| CATEGORII DOCUMENTE |
| Comunicare | Marketing | Protectia muncii | Resurse umane |
Masurarea marimilor folosite in calculul bilanturilor energetice
Masurarea marimilor electrice
Pentru efectuarea masuratorilor, in vederea determinarii marimilor din structura unui bilant electroenergetic, trebuie indeplinite urmatoarele conditii:
- intocmirea unei scheme monofilare a intregii instalatii si cunoasterea caracteristicilor cablurilor, barelor, motoarelor si a altor categorii de consumatori;
- fixarea punctelor de masurare a consumurilor de energie;
- pregatirea aparatelor si realizarea schemelor de masurare a marimilor din structura de bilant;
- montarea unui set minim de aparate de masura la nivelul tablourilor de distributie;
- aplicarea masurilor de protectia muncii in instalatiile unde se executa masuratorile si instruirea echipei de lucratori, care preiau sarcina finalizarii masuratorilor legate de intocmirea bilantului energetic;
- masuratorile se fac pentru o zi caracteristica din luna cu cele mai mari consumuri de energie. Marimile de masurat se citesc din ora in ora pe cele trei schimburi de lucru ale sectiei din conturul de bilant analizat. Masurarea marimilor se face fie direct, fie indirect. Dupa determinarea marimilor din proces, se calculeaza valoarea lor medie si valoarea medie patratica.
Alegerea aparatelor de masura si a celorlalte elemente din schema construita pentru masuratori se face in ideea ca, aparatajul selectat sa reziste solicitarilor mecanice si a influentelor mediului unde va lucra. Pentru alegerea aparatelor din schema de masura, trebuie verificat gradul de precizie si factorul de calitate ale aparatelor sau dispozitivelor de citire si extensia i; scarii, in asa fel incat sa cuprinda gama marimilor ce se masoara.
Clasa de precizie a aparatelor de masura exprima eroarea tolerata la masuratori, in procente din indicatia maxima aparatului de masurat.
Pentru aparatele electrice exista cinci clase de precizie si anume: clasa 0,2 cu eroare tolerata 0,2% din scara de masura; clasa 0,5 cu eroarea 0,5%; clasa 1 cu eroarea 1%; clasa 1,5 cu eroarea 1,5%; clasa 2,5 cu eroarea 2,5%. Aparatele din clasa 0,1 si 0,2 sunt utilizate pentru masuratori de precizie in laborator sau pe platforme de incercari. Aparatele din clasele 0,5 si 1 sunt utilizate pentru masuratori curente de control. Aparatele din clasa 1,5 si 2,5 sunt utilizate ca aparate de tablou. Factorul de calitate cel mai mare il au aparatele cu magnet permanent, dupa care urmeaza aparatele electrice electrodinamice, electromagnetice si de inductie.
Punerea la zero a aparatelor este obligatorie pentru clasele de precizie 0,2 si 0,5. Consumurile proprii tehnologice variaza intre 0,2 20 VA. Limita superioara de consum se regaseste la voltmetre si wattmetre, iar limita inferioara a consumului apare in cazul ampermetrelor magnetoelectrice.
Daca in instalatie exista transformatoare de masura, atunci trebuie cunoscute erorile de raport pentru curent, respectiv pentru tensiune si erorile de unghi. O atentie deosebita trebuie data modului in care se leaga transformatorul de masura in retea.
Conditiile preliminare pentru realizarea unor masuratori precise se refera la: asezarea aparatelor in pozitia lor de etalonare, punerea la zero a acului indicator, aburirea geamului aparatului pentru a evita influenta sarcinii electrostatice ce se poate forma prin eventualele frecari in timpul transportului, curatirea tuturor fiselor de la rezistentele de precizie si montarea lor prin presare in locasurile respective, montarea corecta in circuitul supus masuratorilor a tuturor aparatelor si in special a contoarelor de energie, mai ales in situatii cand in schema figureaza transformatoare de masura, ferirea tuturor aparatelor de influenta campurilor electrice si magnetice exterioare, prin asezarea lor la o departare apreciabila de masinile electrice, transformatoare si condensatoare electrice, prin care circula curenti intensi.
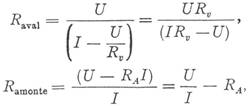
a) Relatiile de calcul ale rezistentelor de masurat au urmatoarea structura:

(8.156)
in care U este tensiunea indicata de voltmetru, in V; / - curentul indicat de ampermetre, in A; Rv - rezistenta voltmetrului, in W; RA - rezistenta ampermetrului, in W
Montajul in aval se recomanda pentru masurarea rezistentelor sub 10 O, iar cel in amonte pentru rezistente mai mari ca 10 ohmi. Erorile de masura sunt in ambele cazuri sub 1%.
Metoda de comparatie permite compararea a doua rezistente, una cunoscuta, R0, cu alta necunoscuta, Rx, montate fie in serie, fie in paralel. Cu ajutorul unui voltmetru se masoara succesiv tensiunea la bornele rezistentei cunoscute, U0, si respectiv la bornele rezistentei necunoscute Ux.
Daca se masoara curentii cu doua ampermetre, se obtin I0 si lx. Relatiile de calcul al rezistentei Rx au urmatoarea structura:
![]()
Pentru masurarea rezistentelor de izolatie, care au valori ce ating 1010 W, se utilizeaza ohmetre sau megaohmetre. Ohmetrele care se recomanda pentru rezistente de izolatie pana la 104 W sunt inzestrate cu scheme interioare tip serie, iar pentru rezistente pana la 102 W, se utilizeaza ohmetre cu scheme interioare in derivatie.
Precizia acestor aparate in zona mijlocie a scarii este de 0,5 2% exprimata in procente din lungimea totala a scarii. Megaohmetrele se construiesc cu scheme interioare de tip serie si au ca sursa interioara un magnetou care furnizeaza o tensiune de 500 2 500 V. Pentru masurarea rezistentelor de izolatie mai mari ca 1010 W, se utilizeaza aparate cu amplificatoare electronice denumite teroohmetre.
Masurarea rezistentei electrolitilor se realizeaza, in practica, cu metoda ampermetrului si voltmetrului, iar in laborator cu ajutorul puntii Kohlrausch.
b) Masurarea inductantelor si a capacitatilor se realizeaza cu ajutorul urmatoarelor metode: metoda de punte (Wheatstone, Santy, Wien, Schering, Maxwell, Andreson, Soper, Carey-Foster), metoda comparatiei (metoda galvanometrului balistic, metoda Felici), metoda ampermetrului si voltmetrului si metode bazate pe aparate speciale denumite Faradmetre sau microfaradmetre.
Relatiile de calcul ale capacitatilor si ale inductantelor proprii, respectiv ale celor mutuale, au urmatoarea forma:
l
(8.158)
in care R reprezinta rezistenta bobinei, in H.
c) Masurarea tensiunilor si curentilor in practica industriala se realizeaza cu ajutorul voltmetrelor si respectiv a ampermetrelor. Masurarea tensiunilor alternative mici se efectueaza cu aparate cu termocuplu sau cu redresori uscati. Masurarea tensiunilor mijlocii 600 750 V se realizeaza cu voltmetre de diverse clase de precizie.
Dintre tipurile de voltmetre existente, se utilizeaza mai frecvent in practica urmatoarele: voltmetre electromagnetice pentru masurari curente, voltmetre electrodinamice pentru masurari cu precizie mai mare, voltmetre electrostatice care permit efectuarea masuratorilor fara consum de curent, voltmetre termice pentru masurarea tensiunilor nesinusoidale, voltmetre de inductie si voltmetre electronice. Daca in reteaua examinata in cadrul bilantului, exista tensiuni inalte, atunci, in schema de masura, se utilizeaza transformatoare de tensiune pe secundarul carora se monteaza voltmetrul pentru determinarea tensiunii coborate. Inmultind valoarea masurata cu raportul de transformare, se poate determina tensiunea reala in reteaua electrica.
Masurarea curentilor se face cu ajutorul ampermetrelor montate in circuit cu si fara sunturi. in practica industriala, pentru masurarea curentilor pana la 100 A, se utilizeaza aparate electrodinamice conectate direct in circuit. Pentru masurarea curentilor de peste 100 A, se utilizeaza in schema de masura un transformator de curent, care reduce intensitatea curentului la 5 A si in unele situatii, la 1 A. Pentru masurarea curentilor de inalta frecventa, se utilizeaza aparate electronice clasice sau aparate numerice de masura.
d) Masurarea puterilor active, in circuitele monofazate, se face cu ajutorul wattmetrelor electrodinamice, care se etaloneaza fara dificultati si care prezinta precizie in inregistrarea marimilor electrice.
Ca aparate de tablou, se mai utilizeaza wattmetre de inductie, wattmetre termice si uneori wattmetre electrostatice.
Wattmetrul electrodinamic poate masura cu precizie puterea, daca s-au pastrat regulile de conexiune a aparatului la retea. Fiecare tip de wattmetru este astfel construit incat la diviziunea maxima sa indice o anumita putere nominala. Pentru a afla puterea in wati, se citeste indicatia in diviziuni a aparatului si se inmulteste numarul de diviziuni cu constanta aparatului. Pentru wattmetre cu trei sensibilitati de curent si trei sensibilitati de tensiune, constantele aparatelor de masura se dau in tabelul urmator:
Constantele catorva tipuri de wattmetre

Puterea, P, masurata de wattmetru se calculeaza astfel:
![]()
(8.159)
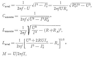
in care d este deviatia wattmetrului; dn - deviatia maxima; cos jn- factorul de putere; Un, In - valorile nominale ale tensiunii, respectiv curentului. Schemele de montaj, aval si amonte, al aparaturii de masurare a puterii sunt prezentate in figura
Puterile consumate de receptor. PR, in montajul aval si respectiv in montaj amonte, se calculeaza astfel:
![]()
(8.160)

Puterile debitate de generator, PG, in montaj aval, respectiv amonte, se calculeaza astfel:
PGaval = Pmas + RAI2 + RbcI2 ,
(8.161)
![]()
in care U Rbt este consumul de putere in bobina de tensiune a wattmetrului; U2/Rv - consumul de putere al voltmetrului; Rbc - rezistenta bobinei de curent; - rezistenta bobinei de tensiune;
In practica, se utilizeaza montajul aval pentru determinarea puterii, PR si montajul amonte pentru puterea PG.
Daca
se tine seama de inductanta bobinei de tensiune, relatiile
anterioare pentru puterea receptorului au urmatoarea forma:
(8.162)
unde y este argumentul impedantei bobinei de tensiune; j - decalajul curentului receptorului fata de tensiunea U.
Cand tensiunile si curentii din circuitele in care trebuie sa se execute masuratorile depasesc valorile nominale ale wattmetrului (In = 50 A si Un = 650 V), racordarea aparatului de masura la retea se face cu ajutorul transformatoarelor de intensitate si tensiune, care reduc curentul la 5 A, iar tensiunea la 100 V.
Cand se utilizeaza montajul cu transformator de intensitate, bobina de curent a wattmetrului se leaga pe secundarul transformatorului, iar bobina de tensiune se leaga in derivatie pe retea. Cand se foloseste montajul cu transformator de tensiune, bobina de tensiune a wattmetrului se leaga pe secundarul transformatorului, iar bobina de curent se leaga in serie cu reteaua. Cand in circuitul de masura, se utilizeaza doua transformatoare, unul de curent si altul de tensiune, bobinele wattmetrului se leaga pe secundarul fiecarui tip de transformator.
Puterile masurate in aceste situatii au urmatoarele expresii:
(8.163)
in care K este constanta wattmetrului; Ki, Ku sunt rapoartele de transformare ale transformatoarelor de curent, respectiv de tensiune.
Erorile care apar, in cazul montajelor cu transformator, sunt: eroarea de raport a transformatorului de intensitate si eroarea de unghi a transformatorului de tensiune.
Masurarea puterilor active monofazate cu alte mijloace decat wattmetrele electrodinamice se poate face prin metoda clestelui Dietz, prin metoda aparatelor de masura (ampermetru si voltmetru), cu wattmetre de inductie si respectiv cu wattmetre termoelectrice cu si fara transformatoare de curent si de tensiune.
Fig.8.9 - Scheme de conectare la retea a wattmetrelor pentru
masurarea puterii
Masurarea puterii active in circuitul de curent alternativ trifazat se poate realiza, aplicand urmatoarele scheme de masura: schema cu trei wattmetre cu sau fara transformatoare de masura, scheme cu doua wattmetre cu sau fara transformatoare de masura si scheme cu un singur wattmetru.
Metoda celor trei wattmetre se aplica in circuitele trifazate fara sau cu fir neutru cu ajutorul schemelor din figura 8.9, cand se monteaza direct la retea si cu ajutorul schemei din figura 8.10, cand se prevad transformatoare de masura.
Bobinele de curent ale wattmetrelor se monteaza in serie cu conductorul cu borna polarizata spre generator, iar bobina de tensiune a wattmetrului se monteaza cu borna polarizata la conductorul unde este montata bobina de curent si borna nepolarizata, la un punct comun cu bornele nepolarizate. puterea din circuitul trifazat este suma puterilor masurate P = P1 + P2 + P3.
Fig.8.10. Schema de montaj a
wattmetrelor cu ajutorul
transformatoarelor de masura
Schemele cu trei wattmetre se folosesc la incarcarea motoarelor de putere mica si la stabilirea consumului de putere pentru asemenea tipuri de receptoare.
Pentru
masurarea puterii in circuite trifazate nesimetrice ca tensiune, si
curent, se utilizeaza schema cu doua wattmetre. aceasta
schema de masura rezulta din schema cu trei wattmetre prin
legarea punctului comun la una din fazele retelei. montarea celor
doua wattmetre se poate face ca in figura 3.6, in schema directa de
masura.
Fig.8.11. Schema de montaj a
wattmetrelor pe doua faze ale
retelei electrice
Daca se utilizeaza transformatoare de masura, atunci este indicata schema din figura 8.12.
Puterea
masurata cu cele doua wattmetre corespunde puterii trifazate
consumate de receptor si se determina, adunand puterile indicate de
cele doua aparate de masura P = P1 + P2.
daca deviatia acului indicator al unui wattmetru este negativa,
datorita caracterului sarcinii (unghiul de defazaj dintre curent si
tensiune mai mare ca 900), atunci se schimba legaturile la
bornele de, tensiune si puterea se ia
cu semn schimbat, fata de situatia
normala.
puterii cu ajutorul a doua
wattmetre montate la retea
prin intermediul transformatoarelor de masura.
In cazul simetriei totale a circuitului trifazat, puterea si defazajul se calculeaza astfel:
(8.164)
![]()
Puterea in circuitele trifazate se poate masura si cu un singur aparat construit ca un wattmetru trifazat, denumit si wattmetru dublu electrodinamic. Se mai construiesc wattmetre trifazate de inductie a caror realizare se aseamana cu cea a contoarelor trifazate. Wattmetrele duble permit masurarea puterilor in circuitele trifazate, indiferent de regimul de lucru al retelei. scara lor este gradata in wati.
In circuitele trifazate simetrice atat ca tensiune, cat si in privinta curentului, se poate masura puterea cu un singur wattmetru, fara sau cu transformatoare de masura. scara unor astfel de wattmetre este in asa fel gradata, incat indica indirect puterea activa trifazata.
e) Masurarea puterii reactive se face cu ajutorul a trei montaje si anume: masurare indirecta, masurare directa (folosind varmetre) si masurare directa cu ajutorul wattmetrelor.
Masurarea indirecta (prin calcul) a puterii reactive consta in masurarea puterii active cu wattmetre si a puterii aparente, s, cu voltmetru si amper-metru. relatiile de calcul a puterii reactive in circuite monofazate, qm, si circuite trifazate echilibrate, qt, au urmatoarea structura:
![]()
(8.165)
![]()
Din cauza erorilor care apar intr-o astfel de schema de masura, se prefera celelalte doua metode.
Masurarea directa a puterii reactive cu ajutorul varmetrelor se face prin metoda celor trei, respectiv doua aparate montate ca wattmetrele.
Varmetrele difera de wattmetre prin faptul ca, bobina de tensiune se pune in serie cu o inductanta sau se pune in paralel cu o capacitate. Indicatiile varmetrelor sunt direct proportionale cu puterea reactiva din circuit. Se stie ca aparatele pentru masurarea puterii reactive sunt influentate de variatia frecventei si pentru a evita acest fenomen, se construiesc varmetre compensate cu doua bobine de tensiune cuplate pe un acelasi ax, una in serie cu o inductanta, iar cealalta in serie cu o capacitate. racordarea la retea a varmetrelor se face cu respectarea polaritatii bobinelor de curent si de tensiune ca si la wattmetre. aparatele montate in circuitele de masura, vor indica corect, daca decalajul intre tensiune si curent este inductiv si vor indica in sens contrar, daca decalajul este capacitiv.
Pentru masurarea puterii reactive in circuite trifazate, se poate utiliza atat metoda celor trei varmetre, cat si metoda celor doua varmetre cu sau fara transformatoare de masura. masurarea puterii reactive se poate face si cu ajutorul wattmetrelor.
Puterile active, si reactive se pot masura cu ajutorul metodelor celor doua wattmetre, folosind in circuit rezistente aditionale speciale. Aceste rezistente permit trecerea de la masurarea puterii active la masurarea puterii reactive cu ajutorul a doua wattmetre identice la care bobina de tensiune are o anumita valoare predeterminata cu precizie.
Masurarea factorului de putere se face fie masurand puterea activa cu ajutorul wattmetrului si puterea aparenta cu voltmetru si ampermetru, fie se realizeaza prin masuratori directe cu ajutorul cosfimetrului denumit si fazmetru. fazmetrele se construieste atat ca aparate monofazate, cat si trifazate.
f) Masurarea energiei electrice active si reactive in circuite monofazate si trifazate se realizeaza cu ajutorul contoarelor de inductie cu sau fara transformatoare de masura in circuit. contoarele se pot clasifica atat dupa numarul elementelor active, cat si in functie de tehnica de tarifare a energiei.
Dupa numarul de elemente active, deosebim: contoare cu un singur element activ (contoare monofazate), contoare cu doua elemente active utilizate in circuitele trifazate, fara conductor neutru si contoare cu trei elemente active pentru instalatii de distributie cu patru conductoare.
Dupa tehnica de tarifare a energiei, deosebim: contoare cu un singur cadran de inregistrare a energiei si contoare cu mai multe cadrane de inregistrare a energiei. Trecerea inregistrarii de pe un cadran pe altul se face la anumite ore cu ajutorul unor ceasornice de comutare.
Dintre contoarele cu mai multe cadrane, in practica, se intalnesc urmatoarele tipuri: contoare dublu ecran sau dublu tarif, contoare cu triplu tarif (tarif de varf, tarif in afara varfului si tarif de noapte), contoare de varf, contoare de depasire, contoare cu plata prealabila si contoare cu indicator de maxim. Schemele de montaj si caracteristicile contoarelor pentru masurarea energiei electrice active si reactive se dau in literatura [22, 25].
Contoarele se pot monta la reteaua electrica direct, daca curentii din circuitul supus masurarii nu depasesc 150 A. Pentru curenti mai mari, montarea contoarelor se face cu ajutorul transformatoarelor de curent, care reduc intensitatea in secundarul transformatorului la 5 A.
Scara de inregistrare a energiei cu ajutorul contoarelor se dimensioneaza fie direct in kwh, respectiv kvArh, fie in diviziuni, care multiplicate cu o constanta inscrisa pe placuta contorului permite calcularea energiei consumate in circuitul electric analizat.
Pentru studiul fenomenelor periodice, se utilizeaza in practica industriala distorsiometre, analizoare si aparate electronice de masura si control. dintre tipurile de oscilografe utilizate mai frecvent in industrie retin atentia: oscilografele electromecanice si oscilografe catodice. ca aparate inregistratoare mentionam cele cu inregistrare continua, cele cu motor de urmarire si cele cu inregistratoare rapida. Aparatele automate utilizate mai des la masuratori sunt de tipul: compensatoare automate cu curent de lucru variabil si cu curent de lucru constant, punti automate.
2. Aparate analogice-numerice de masura si control
Aparatele analogice numerice pentru masura si control s-au dezvoltat pe urmatoarele directii: aparate pentru masurarea tensiunii si a defazajului dintre doua marimi, aparate pentru masurarea puterii si energiei, aparate pentru masurarea pe cale electrica a marimilor neelectrice.
Pentru masurarea tensiunilor continue sau alternative, atat in laboratoare, cat si in industrie, se utilizeaza voltmetre electronice analogice si numerice, care au o precizie mai mare decat cele clasice. Voltmetrele analogice se clasifica astfel: voltmetre cu diode (serie sau derivatie), voltmetre electronice in puncte, voltmetre cu autocomponente, voltmetre electronice speciale pentru masurarea tensiunii efective si pentru masurarea tensiunii de varf, voltmetre electronice logaritmice, milivoltmetre electronice etc. Pentru masurarea defazajului dintre doua tensiuni sau dintre tensiune si curent, se pot utiliza urmatoarele metode: metoda celor trei voltmetre, metoda comutatorului electronic, metoda elipsei, metode de comparatie, metoda fazmetrului analogic etc. aparatele numerice pentru masurarea tensiunii si a defazajelor dintre doua marimi electrice sunt voltmetre numerice si fazmetre numerice. Caracteristicile aparatelor analogice si numerice de masurare a tensiunii, frecventei si a defazajului intre marimile electrice supuse masurarii se dau in literatura [24, 25].
Masurarea puterii si energiei cu aparate numerice se face, aplicand urmatoarele metode: metoda integrarii numerice a produsului U I, ca valori instantanee si metoda masurarii numerice separate a tensiunii, curentului si a factorului de putere (cos 9), respectiv sin j
In cazul integrarii numerice a produsului u i, se convertesc separat valorile instantanee ale curentului si tensiunii, se efectueaza produsul acestora si se insumeaza produsele partiale pe o perioada de timp.
Pentru masurarea puterii reactive, trebuie sa se introduca un defazaj de 900. wattmetrele electronice care pot masura atat puterea activa, cat si pe cea reactiva au la baza traductoare speciale, atat pentru circuite monofazate, cat si pentru cele trifazate, bazate pe principiul multiplicarii pur numerice a esantioanelor valorilor momentane ale curentului si ale tensiunii.
Contorul electronic bazat pe principiul "Mark-Space-Amplitude-Multiplicator', utilizat pentru masurarea numerica a energiei, are urmatoarele caracteristici: clasa de precizie 0,2, nu este influentat de armonici superioare, permite masurarea in ambele sensuri a energiei, independent de simetria retelei, nu este sensibil la vibratii si socuri, este stabil in timp si nu este influentat de variatii ale temperaturii mediului in care se lucreaza. contorul electronic are in structura sa urmatoarele elemente: convertorul curent-frecventa de impulsuri, multiplicator pe fiecare faza cu transformatoare de intrare, elemente de afisaj si surse de alimentare. Contorul electronic prezentat se poate folosi la masurarea energiei in circuitele trifazate cu patru conductoare. el are trei multiplicatoare, conectate prin intermediul unor transformatoare de masura de tensiune si curent la reteaua electrica analizata.
Schemele unor wattmetre si contoare numerice de masurare a puterii si energiei electrice active si reactive se dau in literatura [24, 25].
Masurarea pe cale electrica a marimilor neelectrice se face cu o aparatura speciala, care imbina atat partea aferenta marimii neelectrice supusa masurarii, traductorul, cat si partea electrica a dispozitivului de masurare. traductoarele transforma o marime fizica de masurat intr-o marime fizica de alta natura, care poate fi observata si masurata mai usor. Astfel de transformare se poate face fie direct printr-un singur element' fizic, fie prin cateva transformari succesive de marimi fizice.
Un traductor de calitate trebuie sa indeplineasca urmatoarele conditii: sa fie sensibil, sa aiba o clasa inalta de precizie, sa consume cat mai putina energie si sa dea raspuns in timp real.
Dintre tipurile de traductoare cunoscute in tehnica masurarii marimilor neelectrice pe cale electrica, retin atentia urmatoarele: traductoare parametrice in care marimea neelectrica este transformata intr-un parametru electric pentru masurarea caruia este nevoie de o sursa auxiliara de energie (termometru electric cu rezistenta), traductoare generatoare la care marimea neelectrica este transformata direct intr-o tensiune electromotoare ca 'in cazul traductoarelor termoelectrice, piezoelectrice etc. Aceste tipuri de traductoare sunt mai putin sensibile si consuma energie mai multa decat traductoarele parametrice, dar prezinta avantajul ca, marimea de iesire este o tensiune care se poate masura direct. dintre cele mai uzuale tipuri de traductoare parametrice existente, retin atentia traductoarele rezistive, inductive si cele capacitive. Ca traductoare generatoare mentionam: traductorul electrodinamic de inductie si traductorul electrochimie.
Pentru masurari mai complexe, se utilizeaza fie traductoare cu transformari succesive, fie traductoare diferentiale.
Masurarea electrica a marimilor neelectrice s-a extins in tehnica la stabilirea nivelelor lichidelor din diverse recipiente inchise, la masurarea temperaturilor etc.
Masurarea pe cale electrica a temperaturilor din diverse instalatii industriale constituie domeniul pirometriei electrice. pirometria electrica reclama utilizarea urmatoarelor tipuri de aparate: pirometre termoelectrice, termometre cu rezistenta, pirometre cu radiatie, pirometre optice etc. aparatele pentru masurarea marimilor neelectrice pe cale electrica sunt extinse atat ca numar, cat si ca performante si se utilizeaza la determinarea marimilor de calcul din cadrul bilanturilor termoenergetice.
3. Metode si scheme de masura a marimilor din structura unui bilant
termoenergetic
Metodele si .schemele de masura a elementelor din structura unui bilant termoenergetic vizeaza determinarea lungimilor si suprafetelor, masurarea temperaturilor, presiunii si a diferentei de presiune, determinarea lucrului mecanic si a puterii, masurarea turatiei, cantitatilor, continutul de praf si a umiditatii purtatorilor de energie (gaze, abur), analiza chimica a lichidelor si gazelor, a puterii calorifice a combustibililor si controlul arderii [17].
a) Masurarile cu marci tensometrice permit stabilirea variatiei lungimilor, respectiv a suprafetelor prin modificarea rezistentei electrice a marimii supuse analizei. marcile tensometrice folosesc traductoare pentru masurarea pe cale electrica a marimilor neelectrice.
Pentru variatii mici ale lungimilor si suprafetelor, se utilizeaza marci tensometrice pe baza de semiconductoare. metodele de masurare se bazeaza pe scheme in punte si cuprind metoda punctului zero si metode bazate pe dispozitive amplificatoare de frecventa purtatoare. pentru masurarea grosimilor, se utilizeaza metoda penetratiei bazata pe absorbtia de radiatii de catre materialul examinat, a reflexiei, metoda comparatiei, a curentilor turbionari si metode bazate pe ultrasunete [26]. pentru masurarea suprafetelor se utilizeaza planimetre lineare si polare cu si fara dispozitiv de compensare a erorilor. daca nu exista disponibil un planimetru, atunci suprafetele trebuie determinate prin calcul cu ajutorul formulei lui simpson.
b) Metodele si schemele de masurare a temperaturilor se pot clasifica astfel:
- procedee mecanice de masurare a temperaturilor, care fac apel la termometre de sticla cu lichid, termometre cu dilatarea metalelor, termometre cu tub bourdon etc.;
- procedee electrice de masurare a temperaturilor bazate pe termometre cu rezistente metalice, termometre cu rezistenta pe baza de semiconductori, termocuple, pirometre de radiatie etc.
Schemele pentru utilizarea practica a acestor clase de aparate sunt simple si nu necesita montaje speciale.
c) Masurarea presiunii si a diferentei de presiune se realizeaza cu ajutorul urmatoarelor tipuri de aparate si scheme: manometre cu lichid, manometre elastice, manometre cu piston si cu plutitor, aparate electrice pentru masurarea marimilor neelectrice bazate pe influenta presiunii asupra rezistentei unui conductor, sau cele bazate pe efectul piezoelectric, barometre cu mercur, manometre diferentiale, manometre cu mai multe lichide etc. metodele de masurare a presiunii sunt: metode de masurare prin comprimare, recomandate pentru presiuni mici pana la 10-5 torr; metode bazate pe efectele electrice, produse de variatia presiunii asupra conductoarelor, recomandate pentru presiuni mari si pentru masurarea presiunilor rapid variabile, metode de masura a presiunii bazate pe variatia conductibilitatii termice a gazelor, metode de masura bazate pe ionizarea gazelor si cele bazate pe frecarea gazelor (cu posibilitati de masura intre 800 torr pana la,10-10 torr). un rol important la masurarea presiunilor, in diverse instalatii, il au aparatele indicatoare electrice si mecanice. aparatele electrice se recomanda pentru viteze mari de variatie a presiunii, iar cele mecanice pentru viteze mici.
d) Masurarea fortelor si a momentelor se realizeaza prin procedee mecanice, hidraulice sau electrice.
Masurarea electrica a fortelor se efectueaza cu ajutorul capsulelor cu carbune, cu semiconductori, cu marci tensometrice, cu capsule magnetoelastice, cu capsule inductive si cu capsule piezoelectrice.
Momentele de rotatie se masoara in doua ipoteze si anume: cu pierderi de putere, folosind franarea mecanica, hidraulica, pneumatica si electrica si fara pierderi de putere cu ajutorul urmatoarelor dispozitive: cantar pendular necoaxial si cantar pendular coaxial; se mai folosesc diverse tipuri de dinamometre (cu parghie, de torsiune etc.) si alte tipuri de aparate.
e) Masurarea turatiei se realizeaza prin diverse procedee dintre care selectam: procedee cu impuls, procedee mecanice bazate pe pendulul centrifug, procedee de masurare prin vibratii, procedee electrice (curenti turbionari, traductori electrici), procedee electronice, optice si pneumatice.
Pentru masurarea turatiilor mici, se folosesc contoare, iar pentru masurarea turatiilor mari se recomanda tahogeneratoare electrice. pentru masurarea turatiilor foarte inalte, se folosesc metode bazate pe traductoare electronice.
f) Masurarea cantitatilor se realizeaza cu doua grupe de procedee si anume: procedee care nu afecteaza legea ce sta la baza functionarii aparatelor de masura si procedee care afecteaza aceasta lege. Prima grupa de procedee se aplica la masurarea cantitatilor de combustibil si a volumelor din recipiente inchise (volume ocupate de lichide sau gaze). Nivelele se pot determina prin masurarea presiunii sau a diferentei de presiune, a conductibilitati electrice (metoda moffet) sau pe baza conductibilitatii termice. masurarea nivelelor se mai face si prin metode capacitive, prin metode bazate pe ultrasunete, radiatii etc.;
Masurarea volumelor se realizeaza cu ajutorul recipientelor de masura basculante si a aparatelor echipate cu contoare, cum ar fi: contoare cu tambur, cu piston inelar si piston profilat, contoare cu pistoane rotative pentru gaze etc. La masurarea volumelor, se mai utilizeaza metode de cantarire mecanica automata.
Masurarea cantitatilor prin procedee care afecteaza legea ce determina functionarea aparatului se realizeaza prin urmatoarele tehnici: tehnica recipientilor sub presiune, procedeu aplicabil la determinarea cantitatilor de gaz; determinarea cantitatilor de abur prin tehnica diafragmei, determinarea cantitatii pe baza tehnicii de masurare a vitezei medii in conducte, masurarea cantitatilor prin tehnica strangularii transversale (stavile, ajutaje, diafragme, tuburi Venturi), tehnica traductoarelor de debit etc.
Constructia si montarea aparatelor de masurat se dau in STAS 7347-70 pentru debitmetre de aer si gaz si pentru prizele de presiune in cazul diafragmelor.
Masurarea debitelor de scurgere se realizeaza cu ajutorul presiunii dinamice, a metodelor electrocalorice, inductive bazate pe principiul lui Faraday (aplicat la masurarea debitelor mici), cu ajutorul rotametrelor, a fortei portante a plutitorului, metoda aplicabila la masurarea debitelor continue de lichid, gaz si abur.
Cele mai importante metode tehnice de masurare a cantitatilor si debitelor sunt: tehnica strangularii, tehnica bazata pe caderea 'de presiune, pe masurarea presiunii dinamice, tehnica bazata pe rotametre si pe procedee termice.
Masurarea cantitatilor de praf emise pe cosurile de fum se realizeaza prin urmatoarele procedee: procedee ciclonice, bazate in special pe aparatul Bowag, procedee electrice bazate pe efectul electric de frecare, avand ca prototip aparatul Konitest, procedee gravimetrice, bazate pe microcantarul lui Gast.
g) Masurarea continutului de umiditate a gazelor se face prin determinarea maselor inmagazinate de vapori, fie prin condensare, fie prin absorbtie. determinarea umiditatii gazului se face prin si modificarea starii acestuia si anume: prin variatia temperaturii, a presiunii, prin modificarea volumului, determinarea punctului de roua si prin utilizarea izotopilor radioactivi.
Masurarea umiditatii relative se face cu diverse procedee tehnice din care mentionam: tehnica materialelor higroscopice, tehnica aparatelor psihometre, tehnica masurarii umiditatii prin difuzie cu ajutorul higrometrelor etc.
Determinarea continutului de umiditate a gazelor are o importanta deosebita, mai ales pentru cercetari ce se refera la probleme energetice complexe. astfel, pentru determinarea punctului de roua se utilizeaza aparate bazate pe oglinzi racite. Pentru determinarea directa a umiditatii relative a aerului, se folosesc higrometre cu fir. Limitele superioare de temperatura se ridica la 500c, in cazul utilizarii parului natural si la 1000c, in cazul folosirii materialelor sintetice. Cel mai raspandit aparat pentru masurarea indirecta a umiditatii relative este psihrometrul de aspiratie, prevazut cu termometru cu mercur sau, in cazul masurarii continue, se recomanda echiparea aparatului cu termometre cu rezistenta. Masurarea continutului de umiditate a aburului se realizeaza cu ajutorul calorimetrului de trecere si a calorimetrului cu laminare prin supraincalzirea aburului umed, ca urmare a trecerii agentului prin strangulare.
h) Analiza chimica a lichidelor urmareste determinarea continutului de saruri, a concentratiei de oxigen, de ioni de hidrogen etc. La analiza lichidelor se folosesc procedee si aparate bazate pe variatia conductibilitatii lichidului supus analizei. Pentru stabilirea concentratiei de oxigen in lichide, se utilizeaza aparatele construite de Freier, Todt si Wickert, dintre care aparatele Oxyflux dau rezultate cu erori de 5% la stabilirea concentratiei scazute de, oxigen in apa.
Concentratia de ioni de hidrogen joaca un rol important pentru apa din cazane si se stabileste cu ajutorul procedeului electrolitic, care da erori mai mici decat procedeele optice si calorimetrice.
i) Masurarea puterii calorifice a combustibililor solizi, lichizi si gazosi se realizeaza cu diverse procedee de laborator, descrise in standardele in vigoare. Determinarea puterii calorifice a combustibililor solizi se face fie pe baza metodei descrise in stas 5269-69 (bomba calorimetrica), fie prin analiza chimica a combustibilului.
Stabilirea puterii calorifice a combustibililor lichizi si gazosi se face cu ajutorul metodelor descrise in STAS 41-1965. Determinarea compozitiei gazelor se face prin analize chimice, fizice si fizico-chimice.
j) Analiza gazelor permite stabilirea compozitiei lor, astfel ca procesul de ardere sa decurga fara pierderi. Este stiut ca, lipsa de oxigen duce la pierderi prin; ardere chimic incompleta a combustibilului, iar aerul in exces absoarbe energie si genereaza pierderi, ducand la marirea cantitatii de caldura evacuate cu gazele de ardere.
Procedeele de analiza chimica a gazelor de ardere au la baza: absorbtia selectiva a componentei de gaz cautata, urmata de absorbtia produsului de ardere.
In prezent, in exploatare, se folosesc in locul analizelor manuale analize automatizate [26].
Analiza gazelor bazata pe procedee fizice opereaza cu: masurari ale conductivitatii termice fie direct, fie prin comparatie, masurarea caldurii de combustie, aplicarea procedeelor magnetice, a procedeelor termodinamice etc. Dintre procedeele de analiza prezentate, cele mai precise si deosebit de rapide sunt procedeele fizice.
Procedeele fizico-chimice se recomanda pentru masurarea concentratiilor foarte scazute.
Masurarea oxigenului din gazele de ardere pe cale magnetica da rezultate mult mai precise, decat prin masurarea caldurii de reactie si prin masurarea conductibilitatii termice.
Controlul arderii constituie o operatie care urmareste economisirea combustibilului din proces.

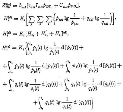
(8.166)
in care
sunt cheltuielile
totale actualizate pentru construirea si aplicarea deciziilor in
conditii de certitudine, risc si incertitudine; IDD, CDD - investitiile si respectiv
cheltuielile pentru construirea si aplicarea deciziilor; pdd1 pDD2 -
probabilitatile de realizare a conditiilor prestabilite la
construirea si aplicarea deciziilor, atat la nivelul investitiilor (pDD1), cat si la nivelul cheltuielilor (pDD2);
este entropia sistemului conceput in cele
doua structuri discreta (d) respectiv continua (c); Kt
= 3,32 coeficient de transformare a logaritmului din baza doi in baza zece; pjkl;
qjkl - probabilitatile de succes si insucces la
nivelul utilajelor (j); la nivelul obiectelor de productie (k) si la
nivelul fortei de munca (l);
Restrictiile se refera in principal la calitatea si cantitatea resurselor, a instalatiilor, a fortei de munca, a respectarii timpului planificat de intrerupere si a preluarii avariilor in conditiile prestabilite.
Insumand cele zece categorii de cheltuieli, se obtin cheltuielile totale in structura cercetarii operationale generate de-conceperea si realizarea obiectivelor. Aceste cheltuieli se determina pentru fazele de cercetare-proiectare, constructii-montaj si exploatare-dezvoltare, plecandu-se de la calculul in prealabil a cheltuielilor la nivelul lantului tehnologic examinat (consumator, sursa si instalatia de legatura dintre ele inclusiv influenta mediului asupra obiectivului). Aceasta noua conceptie de determinare a cheltuielilor pe faze ale procesului tehnologic elimina neajunsurile metodei traditionale de estimare schematica a cheltuielilor, fara a se parcurge sirul evenimentelor reale.
Noua gandire a problemelor in conceptie arhemo-sistemica inlesneste apropierea modelarii matematice de realitatea tehnologica conceputa.
Daca se urmareste determinarea costului produsului ce se poate realiza in cadrul obiectivului conceput, atunci, din raportarea cheltuielilor totale actualizate determinate in structura cercetarii operationale la volumul productiei ce se va realiza pe toata perioada de viata a obiectivului, rezulta costul specific actualizat.
|
Politica de confidentialitate | Termeni si conditii de utilizare |
Vizualizari: 3606
Importanta: ![]()
Termeni si conditii de utilizare | Contact
© SCRIGROUP 2025 . All rights reserved