| CATEGORII DOCUMENTE |
| Comunicare | Marketing | Protectia muncii | Resurse umane |
CONCEPTIA HOLISTICA APLICATA LA CONSTRUIREA BILANTURILOR ENERGETICE
Alimentarea cu energie a consumatorilor, la un inalt nivel calitativ si de siguranta, precum si gospodarirea rationala si eficienta a bazei energetice presupune, pe de o parte, cunoasterea corecta a performantelor tehnico-economice ale tuturor partilor componente ale intregului lant energetic, de la producator la consumator, iar pe de alta parte, asigurarea conditiilor optime, din punct de vedere energetic, pentru functionarea acestora.
Principalul mijloc care sta la indemana specialistilor pentru realizarea acestor obiective importante il constituie bilantul energetic, care permite efectuarea atat a analizelor cantitative, cat si a celor calitative asupra modului de utilizare a combustibilului si a tuturor formelor de energie in cadrul limitelor unui sistem determinat. Acest cadru limita poarta denumirea si de contur, el reprezentand practic suprafata inchisa care include limitele fata de care se considera intrarile si iesirile de energie [9]. Prin urmare, conturul unui bilant energetic poate coincide cu conturul fizic al unui utilaj, al unei instalatii sau al unui ansamblu complex, care in cele ce urmeaza va fi mentionat ca sistem.
1. Scopul intocmirii si analizei bilanturilor energetice
Elaborarea si analiza bilanturilor energetice este reglementata prin lege si trebuie sa se transforme intr-o activitate sistematica care are drept scop reducerea consumurilor de combustibil si energie prin ridicarea continua a performantelor energetice ale tuturor instalatiilor, sporirea eficientei intregii activitati energo-tehnologice [10-17].
Elaborarea si analiza bilanturilor energetice constituie cel mai eficient mijloc de stabilire a masurilor tehnico-organizatorice menite sa conduca la cresterea efectului util al energiei introduse intr-un sistem, la diminuarea consumurilor specifice de energie pe produs.
Modelele matematice pentru realizarea bilanturilor energetice au la baza principiul conservarii energiei. In acest sens, se defineste multimea marimilor de intrare, se calculeaza pierderile din conturul de bilant, pe categorii de procese, se stabilesc valorile randamentelor si se constituie setul marimilor de iesire.
In functie de scopul urmarit, bilanturile energetice se intocmesc in patru faze distincte ale unui sistem si anume: la proiectarea unui sistem nou sau modernizarea unui sistem existent, la omologarea si receptionarea partilor componente ale unui sistem, la cunoasterea si imbunatatirea parametrilor tehnico-functionali ai unui sistem in procesul exploatarii, precum si la intocmirea planurilor curente si de perspectiva privind economisirea si folosirea rationala a energiei.
In primul caz, prin elaborarea bilanturilor energetice se urmareste: alegerea celor mai rationali purtatori de energie, stabilirea schemelor optime de alimentare cu energie, determinarea necesarului de resurse energetice cu luarea in considerare a folosirii cat mai eficiente a resurselor energetice secundare, predeterminarea consumurilor specifice de energie ale fiecarui agregat care intra in componenta sistemului, precum si pe unitatea de produs.
In cazul omologarii sau receptionarii instalatiilor, bilanturilor energetice au drept scop stabilirea indicatorilor de consum energetic, a randamentelor si a performantelor tehnico-functionale in raport cu cele din proiect sau contractate.
Elaborarea bilanturilor energetice pentru sistemele in functiune se face in scopul ridicarii calitatii exploatarii, a stabilirii structurii consumului util si a pierderilor de energie, in vederea sporirii randamentelor, recuperarii eficiente a resurselor energetice secundare, atingerii parametrilor optimi din punct de vedere energo-tehnologic. pe aceasta baza, se pot preciza normele de consum specific de combustibil, energie electrica si termica.
Fundamentarea consumului de energie, in planurile anuale si de perspectiva, ale oricarui sistem energetic are la baza masuratorile, calculele si concluziile bilanturilor energetice care trebuie sa tina seama de toate modificarile aduse instalatiei sau tehnologiilor de fabricatie folosite sau preconizate.
2. Clasificarea bilanturilor energetice
Bilanturile energetice se pot clasifica in functie de urmatoarele criterii:
1. Forma energiilor participante in proces determina gruparea bilanturilor energetice in doua mari categorii:
- Bilanturi energetice atunci cand in procesul analizat participa numai energii ordonate, ca de exemplu in cazul bilanturilor electrice. Bilanturile energetice, avand un caracter exclusiv cantitativ, nu permit obtinerea unor concluzii concrete in cazul energiilor neordonate.
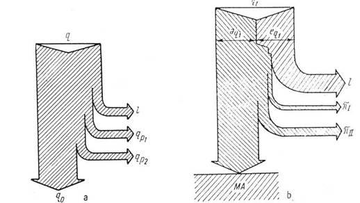
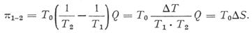
- Bilanturi exergetice recomandate pentru sistemele in care participa energii neordonate. Bilanturile exergetice exprima atat primul principiu al termodinamicii (deoarece suma dintre exergie si anergie este constanta), cat si al doilea principiu al termodinamicii, deoarece fiecarei ireversibilitati ii corespunde o anumita reducere a exergiei, cu marirea corespunzatoare a anergiei. In figura 8.6 sunt prezentate, pentru comparatie, fluxurile de energie (a) si respectiv exergie-anergie (b).
In cazul bilantului energetic (a), scris sub forma:
Qi = Qu + Qp ,
in care:
Qi reprezinta energia introdusa in sistem, in W;
Qu - energia utila, in W; Qp - pierderile de energie, in W.
Nu se pot evidentia pierderile reale ale sistemului analizat, iar randamentul de utilizare a energiei introduse, Qi, este influentat in mod artificial de acea parte a energiei care are capacitate nula de transformare si care, prin urmare, nici in conditiile ideale de desfasurare a procesului nu se poate transforma intr-o alta forma de energie. Prin aceasta, randamentul energetic, astfel definit nu permite stabilirea masurii reale in care procesul analizat se departeaza de conditiile optime.

Fig. 8.6. Diagrame de bilant: a - bilant energetic; b - bilant exergie-anergie
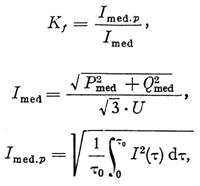
In cel de-al doilea caz, bilantul exergie-anergie poate fi scris sub forma:
(8.60)
in care Ei reprezinta exergia introdusa in sistem, in W; Eu - exergia utila, in W;
- suma pierderilor de
exergie in procesul analizat, in W; Ai - anergia introdusa in
sistem si care, in cadrul procesului analizat, nu sufera nici o
transformare, in W.
In acest mod, bilanturile exergie-anergie permit analiza proceselor sau a instalatiilor in care acestea au loc, cu luarea in considerare atat a cantitatilor de energie care intervin, cat si a capacitatii de transformare a acestora. Astfel, sunt evidentiate, in mod clar si precis, pierderile reale, cauzele si locurile din instalatiile in care se produc aceste pierderi, scotand din sfera preocuparilor energiile cu capacitate nula de transformare.
Este posibila si intocmirea bilantului in care sa nu apara anergia introdusa in sistem; acesta este bilantul de energie, in care nu apar decat exergiile introduse in sistem, exergiile evacuate si pierderile de exergie (fig. 8.7).
2. Tipul purtatorului de energie grupeaza bilanturile energetice in urmatoarele categorii (prin purtator de energie se intelege totalitatea fluxurilor materiale care, in urma unor transformari de stare, pot acumula, transmite sau ceda energie):
- bilanturi electrice, in cazul in care, in sistemul analizat, intra numai energie electrica;
- bilanturi termice in cazul in care, in sistemul analizat, intra ca purtatori de energie aburul, apa calda sau fierbinte;
- bilanturi de combustibil in cazul in care, in sistemul analizat, intra ca purtatori de energie combustibili de toate formele sau gazele calde;
- bilanturi de aer comprimat in cazul in care, in sistemul analizat, intra ca purtator de energie aerul comprimat.

Fig. 8.7. Bilant exergetic
3. Numarul formelor sau purtatorilor de energie, care participa in procesul analizat, permite gruparea bilanturilor energetice in:
- bilanturi simple in cazul in care bilantul se refera la o singura forma sau un singur purtator de energie. Acest tip de bilant isi propune sa evidentieze modul de utilizare a unei singure forme de energie care intra in contur. Din aceasta categorie fac parte bilantul de combustibil, de energie termica, energie electrica etc.;
- bilanturi complexe in cazul in care, ele se refera la doua sau mai multe forme de energie. De mentionat ca, bilantul care se refera atat la combustibilul, cat si la energia termica intrata in contur, poarta denumirea de bilant termoenergetic, iar cel care se refera la toate formele de energie intrate in sistem se numeste bilant energetic total.
In cazul bilanturilor energetice complexe, este necesara exprimarea tuturor formelor sau purtatorilor de energie intr-o singura unitate de masura si anume in aceea specifica formei de energie cu ponderea cea mai mare in sistemul analizat. In tabela 3.1 se prezinta coeficientii de transformare a unitatilor de masura a energiei.
Tabela 3.1
Coeficientii de transformare a unitatilor de masura

4. Continutul, metoda si momentul elaborarii clasifica bilanturile energetice in doua grupe mari :
. bilanturi de proiect efectuate, fie cu prilejul proiectarii unor obiective noi, fie la modernizarea sau reconstruirea unor obiective existente. Aceste bilanturi se intocmesc pe cale analitica, pe baza performantelor tehnico-functionale garantate de furnizori, pentru fiecare utilaj, agregat, instalatie care intra in componenta sistemului proiectat. Avand caracterul de bilant preliminat, el trebuie sa fie realizat in ipoteza adoptarii solutiilor optime, corespunzatoare conditiilor tehnico-economice cele mai avansate pe plan mondial.
. bilanturi pentru instalatii existente, in aceasta categorie pot fi incluse urmatoarele tipuri de bilanturi energetice:
. bilanturi energetice reale prin care se intelege relevarea, prin intermediul masuratorilor si a calculelor analitice a situatiei energetice existente intr-un sistem, la un moment dat. Bilantul real, pe langa faptul ca reflecta nivelul tehnic al exploatarii sistemului, constituie baza tehnico-economica de fundamentare a masurilor tehnice si organizatorice menite sa conduca la ridicarea performantelor energetice ale sistemului analizat, prin reducerea pierderilor si o cat mai eficienta folosire a tuturor formelor de energie;
. bilanturile energetice optime sunt bilanturile unui sistem analizat, in ipoteza ca acesta ar fi adus in conditii optime energetice de functionare, prin aplicarea tuturor masurilor tehnice si organizatorice pe care stiinta le pune la indemana, intr-un moment dat.
Deoarece cunostintele tehnico-stiintifice evolueaza destul de rapid de la o etapa la alta, conditiile optime energetice de functionare a unui sistem inregistreaza mutatii continui, ceea ce impune determinarea periodica a bilanturilor energetice optime. Compararea acestora cu bilanturile energetice reale indica, pe de o parte, decalajul existent, la un moment dat, intre functionarea reala si functionarea in conditii optime, iar pe de alta parte, marimea eforturilor necesare pentru realizarea acesteia.
. bilanturile energetice normate se calculeaza pe baza performantelor energetice ale sistemului analizat, preconizate a fi atinse de acesta intr-o perioada determinata de timp, de obicei un an, prin aplicarea unei intregi game de masuri tehnice si organizatorice, stabilite pe baza concluziilor rezultate din bilanturile reale. Bilantul energetic normat tinde in timp catre bilantul energetic optim.
5. Caracterul procesului de productie care intra in componenta sistemului analizat permite clasificarea bilanturilor in doua grupe caracteristice si anume:
. bilanturi energetice de baza efectuate pentru acele parti constituente ale sistemului care determina productia de baza realizata in cadrul acestuia;
. bilanturi energetice secundare efectuate pentru componentele auxiliare ale sistemului, care deservesc intr-o forma sau alta procesul de baza.
Dupa elaborarea separata a acestor doua tipuri de bilanturi, este indicat sa se faca o sinteza a lor, daca situatia reala a sistemului permite acest lucru.
6. Continutul intern al conturului, respectiv sfera de cuprindere, permite clasificarea bilanturilor energetice in bilanturi pe agregate, instalatii, sectii de productie, intreprinderi, platforme industriale, ramuri industriale si bilanturi la nivelul economiei nationale. De obicei, intocmirea bilanturilor incepe cu elementele componente ale sistemului analizat, deci de la simplu la complex.
7. Gradul de incarcare (sarcina) a sistemului analizat constituie un criteriu de grupare a bilanturilor energetice in bilanturi elaborate la sarcini caracteristice (maxime, nominale, minime) si la sarcini partiale semnificative procesului respectiv. Acest procedeu permite evidentierea variatiei consumurilor de energie si a randamentelor cu gradul de incarcare a agregatelor, instalatiilor etc. Care intra in componenta sistemului.
8. Perioada pentru care se elaboreaza bilantul determina clasificarea bilanturilor energetice in bilanturi orare, bilanturi pe o perioada calendaristica oarecare (schimb, zi, decada, luna, trimestru, an) bilanturi pe ciclu de functionare si bilanturi pe unitatea de produs realizat intr-un anumit timp. Dintre aceste tipuri de bilanturi, normativele prevad ca obligatorii bilanturile orare si anuale.
Bilanturile pe ciclu de productie se elaboreaza, de obicei, in cazul proceselor ciclice, la care celelalte tipuri de bilanturi nu permit evaluarea corecta a eficientei energetice a acestor procese.
Bilantul energetic pe o perioada de un an se intocmeste, in special, pentru intreprinderi in care agregatele sau instalatiile energetice au regimuri de functionare diferite de la o perioada la alta a anului.
Transformarea bilantului energetic orar intr-un bilant pe o perioada calendaristica, r, trebuie sa tina seama de regimul de lucru al tuturor partilor componente ale sistemului analizat in perioada respectiva, in acest caz, se insumeaza timpul de functionare productiva, de mers in gol, de stationare tehnologica sau de avarie si cu perioada de la pornirea instalatiei pana la atingerea regimului de lucru. Pentru fiecare parte componenta a perioadei calendaristice, t, elementele bilantului variaza atat in raport cu parametrii interni sau externi ai sistemului, cat si in raport cu sarcina agregatelor componente ale sistemului.
In cazul proceselor ciclice, elaborarea bilantului pe o perioada calendaristica t se obtine prin multiplicarea elementelor de bilant calculate pe ciclu cu numarul de cicluri realizate in perioada respectiva.
In mod similar, trecerea de la bilantul energetic pe unitatea de produs la un bilant pe o perioada calendaristica se obtine prin multiplicarea componentelor de bilant pe produs cu volumul produselor realizate in perioada respectiva.
3.3. Metodica intocmirii si analizei bilanturilor energetice
Intocmirea bilanturilor energetice presupune parcurgerea, in general, a urmatoarelor etape principale:
- analiza atenta a instalatiilor, agregatelor, precum si a proceselor tehnologice de baza si auxiliare care constituie obiectul bilantului energetic;
- intocmirea schemelor fluxului tehnologic de materiale si a fluxurilor energetice;
- delimitarea conturului de bilant si precizarea legaturilor acestui contur cu sistemele limitrofe;
- identificarea purtatorilor de energie si a modului de circulatie a acesteia in interiorul sistemului;
- precizarea regimurilor de lucru pentru care se intocmesc bilanturile energetice;
- stabilirea caracteristicilor fiecarui element component al sistemului si precizarea marimilor ce vor fi masurate, a metodelor si mijloacelor de masurare, precum si a periodicitatii citirilor pentru fiecare marime masurata in intervalul de timp stabilit pentru bilantul respectiv;
Alegerea si montarea tuturor aparatelor si dispozitivelor cu ajutorul carora vor fi masurate toate componentele bilantului energetic;
- intocmirea modelului matematic al bilantului energetic, in vederea optimizarii acestuia, in functie de restrictiile impuse atat sub aspect tehnologic, cat si sub aspect functional;
- elaborarea bilanturilor energetice reale si optime;
- analiza pierderilor reale si stabilirea unui program etapizat de masuri tehnico-organizatorice in vederea reducerii la minimum, intr-un interval de timp cat mai redus, a pierderilor si a valorificarii integrale a resurselor energetice secundare.
Pe baza rezultatelor bilantului energetic real si a analizei detaliate a tuturor componentelor de energie utila si de pierderi de energie, se intocmeste bilantul energetic normat, care tine seama de toate masurile stabilite ca urmare a studiului efectuat.
Analiza componentelor utile si a pierderilor de energie se realizeaza dupa urmatoarea metodologie :
A) clasificarea pierderilor de energie dupa criteriul caracterului lor fizic:
- pierderi de caldura prin:
Gazele de ardere iesite din conturul de bilant;
Caldura sensibila a produselor iesite din contur;
Caldura fizica a deseurilor tehnologice iesite din contur;
Energia chimica legata a resurselor energetice secundare combustibile ;
Arderea incompleta, chimica sau mecanica;
Caldura evacuata cu fluidele de racire;
Caldura disipata in mediul ambiant prin radiatie, convectie si conductie.
- pierderi de energie electrica in transformatoare, masini electrice, bobine de inductanta, condensatoare, linii de transport etc.;
- pierderi mecanice prin frecare sau prin franarea si oprirea maselor in miscare;
- pierderi hidraulice prin laminari, frecari etc.
- pierderi ale agentilor energetici prin scapari, evaporari, purjari etc.
B) defalcarea pierderilor dupa criteriul cauzelor care le genereaza:
Starea necorespunzatoare a instalatiilor;
Abateri de la regimul tehnologic recomandat; exploatare necorespunzatoare ;
Mers in gol al instalatiilor;
Alte cauze.
C) compararea atat a componentelor energiei utile, cat si a pierderilor rezultate din intocmirea bilantului energetic real al sistemului analizat cu performantele cele mai ridicate din punct de vedere tehnic a unor instalatii, agregate sau procese tehnologice similare pe plan mondial.
D) stabilirea, pe aceasta baza, a cailor si masurilor tehnico-organizatorice menite sa asigure reducerea pierderilor de energie si valorificarea cat mai eficienta a resurselor energetice secundare iesite din conturul de bilant. Valorificarea resurselor energetice secundare poate fi realizata, in functie de conditiile existente, atat in cadrul conturului analizat, cat si in alte sisteme limitrofe acestuia.
3.3.1. Conceptia elaborarii bilanturilor electroenergetice
Bilantul electroenergetic real stabileste legatura dintre energia preluata din exterior de catre sistemul analizat si cea consumata in interiorul sau. Daca energia intrata in sistem este egala cu energia utila insumata cu pierderile de energie, atunci bilantul este definit ca bilant electroenergetic inchis. In caz contrar, bilantul poarta denumirea de bilant electroenergetic deschis.
In ambele cazuri, elaborarea bilantului electroenergetic trebuie sa inceapa cu determinarea regimurilor de lucru ale tuturor instalatiilor care intra in conturul de bilant, precum si cu studierea schemelor de alimentare cu energie a acestora, pe baza cunoasterii diagramelor de sarcina si a modului de utilizare si gospodarire a energiei electrice.
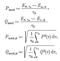
Sarcina electrica este formata din puterea activa, puterea reactiva, puterea aparenta a consumatorilor analizati, fie la un moment dat, fie pe o perioada anumita de timp. Daca pe perioada elaborarii bilantului, exista variatii sensibile de sarcina, in calcule se lucreaza cu sarcina medie. Pentru intocmirea graficelor de sarcina, pe perioada de bilant, trebuie cunoscute puterile instalate ale receptoarelor de energie si regimul lor de lucru.
Puterea instalata la nivelul tuturor receptoarelor de energie electrica simultan in functiune reprezinta suma puterilor nominale raportata la durata activa a ciclului (tactiv). Puterea instalata, la nivelul unui sistem (sectie, intreprindere etc.), Se determina pe baza puterilor nominale ale receptoarelor electrice ce intra in componenta sistemului respectiv. 'puterea medie activa (pmed) si reactiva (pmed) precum si valorile medii patratice ale acestora (pmed,p), in intervalul o to se calculeaza cu relatiile:
(8.61)
In care ea, t , ea, 0 sunt energiile active la momentul t , respectiv 0, in kwh; er, t , er, 0 - energiile reactive la momentul t , respectiv 0, in kwh; p(t), q(t) - puterile active si reactive la momentul t, in kw.
Sarcina medie determinata pentru schimbul cel mai incarcat serveste pentru calculul sarcinii maxime, iar sarcina medie patratica la calculul pierderilor de putere si energie.
Prin sarcina maxima se intelege valoarea cea mai ridicata dintre doua sarcini medii, care apare in intervalul de functionare. Se deosebeste sarcina maxima de durata si sarcina maxima de scurta durata. Prima serveste la dimensionarea retelei electrice din punct de vedere al conditiilor termice, iar cea de a doua la determinarea fluctuatiilor de tensiune si alegerea sigurantelor. Sarcina maxima este folosita si pentru determinarea pierderilor de energie.
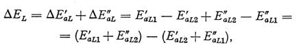
Luand in considerare puterile si energiile din cadrul unui anumit grafic de sarcina, se pot determina coeficientii care permit caracterizarea regimului de functionare in timp a instalatiilor supuse analizei.
Dintre coeficientii necesari elaborarii si analizei bilantului electroenergetic, retin atentia urmatorii [8] :
- coeficientul de utilizare a puterii instalate la nivelul unui agregat

(8.62)
In care pi este puterea instalata, in kw.
- coeficientul de utilizare a puterii instalate la nivelul unei grupe de utilaje

(8.63)
- coeficientul de forma a curbei de sarcina

In care
(8.64)
unde imed este valoarea medie a curentului, in a; imed,p - valoarea medie patratica a curentului, in a; u - tensiunea nominala a retelei de alimentare, in v.
- coeficientul de umplere a curbei de sarcina
(8.65)
unde pmax, imax reprezinta valorile maxime ale puterii, respectiv curentului, intr-o perioada data.
- coeficientul de simultaneitate
(8.66)
unde pmax,i este sarcina maxima individuala a unei componente a sistemului analizat.
- coeficientul de maxim al puterii active este un coeficient de calcul, definit ca raportul dintre sarcina de calcul (pc sau ic) si sarcina medie intr-un interval de timp dat
(8.67)
- coeficientul de cerere a unui grup de consumatori care se determina atat in conditii de proiectare ca raportul dintre sarcina de calcul si puterea instalata
(8.68)
cat si in conditii de exploatare, definita ca raportul dintre sarcina maxima absorbita in schimbul cel mai incarcat (pm.abs) si puterea instalata

(8.69)
Elaborarea bilanturilor electroenergetice reale presupune parcurgerea succesiva a urmatoarelor etape:
- elaborarea sau verificarea schemelor electrice si tehnologice ale sistemului supus analizei si inserarea in aceste scheme a aparatajului de masura si control necesar;
- delimitarea contururilor de bilant, fixarea punctelor de masura suplimentara si verificarea atenta a tuturor aparatelor destinate masurarii curentilor, puterilor si energiilor;
- efectuarea masuratorilor intr-o zi calendaristica de productie, rezultata din analiza consumului de energie pe un an anterior perioadei de bilant;
- determinarea energiei electrice intrate in conturul de bilant si departajarea ei in consum pentru iluminat si pentru productie (consumul se separa sub forma energiei active si reactive, calculandu-se factorul de putere mediu pe sistemul analizat);
- calcularea pierderilor de energie a tuturor consumatorilor din cadrul conturului de bilant;
- determinarea energiilor utile la nivelul utilajelor, instalatiilor si al intregului contur de bilant;
- calcularea bilantului electroenergetic si a indicatorilor de eficienta;
- analiza rezultatelor obtinute prin comparare cu indicatorii de proiect si cu performantele unor utilaje similare pe plan mondial;
- stabilirea masurilor tehnico-organizatorice necesare imbunatatirii regimului de functionare a tuturor componentelor sistemului analizat, in vederea atingerii, intr-un interval de timp cat mai redus, a performantelor optime.
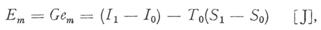
Ecuatia bilantului electroenergetic poate fi scrisa sub forma
(8.70)
In care ei este energia intrata in sistem, in kwh;
(8.71)
Eex este energia introdusa in sistem din exteriorul acestuia; eg - energia generata in interiorul sistemului analizat; eu - energia utila; eres - energia resurselor energetice secundare care ies din sistem sub forma de energie electrica; ep - energia pierduta in interiorul sistemului sub forma de pierderi in reteaua de distributie, Del, in transformatoare, Det, in electromotoare, Dem, in bobinele de reactanta, Debr.
Prin urmare, se poate scrie
(3.19)
Deoarece obiectivul principal al unui bilant consta in cunoasterea cauzelor si reducerea la minimum a pierderilor de energie, determinarea fiecarei componente a relatiei (3.19) capata o importanta deosebita.
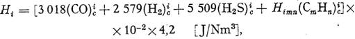
3.3.1.1. Determinarea pierderilor de energie electrica in liniile electrice de distributie. Pierderile de energie electrica in liniile de distributie se determina fie prin masurare directa, fie prin metode combinate (masurari indirecte si calcule analitice). De obicei, pierderile se determina pentru o zi calendaristica medie din intervalul la care se refera bilantul. Ele se pot masura insa si pentru intregul interval de timp stabilit pentru intocmirea bilantului respectiv.
Metoda masurarii directe a pierderilor de energie electrica se poate aplica numai liniilor de distributie radiale fara ramificatii si care nu au racordati consumatori in lungul lor. La aplicarea acestei metode, se utilizeaza fie contoare obisnuite de energie activa, fie contoare speciale de pierderi. In lipsa acestor aparate, se pot utiliza ampermetre etalonate special pentru asemenea masuratori.
1. In primul caz, pierderile de energie sunt date de relatia
![]()
(8.72)
In care eal1 si eal2 sunt energiile masurate la cele doua capete ale liniei analizate intr-un interval de timp stabilit, cu ajutorul contoarelor obisnuite de energie activa.
Pierderile de energie electrica intr-o linie in care energia circula in ambele sensuri, se determina prin masuratori directe cu ajutorul a doua seturi de cate doua contoare obisnuite, cu blocaj pe cate un sens, montate la capetele liniei analizate.
Relatia de calcul a pierderilor, pentru aceasta situatie, are forma:

(8.73)
In care exponentul' ' ' indica energiile citite la cele doua capete ale liniei la circulatia energiei intr-un sens, iar ' ' ' indica marimile citite pentru circulatia energiei in sens invers.
2. In cel de-al doilea caz, cand masurarea directa se realizeaza cu ajutorul contoarelor de pierderi, pierderile de energie electrica intr-o linie in care energia circula intr-un singur sens se determina cu relatia
![]()
(8.74)
Atunci cand incarcarile pe faze sunt inegale si se folosesc contoare de pierderi trifazate, si
(8.75)
Atunci cand incarcarea pe faze este egala si se folosesc contoare de pierderi monofazate.
In relatiile (3.22) si (3.23), rl reprezinta rezistenta pe o faza a liniei analizate, in W, iar Da - diferenta dintre indicatiile de la sfarsitul si inceputul intervalului de masura t, ale contorului de pierderi, in a2 h. Metoda de calcul a rezistentei pe o faza a liniei, rl, care este functie de gradul de incarcare a conductoarelor si de temperatura mediului ambiant, este reprezentata in detaliu in lucrarea [10].
Pentru liniile in care energia circula in ambele sensuri, masurarea pierderilor se realizeaza cu ajutorul a doua contoare de pierderi, cu blocaj de sens, montate cate unul la fiecare capat al liniei analizate. Pierderile de energie, atunci cand se folosesc contoare trifazate, se determina cu relatia
DEL = rl (Da1 + Da2) [kwh], (8.76)
Iar in cazul contoarelor monofazate, cu relatia
DEL= 3rl (Da1 + Da2) [kwh],
Indicii '1' si '2' se refera la citirile facute in cele doua sensuri, in intervalul de timp t
3. In cel de-al treilea caz, determinarea directa a pierderilor de energie electrica in linii se realizeaza cu ajutorul unor ampermetre etalonate special in RI2 sau direct in 3RI2, pentru fazele incarcate practic egal.
- determinarea pierderilor de energie electrica in linii prin masuratori indirecte si calcule se aplica in cazurile in care metodele prezentate mai sus nu pot fi folosite, deci la linii de distributie radiale care au de-a lungul lor racordati consumatori. Pierderile de energie se calculeaza cu relatia:
EL=
3 kf
rel tf [kwh] (8.77)
Unde kf este coeficientul de forma al functiei I = f(t) de variatie in timp a curentului I din linie, calculat cu expresia (3.9); Imed - valoarea medie a curentului masurat la capatul alimentat al liniei, in kA;
Imed
=
(8.78)
Ii este valoarea curentului masurat la jumatatea intervalului i, la capatul alimentat al liniei, in ka; n - numarul de intervale egale la care se face citirea curentului; tf - timpul de functionare a liniei, in h; rel - rezistenta echivalenta, pe faza, a liniei, in W
Prin rezistenta echivalenta a unei linii se intelege rezistenta unei linii conventionale prin care circula un curent egal cu curentul real de la capatul de alimentare al liniei reale considerate si care are pierderile egale cu cele ale liniei reale. Aceasta rezistenta echivalenta se calculeaza cu relatia:
Rel
=
(8.79)
In care Dea t reprezinta pierderile de energie activa in intervalul de timp t, in kwh; i + intensitatea curentului la capatul de alimentare al liniei, in a.
3.3.1.2. Determinarea pierderilor de energie electrica la transformatoarele electrice. Pierderile de energie electrica activa in transformatoarele cu doua infasurari se determina cu expresia:
DET = Dp0tt b Dpsetf Dpsts [kwh], (8.80)
care Dp0 reprezinta pierderea de putere activa in transformator in mersul in gol, considerata egala cu pierderea in fier; Dpse - pierderea de putere activa in transformator, la functionarea sa in scurtcircuit, considerata egala cu pierderile in cupru; Dps - pierderea de putere activa suplimentara, in cazul transformatoarelor cu racire fortata (aceste trei componente ale pierderii de putere sunt date in cataloage sau in pasaportul transformatorului respectiv); b - coeficientul de sarcina al transformatorului:
b = kf
(8.81)
In - intensitatea nominala a curentului transformatorului; tt + timpul total de conectare; tf + timpul de functionare in sarcina; ts - timpul de functionare a instalatiei de racire.
}n cazul transformatoarelor cu trei infasurari, pierderile de energie electrica se determina cu formula:
Det(3) = Dp0tt +
Dpsc1tfi +
Dpscmtfm +
Dpscjtfj Dpsts [kwh], (8.82)
Unde tfi tfm tfj reprezinta timpul de functionare in sarcina a infasurarilor de inalta, medie si joasa tensiune.
3.3.1.3. Determinarea pierderilor de energie electrica in bobinele de reactanta. Pierderile de energie electrica in bobinele de reactanta trifazate se calculeaza cu urmatoarea relatie:
DEBR = 3 kf
t [kwh], (8.83)
3.3.1.4. Determinarea pierderilor de energie
electrica in electromotoare. Pierderile de energie electrica in
electromotoare au o dubla provenienta si anume: pierderi de
natura electromagnetica, care apar in cuprul (
) si fierul (
) motorului si pierderi de natura mecanica
atat in motorul propriu-zis, cat si in mecanismul antrenat (
). Pierderile de energie electrica in electromotoare se
pot exprima analitic prin expresia:
DEm = (
) + (
) + (
) [kwh], (8.84)
Termenii relatiei (3.33) se determina prin masuratori si calcule, metoda fiind functie de regimul de lucru al electromotorului. Se pot distinge doua regimuri de lucru bine definite si anume: regim de lucru practic uniform si regim de lucru variabil care presupune repetate perioade de regimuri tranzitorii (porniri, opriri, inversari de sens, etc.).
- in primul caz, deci al regimului uniform de lucru, pierderile sunt calculate astfel:
a) pierderile in cupru:
= 3
re tf [kwh], (8.85)
In care: kf este coeficientul de forma care, in general, are valori cuprinse intre 1,01 si 1,1; in cazul motoarelor asincrone, kf se ia intotdeauna egal cu 1,1; Imed - valoarea medie aritmetica a curentului absorbit de motor in intervalul tf, in A; Re - rezistenta echivalenta a motorului, in [W]; aceasta se considera:
pentru motoarele de curent continuu
Re = gind (8.86)
pentru motoarele sincrone
Re gstator
pentru motoarele asincrone cu inele colectoare
Re
= g +
(8.87)
Unde g este rezistenta statorului, in W;
- rezistenta
rotorului redusa la stator, in W
=
, (8.88)
pentru motoarele asincrone fara inele colectoare:
Re
=
[W (8.89)
In care P1 este puterea absorbita de motor la o sarcina oarecare, in kW; P0 - puterea de mers in gol a motorului cuplat cu utilajul antrenat, in kW; I1 - curentul absorbit la sarcina P1, in A; I0 - curentul corespunzator lui P0 in A.
b) pierderile in fier
pentru motoarele asincrone cu inele colectoare:
= (Prd - 3
) tf [kwh], (8.90)
In care Prd este puterea absorbita de motorul avand circuitul rotoric deschis, masurata cu ajutorul wattmetrului, in W; I1d - curentul statoric cand circuitul rotoric este deschis, in A.
pentru toate celelalte tipuri de motoare, determinarea acestei componente a pierderilor de energie este foarte dificila. De aceea, ele se determina impreuna cu pierderile mecanice cu relatia:
, (8.91)
c) pierderile mecanice:
in cazul motoarelor de curent continuu, pierderile mecanice fiind foarte mici, ele pot fi neglijate;
pentru motoarele asincrone cu inele colectoare, pierderile mecanice se determina cu relatia:
(8.92)
pentru toate celelalte tipuri de electromotoare, pierderile mecanice se determina impreuna cu pierderile in fier, conform relatiei
in regimului de functionare variabila, pierderile constante in fier si cupru au valori destul de mici in raport cu pierderile variabile ceea ce permite neglijarea lor. Prin urmare, pierderile datorite functionarii in regim tranzitoriu sunt pierderile determinate si ele se pot calcula cu relatia:
(8.93)
In care:
este pierderea de
energie pe un ciclu de pornire; np + numarul de porniri in
intervalul de timp tf;
- numarul de
franari mecanice, electrice sau prin inversarea sensului curentului, in
perioada tf; ninv - numarul de cicluri
de inversare a sensului de rotatie, in perioada tf
Pierderea de energie pe un ciclu de pornire se determina cu formula
![]()
(8.94)
unde K este un coeficient care depinde de tipul motorului; astfel, pentru motoarele de curent continuu cu excitatie in derivatie, K = 1; pentru motoarele asincrone cu rotorul in scurt circuit si pentru motoarele sincrone cu pornire in asincron, K = 2; iar pentru restul motoarelor asincrone K = 1 + r1/r2; no - viteza de rotatie la functionarea in gol; G.D2 - momentul de giratie al ansamblul motor-mecanism antrenat, in kgf m2,
![]()
(8.95)
unde sunt pierderile mecanice de putere
ce se determina cu relatia
![]()
(8.96)
ao este acceleratia de franare in primul moment dupa oprire, care se determina astfel: dupa aducerea motorului la turatia nominala de mers in gol, se intrerupe alimentarea; din acest moment, se ridica curba de descrestere a turatiei n = f(t), la care se duce tangenta geometrica in punctul t = 0; aceasta tangenta reprezinta tocmai marimea ao = dn/dt
3.2. Conceptia elaborarii bilanturilor termoenergetice
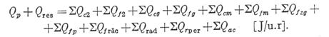
Bilantul termoenergetic exprima corelatia dintre caldura intrata intr-un contur de bilant, pierderile care au loc si energia utila, necesara proceselor tehnologice ce se desfasoara in sistemul analizat. Analitic, bilantul termoenergetic se exprima prin relatia:
![]()
(8.97)
in care Qi reprezinta cantitatea de caldura intrata (introdusa) in conturul de bilant analizat, raportata, dupa tipul bilantului, la o ora, la un ciclu de productie sau la unitatea de produs realizata (notata cu unitatea de referinta); Qu - caldura utila, in J/u.r.; Qp -pierderile de caldura la nivelul conturului de bilant, in J/u.r.; Qres - cantitatea de caldura livrata altor contururi ca resursa energetica secundara recuperata, in J/u.r.
Toti termenii ecuatiei (3.47) au o structura complexa si numai o analiza de detaliu a fiecaruia permite cunoasterea si interpretarea corecta a bilantului termoenergetic.
3.2.1. Caldura intrata. Prin
caldura intrata sau introdusa in sistemul analizat se
intelege suma cantitatilor de caldura introduse in
conturul de bilant prin combustibilii consumati
, prin
gazele calde sau alte resurse energetice secundare provenite din alte contururi
si utilizate in sistemul analizat,
, prin alti purtatori de
caldura ca de exemplu: aerul de ardere, fluide de racire,
materii prime si materiale tehnologice, dispozitivele de transport ce le
insotesc,
, prin energia electrica utilizata
pentru procesele de incalzire,
, precum si caldura rezultata
prin reactii chimice exoterme (exclusiv cele de ardere a combustibililor),
.
Prin urmare, caldura intrata in conturul de bilant se poate exprima prin relatia:
(8.98)
a) cantitatea de caldura introdusa in conturul de bilant cu combustibilii consumati se determina cu relatia:
(8.99)
in
care
reprezinta cantitatea totala de
caldura chimic legata a combustibililor consumati;
- suma cantitatilor de
caldura fizica (sensibila) a combustibililor respectivi;

(8.100)
unde Bi reprezinta cantitatea de combustibil introdus in sistem in unitatea de referinta, in kgf pentru combustibilii solizi sau lichizi si in Nm3 pentru combustibilii gazosi; Hi - puterea calorifica inferioara a combustibilului respectiv, exprimata in J/kgf sau J/Nm3; iBi - entalpia combustibilului la temperatura tbi de intrare in contur, in J/kgf sau J/Nm3.
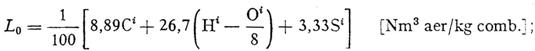
Puterea calorifica inferioara a combustibililor reprezinta cantitatea de caldura utila ce se degaja de catre unitatea de combustibil prin ardere completa. Ea se determina fie prin masuratori speciale in laborator, fie se calculeaza cu relatii de forma:
- pentru combustibilii solizi sau lichizi

(8.101)
- pentru combustibili gazosi

unde
reprezinta
cotele gravimetrice procentuale de carbon, hidrogen, oxigen, sulf combustibil
si umiditate din compozitia chimica a probei initiale;
- componentele
combustibilului gazos in procente volumetrice din compozitia chimica
a combustibilului;
puterea
calorifica inferioara a hidrocarburilor de tipul CmHn ce intra in
compozitia combustibilului gazos.
Pentru calcule informative si cu un grad destul de mare de aproximatie, pot fi utilizate valorile puterilor calorifice inferioare ale diferitelor tipuri de combustibili date in literatura de specialitate [19].
In cazul in care, in instalatia analizata, se ard mai multi combustibili, este necesara determinarea puterii calorifice a amestecului respectiv. Aceasta presupune cunoasterea puterii calorifice inferioare si a cotei de participare in amestec a fiecarui component al amestecului.
Puterea calorifica inferioara a amestecului se determina cu relatia:
Pentru un amestec de combustibili solizi, lichizi si gazosi
![]()
(8.102)
Pentru un amestec de combustibili gazosi
![]()
(8.103)
unde Gj reprezinta cantitatile in greutate ale combustibilului solid si lichid ce se amesteca, in kgf; Vk - cantitatile de combustibili gazosi ce se amesteca, in Nm3; kk - participarea volumetrica a fiecarui combustibil gazos in amestec, in %.
Entalpia combustibilului, ibi , folosita la determinarea caldurii sensibile, se calculeaza astfel:
pentru combustibili solizi si lichizi
(8.104)
- pentru combustibili gazosi ca si pentru gazele calde
(8.105)
in
care Vj reprezinta continutul volumetric al diferitelor
componente gazoase ale combustibilului respectiv, in %; ij -
entalpia acestor componente la temperatura de intrare in conturul de
bilant tbi , in J/kgf;
- caldura
specifica medie a combustibilului in intervalul de temperaturi 00C
si tBi , in J/kg0C.
Caldura specifica medie se calculeaza cu urmatoarele relatii:
- pentru combustibili solizi
![]()
(8.105)
unde C'm este caldura specifica a combustibilului perfect uscat si se ia din tabele;
- pentru combustibili lichizi
In care t este temperatura combustibilului, in C0 ;
Pentru combustibili gazosi, Cm , se ia din tabelele caracteristicile corespunzatoare combustibililor respectivi;
Pentru un amestec de combustibili solizi, lichizi si gazosi
![]()
(8.106)
unde bj este ponderea gravimetrica sau volumetrica a combustibilului j in amestecul respectiv, in % ; Cmj - caldura specifica medie a combustibilului j determinata prin metodele indicate mai sus, in J/kg0c sau J/nm3 0c.
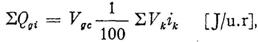
b) Cantitatea de caldura introdusa in conturul de bilant cu gazele calde sau alte resurse energetice secundare provenite din alte contururi, Sqgi , se determina cu relatia
![]()
(8.107)
in care Vgc reprezinta cantitatea de gaze calde intrata in conturul de bilant in unitatea de referinta, in nM3/u.r; Vk - continutul volumetric al componentelor gazoase, in %; ik - entalpia acestor componente la temperatura tgci de intrare in contur, in J/Nm3.
c) Cantitatea de caldura introdusa in conturul de bilant, Sqfmi , prin alti purtatori de caldura ca: aerul de ardere (inclusiv aerul fals), ql, fluide de racire, Sqrac,i , aburul de injectie a combustibilului lichid, qinf, aburul tehnologic, qab.teh, materii prime, materiale tehnologice, dispozitive de transport al acestora etc., Qmi, se poate exprima in forma cea mai generala cu urmatoarea relatie
![]()
(8.108)
Termenii expresiei (3.63) se determina dupa cum urmeaza
![]()
in care l reprezinta coeficientul excesului de aer;
Pentru combustibilii solizi si lichizi
(8.109)
- pentru combustibilii gazosi
(8.110)
Unde
(3.67)
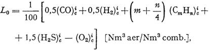
CO2, SO2, CO, CH4, H2 si N2 reprezinta participatia volumetrica a componentelor respective an gazele de ardere, in %; L0 - cantitatea teoretica de aer necesar arderii unitatii de combustibil, in nm3/kg sau Nm3/Nm3;
- pentru combustibilii solizi
si lichizi
(8.111)
- pentru combustibili gazosi
(8.112)
unde n este coeficient care tine seama de pierderile prin ardere mecanic incompleta; pentru combustibilii lichizi si gazosi, n = 0, iar pentru combustibilii solizi este functie de cantitatea de nearse in zgura si in cenusa volanta; lv - cantitatea de aer preincalzit in alt contur si introdusa in conturul de bilant, in Nm3/u.r.; Ilv , ilp - entalpia aerului preincalzit la temperatura tlvi de intrare in contur, respectiv, entalpia aerului la temperatura tlp a aerului la intrarea in priza de aer, in J/Nm3;
![]()
(8.113)
in care Grac.i este cantitatea de fluid de racire intrat in conturul de bilant, in kg/u.r; irac.i - entalpia fluidului de racire la temperatura trac.i de intrare in contur, in J/kg;
(8.114)
unde ginj reprezinta consumul specific de abur utilizat la injectarea combustibilului, in kg abur / kg comb. ; iinj - entalpia aburului de injectie functie de presiune si temperatura de utilizare, in J/kg.
(8.115)
In care Gab.teh.j reprezinta cantitatea de abur tehnologic de calitate j utilizat in procesul tehnologic, in kg/u.r.; Iab.teh.j - entalpia aburului j corespunzatoare presiunii si temperaturii cu care acesta intra in contur, in J/kg;
![]()
(8.116)
unde Gmi si Vmi reprezinta cantitatea in greutate, respectiv in volum a materialelor intrate in contur in unitatea de referinta a bilantului, in kg/u.r. sau Nm3/u.r.; imi - entalpia materialelor la temperatura de intrare a acestora in contur, in J/kg sau j/Nm3.
d) Cantitatea de caldura generata in conturul de bilant de reactiile chimice exoterme (exclusiv cea rezultata din arderea combustibililor) si cea preluata prin reactiile endoterme se determina analitic cu ajutorul legii lui Hess, in conformitate cu care, caldura corespunzatoare unei reactii chimice Qr este data de suma produselor dintre numarul nkf de moli si caldura de formare DHkf a tuturor substantelor finale, din care se scade suma produselor dintre numarul nji de moli si caldura de formare DHji a tuturor substantelor initiale. Prin urmare, se poate scrie
![]()
(8.117)
cand Qr < 0 - reactia este endoterma; Qr > 0 - reactia este exoterma.
Daca reactia nu are loc la presiune si temperatura standard, adica 760 mm Hg si 292 sau 298 k, caldura de reactie trebuie sa fie corectata in mod corespunzator, lucru ce se poate realiza in doua etape si anume:
- corectia de presiune se realizeaza cu relatia:
![]()
(8.118)
In care T este temperatura absoluta la care se produce reactia, in K ; R - constanta universala a gazelor, in kcal/mol K; ngf , ngi - numarul de moli de substanta finala in stare gazoasa rezultata, respectiv de substanta initiala introdusa in reactie;
- corectia de temperatura se realizeaza asupra caldurii de formare standard (Dh)st data pentru diverse substante in tabelele din literatura de specialitate [20]. Astfel, de substanta finala in stare gazoasa rezultata, respectiv de substanta initiala introdusa in reactie;
- corectia de temperatura se realizeaza asupra caldurii de formare .standard (Dh)st data pentru diverse substante in tabelele din literatura de specialitate [20]. Astfel,
![]()
iar
(8.119)
unde a, b, c, si e sunt coeficienti numerici din relatia de calcul a caldurii specifice molare a substantei respective in functie de temperatura.
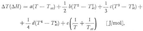
Pe baza caldurii de reactie, se calculeaza cantitatea de caldura aqex pentru substantele analizate in cadrul bilantului termoenergetic respectiv. Astfel, daca substanta de referinta este solida sau lichida.
(8.120)
In care G si V reprezinta cantitatea din substanta de referinta introdusa sau .scoasa din conturul din bilant in unitatea de referinta, in kgf sau Nm3; M - greutatea moleculara a substantei de referinta aleasa.
3.2.2. Caldura utila. Prin caldura utila, in cadrul unui contur de bilant termoenergetic, se intelege, in forma cea mai generala, suma constituita din cantitatile de caldura necesare realizarii reactiilor chimice endoterme ce au loc in sistemul analizat, aqend; caldura chimic legata, aqcb, respectiv caldura sensibila, aqsb, a combustibililor produsi in contur si evacuati din acesta inclusiv gazele tehnologice combustibile; caldura fizica a materialelor principale si auxiliare realizate in interiorul conturului de bilant, precum si a dispozitivelor de transport al acestora, aqfm si caldura necesara evaporarii apei introduse cu materialele intrate in contur, aqapa. Se poate scrie deci, ca
Qu = aQend + aQcB + aQsB + aQfm + aQapa [J/u.r] (8.121)
a) cantitatile de caldura necesare realizarii reactiilor endoterme (Qr > 0) se calculeaza, pentru substantele de referinta introduse sau evacuate din conturul sistemului analizat, cu relatiile (3.80) sau (3.81) functie de starea fizica a substantei respective.
b) cantitatile de caldura chimic legate, respectiv caldura sensibila a combustibililor produsi in contur si evacuati din acesta, precum si caldura fizica a materialelor principale si auxiliare si a dispozitivelor de transport al acestora se determina cu relatii similare expresiilor (3.50), (3.51), (3.62) si (3.63) in care se introduc, de data aceasta, caracteristicile specifice noilor purtatori de energie, care ies din sistemul analizat.
c) Vaporizarea apei tehnologice introduse in contur, a celei provenite din umiditatea higroscopica, de imbibatie si de cristalizare a materialelor consumate in sistemul analizat, precum si supraincalzirea vaporilor rezultati din aceste procese necesita consumul unei anumite cantitati de caldura, care se poate determina cu ajutorul urmatoarei relatii:

(8.122)
in care Gj
reprezinta cantitatea materialului intrat in conturul de bilant in
kg/u.r sau Nm3/u.r;
- umiditatea
higroscopica si de imbibatie initiala, finala
si de cristalizare a materialului j
introdus in contur, in g apa/kg material; wteh - cantitatea de
apa tehnologica intrata in contur, in kg/u.r; cpv -
caldura specifica a vaporilor de apa supraincalziti,
corespunzatoare temperaturii t2,
in J/kg 0C; t2
- temperatura gazelor evacuate la cos, in 0C.
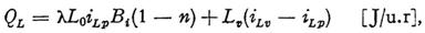
3.2.3. Pierderile de caldura. Ultimii doi termeni ai ecuatiei (3.47) se determina, de obicei, impreuna si reprezinta pierderile de caldura la nivelul conturului si cantitatea de caldura livrata altor sisteme sub forma de resurse energetice secundare recuperate. In general, acestea se constituie din: cantitatile de caldura chimic legate, ∑Qc2, respectiv caldura fizica, ∑Qf2, a gazelor de ardere evacuate la cos sau livrate spre a fi folosite in alte contururi; caldura chimic legata, ∑Qcg, respectiv caldura fizica ∑Qfg, a gazelor de ardere evacuate prin usi si alte orificii deschise ale instalatiilor; caldura chimic legata evacuata prin ardere mecanic incompleta in zgura, cazatura sau cenusa volanta, ∑Qc n, si respectiv caldura fizica a acestora, ∑Qfm; caldura fizica evacuata din instalatia analizata cu zgura, ∑Qfzg, praful antrenat la cos, ∑Qfp, precum si cu fluidele de racire ale diverselor ansamble ale instalatiei, ∑Qfcae; caldura radiata in mediul inconjurator prin usi sau alte orificii deschise ∑Qrad, precum si prin peretii instalatiei, ∑Qrper; si in sfarsit, cantitatea de caldura acumulata in peretii instalatiilor analizate in perioadele tranzitorii, pana la atingerea, regimului stationar de functionare, ∑Qac.
Prin urmare, se poate scrie:

(8.123)
a) Cantitatea de caldura chimic legata a gazelor de ardere evacuate la cos se determina cu relatia:

(8.124)
in care, in plus fata de notatiile deja explicitate, apar: Vga - volumul gazelor rezultate din arderea unei unitati de combustibil, in Nm3/kg sau Nm3/Nm3; Vgar - volumul gazelor de ardere evacuate din instalatia analizata prin usi sau alte deschideri, in Nm3/u.r.
b) Cantitatea de caldura pierduta din instalatia analizata datorita caldurii sensibile a gazelor de ardere evacuate la cos se calculeaza cu relatia:
(8.125)
unde Vjga reprezinta ponderea volumetrica a componentei j din gazele de ardere evacuate la cos, in %; iiga - entalpia componentei j din gazele din ardere, calculata la temperatura t2, in J/Nm3.
c) Cantitatea de caldura chimic legata a gazelor de ardere scapate din instalatie prin diverse orificii, usi deschise etc. se determina cu relatia:
![]()
(8.126)
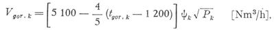
unde Vgor.k reprezinta volumul gazelor de ardere scapate orar prin orificiul sau deschiderea k, in Nm3/h; k - timpul cat sta deschis orificiul k, in h; Htg. k - puterea calorifica inferioara a gazelor de ardere scapate prin orificiul k, in J/Nm3.
De obicei, determinarea atat a volumului de gaze scapate prin crapaturile instalatiilor, cat si puterea lor calorifica inferioara este foarte dificila si necesita calcule laborioase pe baza unor masuratori, care intotdeauna sunt destul de aproximative, ale geometriei crapaturilor a caracteristicilor fizice si chimice ale gazelor respective, precum si a regimurilor de functionare ale instalatiilor analizate.
Considerand o greutate specifica medie uzuala de 1,31 kg/Nm3 si un nivel de temperatura intre 1200 si 18000C, volumul gazelor de ardere evacuate prin deschiderea k se poate determina cu relatia:
![]()
(8.127)
in care tgor.k reprezinta temperatura gazelor in interiorul instalatiei, in dreptul deschiderii k, in C; Pk - presiunea de iesire a gazelor, in centrul orificiului sau deschiderii k, in mm H2O; yk - coeficient care tine seama de geometria orificiului sau deschiderii k; yk = 0,85 pentru usi si orificii cu muchii groase; yk = 0,6 + 0,7 pentru orificii cu muchii ascutite.
d) Cantitatea de caldura pierduta cu gazele de ardere evacuate prin diverse orificii si deschideri se determina cu relatia:
![]()
(8.128)
unde igor, k reprezinta entalpia gazelor de ardere iesite prin orificiul k, corespunzatoare temperaturii tgor, k, in J/Nm3;
![]()
(8.129)
in care Vjgor.k este ponderea volumetrica a componentei j in gazele de ardere evacuate prin orificiul k, in %; ijgor.k - entalpia corespunzatoare componentei j, la temperatura tjgor.k, in J/Nm3.
e) Cantitatea de caldura chimic legata evacuata prin ardere mecanic incompleta in particulele de combustibil cuprinse in zgura, cazatura si cenusa volanta se calculeaza cu relatia:
![]()
(8.130)
unde Gzg, Ggr, Gcv reprezinta cantitatea de zgura, respectiv cantitatea de combustibil cazut printre barele gratarului, precum si cantitatea de praf volant antrenat de catre gazele de ardere, in kg/u.r; Hizg, Higr, Htcv - puterile calorifice inferioare corespunzatoare celor trei grupe de pierderi, in J/kg.
f) Cantitatea de caldura evacuata prin caldura sensibila a pierderilor mecanic incomplete se determina cu relatia:
![]()
(8.131)
in care cmzg, cmgr, cmcc reprezinta caldura specifica medie a zgurii, respectiv cazaturii prin barele gratarului si a, cenusii volante la temperaturile medii la care se evacueaza din instalatie fiecare din componentele mentionate, in J/kg 0C; tig, tgr, tcv - temperaturile la care sunt evacuate cele trei componente, in 0C.
g) Cantitatea de caldura evacuata din instalatia analizata prin caldura sensibila a zgurii extrase in stare granulata sau lichida se calculeaza cu expresia:
![]()
(8.132)
h) Cantitatea de caldura evacuata din instalatie cu caldura sensibila a prafului de materiale tehnologice antrenate cu gazele de ardere se determina cu relatia:
![]()
(8.133)
in care p este continutul de praf in greutate intr-un Nm3 de gaze de ardere in kg/Nm3; cmp - caldura specifica a prafului corespunzatoare temperaturii t2, in J/kg 0C.
i) Cantitatea de caldura evacuata prin caldura preluata de fluidele de racire ale diverselor subansamble se calculeaza cu relatia:
![]()
(8.134)
unde Grac.i reprezinta cantitatea fluidului de racire i, in kg/u.r ; irac.i - entalpia fluidului de racire i la temperatura de evacuare a fluidului respectiv din instalatie, in J/kg.
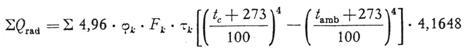
j) Cantitatea de caldura pierduta prin radiatie in mediul ambiant prin usi sau alte orificii deschise se determina cu expresia:

(8.135)
unde 4,96 este coeficientul radiatiei totale a corpului absolut negru, in kcal/m2hK4; jk - coeficientul de diafragmare a orificiului k, functie de configuratia sa geometrica; Fk - sectiunea orificiului k, in m2; tamb, tc - temperatura mediului ambiant, respectiv a corpului care radiaza (gaze de ardere, suprafata baii, etc.) in dreptul orificiului k, in 0C.
k) Cantitatea de caldura pierduta de instalatia analizata in mediul ambiant prin radiatia peretilor se determina pentru doua perioade caracteristice si anume: perioada de incalzire a instalatiei, t pana atinge regimul stabilizat si perioada de functionare in regim stabilizat, t . Pierderile care au loc in perioada de racire sunt afectate perioadei de nefunctionare a instalatiei. Prin urmare, se poate scrie:
![]()
(8.136)
In scopul calcularii pierderilor prin radiatie, intreaga suprafata a instalatiei analizate se imparte in elemente caracterizate de aceeasi temperatura medie a peretilor si aceeasi constitutie a izolatiei.
Cantitatea de caldura pierduta prin radiatia peretilor, in regim stabilizat, se calculeaza cu relatia:
![]()
(8.137)
unde trs este timpul de functionare a instalatiei in regim stabilizat, in h; Fjv, Fi rest - suprafata exterioara a elementului j din portiunea de vatra respectiv din restul peretilor, in m2; qjv, qj rest - cantitatea de caldura pierduta orar pe unitatea de suprafata a elementului j din portiunea vetrei respectiv din restul peretilor, in J/m2h.
In literatura de specialitate [9] sunt date in detaliu metodele de determinare practica a tuturor acestor marimi.
Pentru calcularea celui de al doilea termen al relatiei (3.97), perioada de incalzire a instalatiei este impartita in intervale de timp d1, d2, d3, definite prin ridicarea cu circa 20-30 % a temperaturii peretilor, fata de nivelul atins in regimul stabilizat. Pentru fiecare din aceste intervale, se determina valori ale parametrilor folositi in relatia (3.98), care se aplica pentru fiecare din intervalele de timp stabilite. Astfel, ca:
![]()
(8.138)
1) Cantitatea de
caldura pierduta prin acumulare se determina ca suma a
pierderilor de caldura in zona vetrei si in restul
peretilor:
iar (8.139)
unde vjs este volumul materialului din stratul izolator s, corespunzator elementului de suprafata Fj rest, in m3; gs - greutatea specifica a materialului .din stratul s, in kg/m3; cs - caldura specifica medie a materialului din stratul s, intre temperaturile tmsi si tmsf, in J/kg0C; tmsi, tmsf - temperatura medie a stratului s in momentul initial al perioadei de racire, respectiv temperatura finala, in 0C.
Se poate considera [14] ca, DQac v = (0,15 - 0,20)aQac rest.
Prin urmare:
(8.140)
Conceptia elaborarii bilantului exergetic
Bilantul exergetic furnizeaza precizari foarte importante in ce priveste valoarea pierderilor reale de energie, localizarea si stabilirea adevaratelor cauze ale pierderilor, permite analizarea concreta a masurilor tehnico-organizatorice menite sa contribuie la diminuarea pierderilor si inclusiv la ridicarea performantelor proceselor respective.
Aplicarea metodei de analiza exergetica presupune determinarea tuturor componentelor unui bilant exergetic, precum si a parametrilor de stare ai purtatorilor de energie ce participa intr-un contur de bilant.
Asa cum s-a aratat anterior, exergia unei energii ordonate este egala ca valoare chiar cu energia respectiva. In cele ce urmeaza, vor fi prezentate relatiile de calcul ale principalelor componente ale bilantului exergetic.
a) Exergia corespunzatoare unei energii mecanice este data, prin definitie, de relatia:
Emec = Wmec [J/u.r]. (8.141)
b) Exergia corespunzatoare unei energii electrice este definita de expresia:
Eee = Wee [J/u.r]. (8.142)
c) Exergia introdusa sau evacuata dintr-un contur de bilant de catre cantitatea G, in kg sau Nm3, dintr-un material se determina cu relatia:
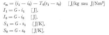
![]()
(8.143)
in care em reprezinta exergia unitatii de masa sau de volum din materialul respectiv, in J/kg sau J/Nm3;

(8.144)
i1, i0 este entalpia materialului in starea 1, respectiv in starea de referinta, in J/kf sau J/Nm3; s1; s0 - entropia materialului in starea 1, respectiv in starea de referinta, in J/kg K sau J/Nm3 K; T0 = temperatura absoluta a starii de referinta, in K.
d) Exergia unei unitati de combustibil este data de relatia:
![]()
(8.145)
unde st este entropia produselor finale ale arderii, la temperatura finala (teoretica) de ardere, in J/kg K sau J/Nm3 K.
De mentionat ca, exergia unui combustibil reprezinta, de fapt, exergia amestecului de combustibil cu aerul la un exces dat. Prin urmare, exergia este functie nu numai de combustibil, ci si de cantitatea de aer. Exergia unui combustibil se micsoreaza cu cresterea excesului de aer. In lucrarea [21] se prezinta in detaliu metodica de calcul a exergiei combustibililor si dependenta acesteia de excesul de aer.
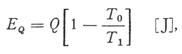
e) Exergia unei cantitati de caldura Q cedata sau preluata de o masa materiala, la presiune constanta, este data de expresia:

(8.146)
unde T1 este temperatura purtatorului caldurii Q, in K.
f) Pierderea de exergie in cadrul unui proces de transfer a cantitatii de caldura Q, intre temperaturile T1 si T2, se determina cu relatia:

(8.147)
Conceptia elaborarii bilanturilor energetice generale
Bilantul energetic general rezulta prin insumarea bilanturilor electro-energetice si termoenergetice de la nivelul sistemului analizat.
Energiile din structura bilantului energetic general pot fi transformate in combustibil si in acest caz, se obtine bilantul de combustibil, la nivelul ansamblului cercetat.
Bilantul energetic general poate fi elaborat la nivelul sectiilor de productie, la nivelul intreprinderii, al ramurii industriale si la nivelul economiei nationale.
La elaborarea fiecarei forme de bilant, trebuie aplicata conceptia sistemica de abordare a fenomenelor analizate, conform-careia, fiecare element al sistemului se analizeaza tehnologic si functional in raport cu ansamblul elementelor din structura conturului de bilant. Aplicarea conceptiei sistemice la elaborarea bilantului energetic general reclama parcurgerea tuturor lanturilor tehnologice, incepand cu sursa de energie primara si terminand cu consumatorii de energie. Deci, energia primara livrata de sursa trebuie calculata, plecandu-se de la consumator, unde energia apare sub forma de energie utila la care se adauga pierderile de energie in ansamblul instalatiilor ce leaga consumatorul de sursa de energie primara.
Bilantul energetic general trebuie sa reflecte situatia consumului util si al pierderilor de energie la nivelul tuturor instalatiilor dintre sursa si consumator. Astfel, in bilant, trebuie sa se reflecte situatia energetica din cadrul instalatiilor de extractie, .transport, distributie, transformare si utilizare a energiei la nivelul tuturor purtatorilor. Ecuatia de bilant, sub forma sa cea mai generala, se poate scrie astfel:
![]()
(8.148)
in care Eprim reprezinta energia primara; Eu - energia utila; DEut - energia pierduta ia nivelul instalatiilor de utilizare; DEtf - pierderile de energie la nivelul instalatiilor de producere, transport si distributie; DEti - pierderile de energie la nivelul instalatiilor de pregatire a combustibilului (cocserii, .semicocserii, furnale instalatii pentru lichefiere, etc.); DEp - pierderile de energie la nivelul prepararii purtatorilor (prelucrare, brichetare, rafinare, preparare, etc.); DEb - pierderile de energie la nivelul sursei primare.
Pentru determinarea pierderilor, la diverse niveluri ale sistemului analizat, trebuie avut in vedere urmatoarele:
- Energia electrica si termica nu se pot stoca decat partial si incomplet, pe cand combustibilul are avantajul stocarii. Ca urmare, optimizarea nivelului de pierderi se poate face la nivelul bilantului energetic general pe termen scurt de cel putin un an si pe termen lung, tinand seama de perspectiva dezvoltarii sistemului de energie analizat;
- Lanturile energetice care leaga sursa de energie de consumator sunt formate din instalatii complexe (sursa, instalatiile de producere, transport si distributie a energiei si consumatorii de energie). Aceste instalatii se caracterizeaza prin fluxul de energie, prin caracteristica de consum si prin caracteristica de cheltuieli. Fluxul de energie cuprinde energia debitata de lantul energetic pe orizontul de prognoza, caracteristica de cheltuieli intervenind in cadrul modelului de bilant energetic general sub forma de functie de eficienta, iar caracteristica de consum sub forma de restrictie. Modelul matematic al functionarii de durata a bilantului energetic general trebuie construit, tinand seama de faptul ca, cheltuielile de transport difera de la un lant energetic la altul, datorita amplasarii in locuri diferite a surselor fata de consumatori. Consumatorii preiau din sistem diferite feluri de energii, care se acopera de la diverse surse. Energiile preluate la nivelul consumatorilor nu se pot stoca decat partial si incomplet, cu exceptia combustibililor clasici si nucleari;
- Datele necesare intocmirii si optimizarii unui bilant energetic trebuie sa cuprinda: energiile utile pe consumatori individuali si grupati, indicatori tehnici si economici ai lanturilor energetice, resursele primare disponibile pe intervalul de timp considerat si pe tipuri de purtatori de energie, restrictiile problemei studiate privind posibilitatea utilizarii mai multor feluri de combustibil, pentru unul si acelasi consumator, corelatia dintre energiile produse si cele consumate, pastrarea unui anumit nivel al rezervelor de combustibil din sistem etc.;
- Construirea unor instalatii echivalente la nivelul sursei, la nivelul producerii si transportului energiei si la nivelul consumatorilor trebuie realizata in conceptie sistemica.
Conditiile de inlocuire a unei multimi de instalatii cu o instalatie echivalenta sunt: amplasament identic ca distanta fata de centrul de consum, posibilitate aproximativ identica de inlocuire a unui purtator de energie cu altul.
- Determinarea lungimii echivalente de transport a energiei trebuie realizata in conditii tehnico-economice precise. Lungimea echivalenta de transport a energiei rezulta din conditia egalitatii cheltuielilor de transport de pe reteaua reala cu cele pe lungimea echivalenta, in ipoteza repartitiei uniforme a consumului de-a lungul retelei de transport si distributie.
Daca se urmareste modelarea in conceptie sistemica a unui bilant energetic, general, pe baza cheltuielilor totale actualizate, Zt.ac, se pot utiliza urmatoarele relatii:
![]()
(8.149)
in care
reprezinta
cheltuielile totale actualizate pentru cercetarea proiectarea instalatiilor
energetice;
- cheltuielile totale
actualizate pentru montajul instalatiilor energetice proiectate;
- cheltuielile totale actualizate pentru explorarea si
dezvoltarea instalatiilor energetice in functiune; pn -
coeficientul de eficienta economica (0,08 0,06)an-1;
Ii,., Ci - investitiile, respectiv cheltuielile
implicate la conceperea si realizarea instalatiilor energetice; Dt
- cheltuielile cu daunele in anul i
de raportare (i = l 25); Rt.ac - valoarea instalatiei
la momentul dezafectarii ei de la retea.
Tratarea problemei in conceptie sistemica presupune abordarea tuturor problemelor din fazele tehnologice prin care trece sistemul si anume: cercetare-proiectare, CP, constructii-montaj, CM, si exploatare-dezvoltare, ED.
Modelarea procesului de producere-transport si utilizare a energiei pe lanturi energetice se face, plecand de la sursa la consumator sau viceversa, cu ajutorul cheltuielilor totale actualizate scrise sub urmatoarea forma:
![]()
(8.150)
in care
reprezinta
cheltuielile totale actualizate la nivelul sursei de energie, SE;
- cheltuielile totale
actualizate la nivelul centralelor electrice, CE;
- cheltuielile totale
actualizate la nivelul instalatiilor de transport si
distributie, TD;
- cheltuielile totale
actualizate la nivelul consumatorilor de energie, CC;
- cheltuielile totale
actualizate generate de influenta mediului asupra instalatiilor
energetice (poluare, situatii de calamitate, conditii specifice de
functionare etc.);
- cheltuielile totale
actualizate pentru proiectarea, P, montaj, M, si exploatarea, E, a
instalatiilor energetice studiate in cadrul bilantului energetic
general.
Determinarea elementelor care intervin in relatiile anterioare se poate face cu ajutorul balantei legaturilor dintre ramuri, aplicata la diverse niveluri de analiza a bilantului energetic general. Pe aceasta baza, se determina sistemic productia de resurse, consumul propriu tehnologic, la nivelul tuturor instalatiilor din structura unui sistem de energie si energiile utile la nivelul fiecarui tip de instalatie. Totodata, se pot determina costurile pentru fiecare purtator de energie in vederea luarii in consideratie a implicatiilor tehnice si economice care conditioneaza formarea preturilor reale si optime la nivelul intregului sistem analizat.
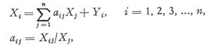
Modelele matematice cu care opereaza balanta legaturilor dintre ramuri pot fi statice si dinamice. Fiecare .dintre acestea pot fi modele matematice inchise sau deschise. Caracterul dinamic al modelului cu care opereaza balanta legaturilor dintre ramuri este dictat de dependenta marimilor din model de variabila timp. Daca consumul final se determina in afara sistemului, atunci modelul are caracter deschis.
Daca toate activitatile sunt inchise in primul din cele patru cadrane ale balantei legaturilor dintre ramuri, atunci modelul este inchis.
Modelele matematice statice deschise (a) si inchise (b) ale balantei legaturilor dintre ramuri se pot scrie sub urmatoarele forme matriceale:
![]()
(8.151)
unde A este matricea coeficientilor tehnici; Xi - productia totala a ramurii i; Yi - consumul final al ramurii i; I - matricea unitate.
Modelul matematic static deschis al balantei legaturilor dintre ramuri se poate scrie si sub forma:

(8.152)
unde Xij reprezinta parte din productia ramurii i consumate productiv in ramura j in perioada t; Xj - productia totala a ramurii j.
Problema cea mai des intalnita in practica consta in determinarea necunoscutelor (Xi), cand se dau marimile Yi.
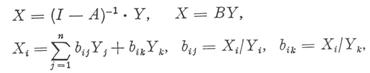
Solutia modelului deschis se poate scrie sub forma

(8.153)
in care bij este valoarea productiei ramurii i, necesara pentru consum, in vederea fabricarii unei unitati de produs final in ramura j, respectiv k; deci, avand o structura tehnologica data prin matricea A, rezulta ca volumul productiei fiecarei ramuri depinde de nivelul planificat al consumului final in sistemul analizat.
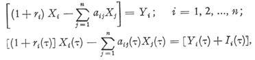
Modelul matematic dinamic al balantei legaturilor dintre ramuri opereaza cu relatii de forma:
![]()
(8.154)
unde Ii (t) reprezinta investitiile pentru dezvoltarea productiei in perioada t. Pentru a tine seama de import, modelele matematice input-output isi modifica structura astfel:

(8.155)
in care gi gi t) este coeficientul de import de natura statica, respectiv de natura dinamica.
Modelele matematice ale balantei legaturilor dintre ramuri se pot aplica, incepand cu intreprinderea considerata sistem de productie si terminand cu economia nationala, care trebuie sa cuprinda sistemic toate unitatile din cadrul ramurilor. La aplicarea acestor modele, trebuie avut in vedere restrictiile generale si specifice fiecarui sistem analizat. Dintre acestea, trebuie sa retina atentia restrictiile legate de acoperirea consumului cu resursele existente, cele care exprima modul de solicitare a resurselor si cele legate de regimul de functionare al instalatiilor analizate.
Modelul matematic al bilantului energetic general trebuie sa cuprinda atat partea de bilant electro-energetic, cat si partea de bilant termoenergetic. Pentru optimizarea activitatii la nivelul intregului sistem, se recomanda ca, modelul matematic al bilantului energetic general sa cuprinda trei aspecte ele baza si anume:
- transportul combustibilului de la sursa la consumator;
- intersanjabilitatea combustibililor la consumator;
- regimul de functionare al instalatiilor analizate.
Daca activitatea modelata se desfasoara intr-un interval mai mic decat un an, atunci functia de eficienta a modelului matematic este de forma cheltuielilor anuale de calcul. Daca activitatea modelata se desfasoara pe o durata mai mare decat un an, atunci functia de cheltuieli din structura modelului matematic al bilantului energetic general are forma cheltuielilor totale actualizate. Ca o noua tendinta in calculul cheltuielilor si investitiilor, care intervin in modelul bilantului energetic general, retine atentia cercetarea operationala.
|
Politica de confidentialitate | Termeni si conditii de utilizare |
Vizualizari: 2617
Importanta: ![]()
Termeni si conditii de utilizare | Contact
© SCRIGROUP 2025 . All rights reserved