential turistic ridicat |
|
|
Ponderea mare a salariatilor ce nu au vechime mare in munca |
Salariatii sunt tineri |
Migrare a salariatilor catre alte domenii de activitate. |
|
|
Diminuarea rezultatului curent |
Majorarea cheltuielilor financiare |
Diminuarea profitului net |
|
|
Evolutie descendenta a ratelor de rentabilitate |
Diminuarea profitului |
Grad mare de indatorare |
concluziile si propunerile analistului
Orice societate comerciala prin activitatea desfasurata urmareste obtinerea de profit, profitul fiind cea mai cunoscuta forma de eficienta a activitatii unei societatii. Acest indicator de eficienta se determina ca diferenta intre valoarea totala a veniturilor si cea a cheltuielilor.
O activitate economica este eficienta in conditiile in care veniturile generate sunt mai mari decat cheltuielile efectuate in scopul realizarii acesteia. Compararea efectelor cu eforturile care le-au determinat reprezinta de fapt numai o latura a eficientei economice. Trebuie sa se aiba permanent in vedere si alte elemente cum ar fi: structura resurselor si a rezultatelor (nu trebuie urmarite numai performantele lor per matematice, ci si efectele fata de societate), timpul (ce poate actiona diferit asupra elementelor din structura), calitatea efectelor (rezultatele trebuie sa prezinte reale utilitati sociale).
Agentia J`Info Tours are o experinta de 19 ani pe piata bucuresteana, principalul sau obiectiv fiind gasirea solutiilor optime pentru clientii sai.
In primii cinci ani de activitate, oferta de produse si servicii se reducea la pachete turistice in tara, pentru persoane fizice indeosebi (doar 14% dintre pachetele vandute erau achizitionate de persoanele juridice), insa cu timpul, datorita cererii foarte mari de pachete turistice business, oferta s-a diversificat si a culminat in anul 2000 cu creare unui departament specializat in vanzarea de produse destinate agentilor economici si oamenilor de afaceri.
Societatea a avut o evolutie normala din punct de vedere al produselor si serviciilor oferite, echipa sa manageriala fiind apta de a se adapta schimbarilor din piata.
In octombrie 2000, J'Info Tours a semnat un parteneriat cu firma britanica HRG - liderul mondial in 'Travel Management', oferind solutii complete de calatorie pentru companii nationale si multinationale.
Privind cifrele furnizate de bilant si contul de profit si pierdere pe ultimii trei ani, se poate observa o diminuare a profitului societatii ca urmare a cheltuielilor generate de noile investitii: Pensiunea Valea Argintilor si Casa de Lago.
La nivelul activului societatii, in perioada analizata nu se inregistreaza modificari ce ne-ar putea trage un semnal de alarma, imobilizarile corporale majorandu-se ca urmare a celor doua investitii, singurul element ce a determinat diminuarea acestuia fiind cheltuielile in avans. In pasivul societatii regasim sursele de finantare ale activului si putem concluziona ca acestea au fost achizitionate in urma contractarii unor noi credite bancare.
La nivelul anului 2007, valoarea tuturor indicatorilor de echilibru era negativa, lucru ce indica clar nu lipsa resurselor ci proasta lor corelarea, ceea ce ar fi dus la un moment dat la incapacitatea de plata a partenerilor furnizori de servicii, insa la nivelul anului 2008, situatia s-a schimbat radical, fondul de rulment inregistrand valori pozitive, deci capitalurile permanente finanteaza o parte din activele circulante, dupa finantarea integrala a activelor imobilizate.
Tinand cont de evolutia societatii din perioada de analiza si de analiza SWOT, am considerat oportun sa propun implementarea SMQ.
Auditul de constatare
Auditul urmareste sa verifice modul in care managementul actual al intreprinderii reuseste sa functioneze in mod eficient.
Se pleaca de la premisa ca pentru realizarea unui sistem al calitatii viabil si usor de receptat si aplicat de catre intregul personal, este utila valorificarea experientei deja existente in firma. Ca urmare, obiectivele urmarite in cadrul auditului de constatare sunt:
identificarea sistemului real de lucru si compararea acestuia cu cerintele standardului de referinta;
identificarea elementelor tehnico-organizatorice si a practicilor curente care pot constitui germenii viitorului sistem de calitate;
identificarea situatiilor neconforme fata de cerintele standardului de referinta;
identificarea punctelor critice ale fluxului de activitati, care pot provoca intarzieri, deficiente etc. si deci implica costuri suplimentare;
analiza calitatii resurselor umane si materiale existente;
analiza sistemelor de inregistrare si evidenta existente
Pentru realizarea auditului, echipa de auditare trebuie sa-si elaboreze un program de audit. Programul contine planul de audit, misiunile echipei si documentele de lucru.
In domeniul serviciilor, auditul are ca obiectiv evaluarea conformitatii caracteristicilor de calitate ale unui serviciu cu specificatiile din documentul de referinta sau cu cerintele exprese ale clientului si se bazeaza pe procedurile sistemului de calitate, normative, specificatii, documentatia de executie, mijloace de executie.
Auditul vizeaza si evaluarea eficientei masurilor de asigurare a calitatii serviciului.
Etapele auditului conform standardului ISO 19011:2003 sunt:
1.Declansarea auditului - presupune stabilirea obiectului auditului, frecventa acestuia si examinarea preliminara.Obiectul auditului va fi serviciul agentiei J'Info Tours.
2.Pregatirea auditului - presupune elaborarea planului de audit, organizarea echipei, stabilirea documentelor de lucru care vor fi utilizate pe parcursul desfasurarii auditului.
3.Efectuarea auditului - presupune parcurgerea urmatoarelor activitati: sedinta de deschidere, auditarea, sedinta de incheiere.
4.Elaborarea si gestionarea documentelor
Principalul document cu care se incheie auditul este raportul de audit.
5.Incheierea auditului
|
Agentia J'Info |
PLAN DE AUDIT |
Nr.1/cod RRR Data 15/11/09 |
|||||
Pag. |
|||||||
|
Departamentul ( codul RRR) |
|||||||
|
Obiectivele auditului: 1. Evaluarea conformitatii managementului calitatii cu standardul SR EN ISO 9001:2008 si cu celelalte documente de referinta; 2.Analiza eficientei SMQ in realizarea obiectivelor calitatii. (verificarea documentelor SMQ, rezolvarea neconformitatilor constatate la auditul intern precedent. |
|||||||
|
Conducatorul echipei de audit:Mihai Cristina Auditori: C.N., A.T., Reprezentantul compartimentului auditat: Aurel Pavel |
|||||||
|
Documente de referinta: |
Standard SR EN ISO 9001:2008 |
||||||
|
Manualul calitatii /Proceduri |
|||||||
|
Alte documente de referinta fata de care se evalueaza conformitatea
|
|||||||
|
Perioada de audit: | |||||||
|
Raport de audit: |
Data estimata de predare: 26-11-09 |
||||||
|
Difuzare ex. 1: Departamentul de Management al calitatii |
|||||||
|
Difuzare ex. 2: Conducerea compartimentului auditat |
|||||||
|
Sedinta de deschidere cu conducerea compartimentelor auditate |
Data si ora: 20/11/09/ 10,00; |
||||||
|
Locul (sala): sala de sedinte |
|||||||
DESFASURARE AUDIT |
|||||||
|
Data si ora |
Compartiment/Elementul SMQ auditat |
Auditor |
Reprezentant auditat |
||||
|
Sedinta de deschidere Sistemul de management al calitatii (aspecte generale, documentatia S.M.Q - 4.1; 4.2; 4.2.3; 4.2.4) Responsabilitatea managementului 5.1c,d,e; 5.4.1;5.5.2; 5.6) Managementul resurselor Sedinta intermediara. Comunicarea rezultatelor reprezentantului compartimentului auditat Procesele de invatamant/cercetare Evaluarea, analiza si imbunatatirea rezultatelor Sedinta de inchidere |
Echipa C.N. M.C. A.T. Echipa C.N. M.C. Echipa |
Conducerea compartimentului auditat Reprezentantul compartimentului auditat Conducerea compartimentului auditat |
|||||
|
Sedinta de inchidere cu conducerea compartimentelor auditate |
Data si ora: 23/1 |
||||||
|
Locul (sala): sala de sedinte |
|||||||
Seful compartimentului auditat (semnatura)
Aurel Pavel
Seful echipei de audit (semnatura)
Cristina Mihai
Profil de conformitate al SMQ initial din agentia J'Info Tours

Legenda:
1.Sistem de management al calitatii
2.Responsabilitatea managementului
3.Managementul resurselor
4.Realizarea produsului
5.Masurare, analiza si imbunatatire
Diagrama polara: Responsabilitatea managementului

Legenda:
1.Angajamentul managementului
2.Orientarea catre client
3.Politica referitoare la calitate
4.Planificare
5.Responsabilitate, autoritate si comunicare
Stabilirea RMC si a responsabililor cu calitatea pe principalele compartimente
Printr-o dispozitie emisa de directorul general, se numeste directorul cu calitatea pe organizatie. Acesta este unul dintre directori sau dintre membrii CA.
In cazul agentiei J'Info Tours directorul cu calitatea pe organizatie este Aurel Pavel.
La nivelul principalelor compartimente din organigrama, se numesc responsabili cu calitatea. In cazul agentiei J'Info Tours, responsabilii cu calitatea sunt directorii fiecarui compartiment.
Instruirea managementului de varf, a managerilor de la nivel mediu cu privire la sistemul de management al calitatii si standardele ISO
Instruirea tuturor salariatilor cu privire la cerintele standardelor si ale SMQ
Identificarea proceselor si a interactiunilor dintre acestea
In standardul ISO 9001:2008, abordarea tip proces recomanda organizatiilor sa identifice, implementeze, sa conduca si sa imbunatateasca permanent eficienta proceselor care sunt necesare sistemului de management al calitatii si sa conduca interactiunea acestora in scopul indeplinirii obiectivelor organizatiei
Abordarea tip proces are ca tinta indeplinirea unui ciclu dinamic al imbunatatirii continue si permite castiguri semnificative pentru organizatie. Totodata, o asemenea abordare faciliteaza focalizarea catre clienti si cresterea satisfactiei acestora, prin identificarea proceselor cheie din organizatie si dezvoltarea lor ulterioara in directia imbunatatirii continue.
Rezultatul dorit este asadar mai sigur si de un nivel superior daca activitatile desfasurate in acest scop se realizeaza ca proces. Interactiunile activitatilor unei organizatii sunt complexe si genereaza o retea de procese. Abordarea pe baza de proces presupune tocmai identificarea acestor procese, pe care trebuie sa le implementeze, sa le tina sub control si sa le imbunatateasca continuu eficienta. Lantul de procese include procese ale managementului, procese de realizare a lucrarilor si procese suport, precum si procese de monitorizare si de masurare.
Abordarea prin proces impune si folosirea ciclului PDCA, care este strans asociat cu planificarea, implementarea, controlul si imbunatatirea continua a executarii prestatiilor, precum si a celorlalte procese din Sistemul de management al calitatii.
Cererile cetatenilor si a altor parti interesate pot fi realizate numai prin functionarea corecta a proceselor interne. Satisfacerea cerintelor clientilor cu cheltuieli minime se poate infaptui numai daca procesele sunt controlate astfel incat rezultatele lor sa fie adecvate de prima data.
In determinarea modului in care se poate realiza controlul fiecarui proces este necesar sa fie parcurse urmatoarele etape:
intelegerea modelului de proces si aplicarea sa;
intelegerea factorilor care produc variabilitatea intr-un proces, intrucat controlul variabilitatii reprezinta calea de realizare a unui produs conform;
intelegerea modului de identificare si controlare a proceselor;
documentarea proceselor si a controlului in cadrul afacerii, permit operatorilor sa se asigure ca procesele sunt stapanite in mod efectiv.
Identificarea proceselor necesare Sistemului de management al calitatii si aplicarea acestora poate porni de la urmatoarele intrebari:
Care sunt procesele necesare pentru sistemul de management al calitatii?
Exista procese subcontractate ?
Care sunt intrarile si iesirile fiecarui proces?
Cine sunt clientii acestor procese si care sunt cerintele lor?
Exista un responsabil de proces ?
Determinarea interactiunilor dintre procese se poate stabili pe baza raspunsurilor la urmatoarele intrebari:
Care este fluxul general al proceselor (harta proceselor)?
Care sunt interfetele intre procese?
Ce documentatie este necesara ?
Pentru stabilirea criteriilor si metodelor prin care se poate demonstra ca atat operarea, cat si controlul asupra acestor procese sunt efective, trebuie sa gasim raspunsul la urmatoarele intrebari:
Care sunt caracteristicile rezultatelor procesului?
Care sunt criteriile pentru monitorizare, masurare si analiza?
Cum pot fi incluse aceste criterii in sistemul de management al calitatii si in procesul de executare a lucrarilor ?
Ce metode sunt adecvate pentru colectarea datelor?
Pentru asigurarea resurselor si informatiilor necesare sprijinirii operarii si monitorizarii acestor procese recomandam sa se porneasca de la raspunsul la urmatoarele intrebari:
Care sunt resursele necesare fiecarui proces?
Care sunt canalele de comunicare ?
Cum se pot furniza informatii despre procese?
Cum se obtine feedback-ul ?
Ce date trebuie colectate si ce inregistrari trebuie pastrate?
Masurarea, monitorizarea si analiza proceselor se bazeaza pe cunoasterea raspunsurilor la intrebarile:
Cum se pot monitoriza performantele proceselor (satisfactia clientului)?
Ce masuratori sunt necesare ?
In ce mod pot fi analizate cel mai bune informatii rezultatele (ce tehnici statistice se pot folosi) ?
Care sunt concluziile rezultate din analize?
Implementarea actiunilor necesare pentru indeplinirea obiectivelor planificate si imbunatatirea continua, presupune sa cunoastem:
Cum se poate imbunatatii procesul ?
Ce actiuni corective sau preventive trebuie luate ?
Sunt aceste actiuni eficiente si se pot implementa?
Fig. 1 Activitati
cu valoare adaugata
Informatii
Scolarizarea auditorilor
Se face de catre organismele de certificare, ASRO, alte organisme abilitate.
Scolarizarea presupune participarea la cursurile acestor organisme, insumand 40 de ore, in care se predau elemente de teorie si se prezinta studii de caz.
In urma absolvirii acestui curs participantii primesc un certificat de auditor intern, valabil trei ani,dupa care trebuie sa fie recertificat.
Pentru a obtine certificatul de auditor extern mai trebuie sa participe la cinci contracte de certificare,intr-un organism de certificare, sub indrumarea unui membru al acestuia.
DOCUMENTELE SISTEMULUI DE MANAGEMENT AL CALITATII
Etapele procesului de elaborare a documentelor SMQ:
Principalele activitati care se desfasoara pentru elaborarea documentelor sistemului de management al calitatii sunt:
Instruire pentru cunoasterea cerintelor privind documentele sistemul de management al calitatii;
obtinerea informatiilor despre sistemul de management al calitatii, procesele existente si interactiunea dintre acestea;
analiza documentelor existente si adaptarea acestora la cerintele sistemului;
instruirea personalului implicat in elaborarea documentelor;
folosirea unor surse de documentare suplimentare ( de exemplu legislatia);
stabilirea structurii si formei de prezentare a documentelor;
elaborarea documentelor (se elaboreaza mai intai diagrama de flux, respectiv schema logica de desfasurare a procesului);
analiza diagramelor, imbunatatirea si implementarea acestora;
validarea documentatiei printr-o implementare de proba;
finalizarea continutului si formei documentelor;
analiza documentatiei finale si aprobarea

Elaborarea documentatiei sistemului de calitate presupune: asistenta pentru elaborarea politicii si obiectivelor calitatii, elaborarea Manualului calitatii, asistenta in elaborarea procedurilor si instructiunilor de lucru.
Principalele documente ale sistemului de management al calitatii si modul de intocmire sunt prezentate in standardul ISO TR 10013: 2003 - Ghid pentru documentatia sistemului calitatii. Referiri la documente se fac si in standardele ISO 9000 si ISO 9001. Aceste standarde acorda o importanta mare elaborarii si administrarii documentelor specifice sistemului de calitate, deoarece documentele sunt o dovada tangibila ca procesele au fost definite, procedurile au fost elaborate si aprobate, iar modificarile sunt tinute sub control. De asemenea, existenta acestor documente este obligatorie pentru aprecierea conformitatii sistemului calitatii cu standardul de referinta si confirmarea implementarii efective a sistemului ( este cazul, de exemplu, a auditului intern de calitate).
Rolul documentelor pentru implementarea si aplicarea sistemului de calitate intr-o organizatie consta in:
- obtinerea conformitatii cu prevederile din referentialul, stasuri etc;
- asigurarea instruirii salariatilor pentru cunoasterea modului de aplicare a sistemului de calitate;
- asigurarea repetabilitatii si trasabilitatii;
- furnizeaza dovezi obiective cu privire la aplicarea sistemului calitatii.
Amploarea documentatiei pentru o organizatie, difera in functie de marimea si obiectul activitatii, complexitatea proceselor si interactiunea acestora, pregatirea personalului etc.
Conform standardului ISO 10013, documentele unui sistem de management al calitatii sunt:
Politica si obiectivele referitoare la calitate
Manualul calitatii
Procedurile documentate (de sistem) cerute de standardele de referinta
Procedurile operationale ( de lucru)
Instructiunile de lucru (formulare, planurile calitatii, specificatii etc.)
Inregistrari
Documentatia sistemului calitatii este esentiala pentru:
Realizarea unor produse de calitate corespunzatoare cerintelor
Evaluarea sistemului calitatii
Imbunatatirea proceselor intreprinderii si rezultatelor acestora
Documentatia sistemului calitatii permite evaluarea desfasurarii activitatilor curente si a rezultatelor acestora, facilitand masurile corective sau de imbunatatire necesare.
Documentele utilizate pentru definirea si implementarea sistemului calitatii intr-o intreprindere pot fi structurate ierarhic, pe trei niveluri principale.
In fig. urmatoare se prezinta documentele sistemului de management al calitatii intr-o ierarhizare piramidala , corespunzator cu importanta acestora:

Politica si obiectivele calitatii
Este o declaratie in care se prezinta directiile si obiectivele ce vor fi urmarite de catre organizatie in domeniul calitatii. Declaratia include si angajamentul managerului privind implicarea sa totala in aplicarea sistemului de calitate, inclusiv prin asigurarea resurselor necesare.
Pentru elaborarea politicii calitatii, Comitetul 11 al Organizatiei Europene pentru Calitate a elaborat o directiva, care poate constitui un document orientativ foarte util pentru conducerile organizatiilor. Directiva prevede ca, in general, politica calitatii se elaboreaza de sus in jos, pe baza politicii generale a organizatiei stabilita de managementul acestuia.
Apoi se deruleaza printr-un proces iterativ la toate nivelurile ierarhice, unde managerii acestor niveluri o interpreteaza si isi formuleaza obiectivele ce trebuie indeplinite de fiecare compartiment, astfel incat politica si obiectivele generale ale organizatiei sa fie realizate.
Directiva mentioneaza si posibilitatea elaborarii politicii calitatii de jos in sus. Aceasta depinde insa de cultura organizatiei, respectiv de nivelul de cultura si pregatirea profesionala a salariatilor, ca si de posibilitatile de instruire si de stimulare a acestora, pe care le poate oferi conducerea organizatiei.
De asemenea, directiva precizeaza ca politic calitatii trebuie controlata pentru a fi actualizata ori de cate ori este necesar. In acest scop pot fi luate in considerare rezultatele auditurilor efectuate, ale analizelor de management, schimbarile de mediu etc. De regula politica calitatii se revede anual.
Politica se prezinta in scris si trebuie sa indeplineasca urmatoarele cerinte:
- sa fie concisa si usor de retinut;
- sa se defineasca ce se asteapta de la salariati;
- sa fie globala, adica sa se refere la toate aspectele fundamentale ale calitatii.
La agentia J`Info Tours comisia de calitate a stabilit politica si obiectivele calitatii:
,, Sa asigure satisfactii depline, prompte si responsabile clientilor pentru serviciile prestate si dezvoltarea economica, sociala si culturala a agentiei la un nivel care sa o situeze pe primele locuri in ceea ce priveste cota de piata".
Obiectivele calitatii sunt urmatoarele:
indeplinirea tuturor cerintelor explicite si implicite ale clientilor prin respectarea procedurilor de calitate stabilite;
dezvoltarea economica si incurajarea mediului de afaceri;
protectia mediului inconjurator;
implicarea totala a salariatilor in actiunile de imbunatatire a calitatii;
situarea pe primele locuri in ceea ce priveste cota de piata.
Toate aceste obiective au fost insusite la nivelul functiilor principale din cadrul agentiei J`Info Tours si realizarea lor va fi urmarita riguros in analizele de management efectuate periodic. Documentele sistemului de management al calitatii au fost elaborate prin participarea directa a Comisiei de calitate constituita, ceea ce a asigurat constientizarea personalului pentru respectarea cerintelor sistemului de calitate si atasamentul pentru indeplinirea politicii si obiectivelor calitatii propuse.
Manualul calitatii
Este un document unic, specific fiecarei organizatii, in care sunt descrise standardul de referinta si sistemul de calitate implementat.
De regula, manualul calitatii are forma unui dosar, la care pe coperta se trece titlul si obiectul manualului, iar in interior se prezinta continutul care include cuprinsul, unde se indica: numarul si titlul capitolului, pagina, numele si semnatura celui care a elaborat manualul, modificarile efectuate, angajamentul managementului si politica de calitate, obiectivele, referiri la proceduri.
De asemenea, se face o scurta prezentare a organizatiei, sunt prezentate responsabilitatile si regulamentul de functionare, documentele de referinta pentru aplicarea sistemului de calitate, se prezinta lista documentelor la care se fac referiri in manual dar nu sun cuprinse in acesta (de exemplu standardul).
Cuprinsul mai contine prezentarea sistemului de management al calitatii, unde sunt descrise toate procesele realizate in organizatie si interactiunea dintre acestea, dispozitii referitoare la analiza, actualizarea si administrarea manualului calitatii, abrevieri, anexe cu lista procedurilor si instructiunilor etc.
Intrucat la efectuarea auditului de calitate, manualul este folosit ca document de analiza a modului in care au fost indeplinite cerintele standardului de referinta, este recomandat ca manualul sa fie structurat pe capitolele din standard si sa se arate cum se realizeaza fiecare capitol.
Prezentarea structurii manualului calitatii unei organizatii:
Cuprinsul manualului
Cap. I- Generalitati
In cuprinsul acestui capitol se regasesc:
declaratia managerului;
administrarea manualului calitatii;
lista de difuzare a manualului calitatii;
terminologie; documente de referinta;
fisa de inregistrare a modificarilor;
fisa de evidenta a editiilor manualului calitatii;
Cap. II- Prezentarea organizatiei
Cap.III - Descrierea sistemului calitatii
politica in domeniul calitatii;
responsabilitati si autoritate in domeniul calitatii;
documentele sistemului calitatii;
organizarea activitatilor referitoare la calitate;
analiza calitatii efectuata de conducerea organizatiei
Cap. IV- Elementele sistemului calitatii corespunzator modelului ales ca referinta.
Anexe:
proceduri
instructiuni de lucru
alte documente ale calitatii
Fiecare capitol din manual este prefatat de o pagina de garda semnata de
conducerea organizatiei si de seful compartimentului ,,Calitate". Capitolul are un cuprins care indica codul si denumirea sectiunilor. Capitolele sunt paginate separat, fiecare pagina fiind identificata prin numar, editie curenta si data editiei. Pagina de garda a fiecarui capitol se reface cu ocazia modificarilor care se fac in cuprinsul capitolului. De asemenea, pagina de garda a manualului si cuprinsul se reediteaza la fiecare modificare facuta in manual.
Redactarea si administrarea manualului calitatii
Este recomandat ca manualul sa fie elaborat de catre organizatie cu forte proprii. Aceasta cale prezinta avantajul unei mai bune cunoasteri a situatiei din interiorul organizatiei, obiectivele pornesc din dorintele salariatilor si astfel va exista o mai buna motivare din partea personalului pentru realizare acestora. Responsabilitatea redactarii si administrarii revine de regula sefului compartimentului ,,Calitate"
In situatia elaborarii manualului de catre seful compartimentului ,,Calitate", acesta va retine originalul manualului si o copie pe care se vor face modificarile pentru actualizare. Celelalte copii sunt difuzate, sub un control strict, compartimentelor interesate.
Administrarea manualului calitatii se realizeaza de compartimentul ,,Calitate" prin revizii periodice. Orice modificare ulterioara este inscrisa intr-un document de modificare aprobat de seful calitatii si de conducerea de varf a organizatiei. Modificarile facute cu ocazia reviziilor periodice vor fi incluse in modificarile rezultate in urma reviziilor anuale ale manualului.
Avantajele manualului calitatii:
Ø faciliteaza intelegerea unitara a politicii calitatii
Ø asigura coerenta politicii calitatii si a obiectivelor generale
Ø defineste structura organizatorica si responsabilitatile diferitelor entitati functionale, privind realizarea si imbinarea calitatii facilitand realizarea obiectivelor calitatii
Ø imbina comunicarea in interiorul organizatiei precum si comunicarea cu clientii
Ø asigura instruirea unitara a personalului intreprinderii privind elementele sistemului calitatii
Ø asigura accesul imediat la documentele sistemului calitatii si faciliteaza gestionarea acestora
Ø serveste ca document principal pentru auditul (intern si extern) al calitatii
Procedura
Prin procedura se intelege un mod specific de a executa o activitate sau un proces. Documentul care contine procedura este denumit ,,document de procedura". Rolul procedurilor in managementul calitatii este de a reglementa activitatile importante pentru calitate, astfel incat acestea sa poata fi masurabile si tinute sub control. Se poate aprecia ca procedurile sunt si un instrument important prin care organizatiile isi pot identifica situatia in domeniul calitatii si instrui salariatii pentru realizarea cerintelor sistemului calitatii.
Procedurile pot fi prezentate in scris, cand sunt denumite proceduri scrise sau fundamentate si sunt folosite pentru descrierea proceselor care trec prin mai multe zone de lucru (deci prin mai multe activitati). Cele sase proceduri documentate prevazute in standard sunt: controlul documentelor; controlul inregistrarilor; audituri interne; controlul produsului neconform; actiuni corective; actiuni preventive. Pentru prezentarea activitatilor care se desfasoara intr-o singura zona (o singura activitate) se folosesc procedurile de lucru. Procedurile se mai clasifica in proceduri de sistem, proceduri operationale de incercare, proceduri de inspectie etc
Forma de prezentare a procedurilor poate fi literara, logigrama etc., in functie de specificul organizatiei si al procesului descris.
Prima pagina a unei proceduri contine, in general, urmatoarele informatii: titlul, codul, numele si semnatura celor care au intocmit-o si au aprobat-o, numarul exemplarului, editia si data acesteia. In ceea ce priveste cuprinsul, asa cum se recomanda in standardul ISO 10013:2003, o procedura fundamentata trebuie sa contina: referiri la politica calitatii, scopul (de ce a fost scrisa), obiectul (descrierea domeniului pe care il acopera), responsabilitati, metode folosite, documente de referinta, inregistrari, anexe etc. In procedura se definesc elementele de intrare-iesire si, foarte important, cum se masoara caracteristicile elementelor de proces si indicatorii de performanta folositi in acest scop. De asemenea, se mentioneaza metodele de tinere sub control a proceselor si modul de identificare a documentelor, necesitatile organizatie pentru resurse etc.
Conform modelului de abordare bazat pe proces, promovat de Standardul ISO 9001:2008, procesele sunt clasificate pe trei categorii:
- procese principale, sunt acele procese care adauga valoare direct clientului extern:

procese suport, care adauga valoare pentru clientul intern si ajuta la desfasurarea activitatii.
procese manageriale, care includ cerintele obligatorii ale standardului.
Toate procedurile sunt gandite prin prisma ciclului P-D-C-A.

Logigrama: Pachete de servicii pentru persoane fizice
|
Cine? |
Ce? |
Cum? |
Unde? |
|
Suc: agent de turism |
Informare client |
Instructiuni de lucru (documente) |
Inregistrari |
|
Suc: agent de turism, client |
Completare documente | ||
|
Suc: agent de turism, client |
Acordarea pachetului de serviciu de catre agentie concomitent cu plata pachetului de serviciu de catre client | ||
|
Centrala: Directorul agentiei |
Monitorizare | ||
|
Centrala: Directorul agentiei |
Imbunatatire | ||
|
Centrala: Directorul agentiei |
Proiectare/dezvoltare |
Alte documente ale sistemului calitatii
Documentele prezentate mai inainte sunt fundamentale (parti componente) pentru sistemul de management al calitatii. Dar, pentru functionarea corespunzatoare si mai cu seama pentru a putea demonstra conformitatea produselor cu cerintele specificate si a verifica eficienta sistemului, este necesara tinerea la zi si a unor documente de inregistrare a observatiilor referitoare la calitate, cum sunt: instructiuni de lucru, proceduri si instructiuni de inspectie, de incercare, fise tehnologice, desene.
Inregistrarile se fac in legatura cu receptia produsului, serviciului, cu ocazia inspectiilor si incercarilor, in legatura cu comportarea produsului in perioada de garantie si post-garantie si se pastreaza pe un termen stabilit pentru a se demonstra conformitatea cu cerintele beneficiarului si a faptului ca sistemul calitatii implementat de organizatie este functional. Inregistrarile trebuie sa indice conformitatea cu sistemul de calitate si cu cerintele specificate pentru produs. Inregistrarile nu se revizuiesc.
Existenta tuturor acestor documente se concretizeaza si intr-o serie de avantaje pentru organizatie. Documentele reprezinta o sursa importanta de informatii fundamentate, cu privire la activitatile desfasurate in vederea asigurarii calitatii, care pot fi prezentate persoanelor interesate pentru a le asigura increderea ca organizatia poseda abilitatile necesare realizarii produselor in conformitate cu cerintele utilizatorilor.
De asemenea, documentele faciliteaza comunicarea in interiorul organizatiei, in special cu privire la modul in care salariatii si-au indeplinit sarcinile pentru imbunatatirea continua a calitatii si realizarea unui feed-back intre conducere si angajati.
Implementarea sistemului de calitate si evaluarea conformitatii acestuia cu cerintele Standardului ISO 9001:2008
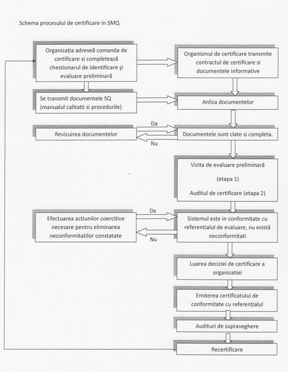
Certificarea SMQ
Valorificandu-se experienta acumulata in tarile Vest Europene in domeniul certificarii, conformitatii si acreditarii organismelor implicate, in Romania a fost definit in anul 1992 cadrul legal al constituirii si functionarii Sistemului National de Certificare.
Acest sistem cuprinde ansamblul organismelor de certificare a produselor si serviciilor, organisme ce certifica atat sisteme de calitate cat si produse si servicii.
Acreditarea organismelor de certificare si laboratoarelor se desfasoara potrivit ordonantei guvernamentale care defineste infrastructura pentru certificarea calitatii ca fiind ansamblul organismelor care efectueaza incercari, etalonari, certificari de produse, de personal, de sisteme ale caitatii, de sisteme ale managementului de mediu, de inspectii.
Potrivit standardului sau, RENAR acrediteaza laboratoarele, organizatiile care desfasoara activitati in domeniul calitatii precum si sistemele de calitate, personalul, organismele de certificare a sistemelor de calitate.
Dintre cele 26 de organisme de certificare romanesti se remarca Societatea Romana pentru Asigurarea Calitatii ( SRAC ). Aceasta este o asociatie nonguvernamentala, independenta, cu scop nelucrativ care a fost acreditata de Institutul Roman de Standardizare ca organism de certificare a sistemelor de calitate din 1996.


Definirea actiunilor corective, asistenta la analiza de management si auditul intern de constatare a implementarii SMQ
|
Politica de confidentialitate | Termeni si conditii de utilizare |
Vizualizari: 4134
Importanta: ![]()
Termeni si conditii de utilizare | Contact
© SCRIGROUP 2025 . All rights reserved