| CATEGORII DOCUMENTE |
| Demografie | Ecologie mediu | Geologie | Hidrologie | Meteorologie |
Relatiile dintre organisme si mediul de viata. Influenta luminii asupra organismelor (clasificarea radiatiilor cosmice, fotoperioada si intensitatea luminii, clasificarea organismelor ca reactie la lumina etc). Adaptari morfologice, fiziologice si comportamentale ale organismelor la actiunea luminii.
Organismele vii si lumina
Lumina este de fapt un grup de radiatii, cu lungimea de unda situata in zona "vizibil" apartinand radiatiilor electromagnetice. Inca din momentul aparitiei organimelor vii pe Terra (acum cca. 3,5 miliarde ani), asupra lor au actionat radiatiile solare si radiatiile cosmice intergalactice (constituita din particole cu energii inalte). Soarele emite doua mari categorii de radiatii in spatiul interplanetar: radiatii permanente (radiatii corpusculare, electromagnetice, penetrante, nepenetranta) si eruptii cromosferice (nori de plasma, protoni cu energie mare, protoni cu energie medie, radiatii electromagnetice de inalta frecventa).
Toate aceste tipuri de radiatii sunt incadrate in grupa mare a factorilor de Cosmos. Astfel, factori de Cosmos sunt: radiatia solara si radiatia cosmica intergalactica. Efectele lor asupra organismelor sunt extrem de diverse datorita atat efectului direct al razelor cat si al altor forme de actiune: aeroioni, campul aeroelectric, campul bioenergetic, trenurile de unde electromagnetice.
Zona vizibilului este cuprinsa intre violet si rosu. Celelalte tipuri de radiatii si lungimea lor de unda sunt prezentate in Fig. 2-21. Radiatiile ultraviolete sunt domeniu "vizibil" pentru insecte si pesti. Din punct de vedere ecologic, pentru organimele vii sunt importante radiatiile solare, adica lumina Soarelui. Asa cum am aratat, lumina Soarelui mai are si alte tipuri decat lumina vizibila. Jumatate din radiatia solara ajunge la suprafata Terrei sub forma de lumina vizibila si aproape jumatate este in infrarosu. Datorita stratului de ozon, putine ultraviolete (UV) ajung la suprafata Terrei.
Lumina, sau radiatia solara are o multitudine de efecte ecologice asupra organismelor (de ex. de la realizarea fotosintezei plantelor si pana la producerea vitaminei D la animale, prin interventia UV).
La fel ca si in cazul organismului izolat, lumina, prin intensitate, periodicitate si cantitatea de radiatii care vine pe Terra, este un factor important care influenteaza selectia la nivelul biocenozelor. Sub aspectul prezentei si al cantitatii, lumina induce modificari morfologice adaptative la nivelul organismelor (dezvoltarea sau atrofierea organelor de vedere, pigmentarea sau depigmentarea corpului) sau adaptari ca urmare a perceperii luminii (homocromia, mimetismul, imitatia, avertizarea etc). Radiatiile solare influenteaza organismele in mod diferentiat, in functie de lungimea lor de unda. Unele sunt favorabile, altele nefavorabile. In ambele situatii apar modificari adaptative care favorizeaza mai mult sau mai putin speciile.
Alternanta, periodicitatea, este unul din factorii esentiali ai modelarii comportamentului, dar si al proceselor fiziologice (fotosinteza, respiratia, transpiratia, productivitatea). Modelul adaptativ specific se rasfrange la nivelul biocenozei.
Asadar, lumina influenteaza organismele prin doua modalitati: fotoperiodism si intensitate.
a. Fotoperiodismul (fotoperioada) reprezinta alternanta lumina - intuneric, bazata pe legatura dintre lungimea fazei de lumina (ziua, fotofaza) si cea de intuneric (noaptea, scotofaza). Intr-un ciclu de 24 ore se noteaza ca atare: 16:8; 12:12; 8:16; 20:4, ore....L:I sau L:D (light:dark).
La nivelul globului fotoperioada este corelata cu latitudinea, de la ecuator (24:0) pana la pol (0:24) (Fig. 2-22).
Pentru organismele vii, fotoperiodismul are un rol esential (Beck 1968; Shorey 1970). Modificarea acestuia pe cale experimentala, in conditiile unor studii autecologice in conditii de laborator, a evidentiat la insecte ca modificarea fotoperiodismului, de la un regim normal de 16:8 (L:D) ore, la o scotofaza continua (0:24) sau o fotofaza continua (24:0), a determinat alterarea functiilor si comportamentului (Stan 1991, 1993, 1996). De ex. eliminarea alternantei zi:noapte a inlaturat progresiv comportamentul de chemare al femelelor (si implicit raspunsul masculilor la feromonul sexual).
Pe de alta parte, studiile experimentale in conditii de fotoperiodism variabil au evidemtiat modificari fiziologice si comportamentale deosebite. Tot la specii de insecte pe transectul fotoperioadelor experimentate (20:4; 16:8; 12:12; 8:16: 0:24, ore L:D) s-a constatat ca intervalul fotperiodic de 16:8 ore - 12:12 ore (L:D) a asigurat o crestere, dezvoltare, supravietuire si comportament, normale. Regimul 8:16 ore (L:D) sau cele extreme (24:0; 0:24 ore L:D) au fost nefavorabile. Astfel, sub aspect comportamental, au fost afectate: ritmicitatea circadiana, intensitatea raspunsului si durata.
Toate organismele animale sunt profund influentate de fotoperiodism care modeleaza cresterea, dezvoltarea, supravietuirea, reproducerea, migrarea etc. Astfel la multe specii de pasari declansarea migrarii este determinata de scurtarea zilei si nu atit de scaderea temperaturii. La plante modificarile sunt deasemenea insemnate. Sunt specii de plante de zi-lunga sau de zi-scurta. In functie de gradul de adaptare la aceste conditii, are loc dezvoltarea, cresterea, inflorirea.
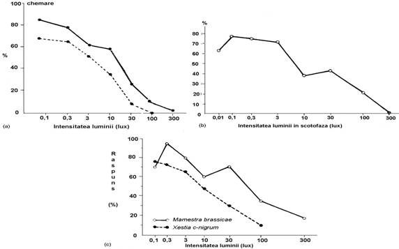
b. Intensitatea luminii. Are semnificatie adaptativa pentru organisme. In general, modelele comportamentale sunt cele mai mult influentate de variatia intensitatii luminii. In conditii naturale organismele s-au adaptat la un anumit regim de lumina (ca intensitate) dar daca acesta se modifica pe un interval de timp prea mare organismele reactioneaza corespunzator. Plantele se etioleaza (organele se alungesc excesiv iar culoarea verde se atenueaza), dar animalele au posibilitatea de a selecta habitate cu o intensitate corespunzatoare a luminii. Experimental insa mentinerea unui organism la o intensitate inadecvata a luminii a evidentiat modificari profunde la nivelul comportamentului (Fig. 2-23). Este evident ca aceste modififari comportamentale au corespondent la nivelul functiilor organismului.

Fig. 2-23. Influenta intensitatii luminii asupra comportamentului de chemare (a), ovipozitarii (b) si de raspuns la feromonul sexual (c), la masculii de Mamestra brassicae si Xestia c-nigrum, in conditii experimentale de laborator (dupa Stan 1991)
In conditii experimentale de laborator, cercetari autecologice au evidentiat influenta intensit[tii luminii asupra comportamentului unor specii de lepidoptere, chiar in situatia in care masculii acestora raspundeau simultan si la feromonul sexual conspecific. Plantele si lumina. Pentru plantele verzi, lumina este importanta in procesul de fotosinteza. Ramdamentul fotosintezei in natura este foarte scazut (in jur de 1%), astfel ca pe a frunza ajunge cam o energie de 1000 kJ (10 kJ vor fi convertiti in energie chimica). Omul forteaza ameliorarea acestui randament la plantele cultivate, prin construirea de sere, cu temperatura si lumina reglabila dar nici in acest caz randamentul nu depaseste 5%.
Pe de alta parte,in functie de reactia de raspuns la actiunea luminii, plantele prezinta o serie de adaptari specifice:
a. adaptari morfologice: portul plantelor (morfologia speciilor izolate este diferita de cea a speciilor in grup si compacte; culturile dense imprima fenomenul de etiolare la plante; la inaltime plantele sunt cu port mic datorita iluminarii puternice);
b. adaptari anatomo-fiziologice: plantele expuse la lumina au frunze in general groase si dure iar epiderma superioara este acoperita cu cuticula relativ bine dezvoltata: plantele cu frunze situate la umbra sunt subtiri (deoarece parenchimul palisadic si lacunos sunt subtiri) si nu au cuticula.
Ca si alti factori si lumina are si efecte indirecte asupra biocenozei. Este cunoscut cazul baltilor din zona inundabila a Dunarii (Botanriuc 1961). Astfel, daca inundatiile in aceste zone sunt timpurii si dureaza mult, iar macrofitele nu au apucat sa creasca, cantitatea de lumina care ajunge la acestea este putina si nu se vor dezvolta, dar se dezvolta in schimb o masa fitoplanctonica bogata, implicit un zooplancton bogatcare va atrage o masa mare de pesti. In sens opus, daca inundatiile au loc tarziu sau sunt reduse ca intensitate, macrofitele cresc rapid, acumuleaza substantele nutritive si oxigenul, iar fito-si zooplanctonul nu se mai dezvolta, se intensifica putrefactiile, oxigenul lipseste practic din straturile de jos si implicit fauna de la acest nivel.
In functie de preferinta fata de lumina plantele sunt:
☼ - heliofile. Au nevoie de o intensitate a luminii de cca 20.000 lx, (chiar daca aceasta intensitatea nu atinge decat periferia plantei), adica o iluminare solara directa (intensitatea luminii Soarelui este de 100.000 lx; 1 lux = iluminarea realizata pe 1m2 pe o zona plasata la 1 m de la suprafata); in aceasta categorie sunt plante ca: Lycopersicum exculentum - tomatele, turnesolul, Plantago sp. - patlagina, Teucrium chamaedrys - dumbet; toate plantele de la munte etc
☼ - sciafile. Sunt plante de umbra pentru care este suficienta o intensitate a luminii in jur de 1000 lx. Lumina de umbra este bogata in radiatii albastre si violete; grupul cuprinde plante cum ar fi: Aspidium sp - feriga, Amaranthus sp. - stir, toate plantele ierboase din paduri.
Plantele heliofile si sciafile se gasesc frecvent impreuna in asociatii spontane si astfel ele se pot adapta la intensitati luminoase intermediare, acceptabile pentru ambele grupe (fotosinteza si respiratia au loc la o intensitate a luminii de 5000 lx pentru heliofile si 30 lx. pentru sciofile);
☼ - fotomezofile. Se dezvolta la o lumina de intensitati variabile, intermediara (ex. Hedera helix - iedera).
Ca reactie la actiunea luminii, plantele verzi sunt fototrope. Indreptarea frunzelor spre lumina (fototropism pozitiv, plante fotofile) pentru a capta o cantitate maxima posibila de lumina este caracteristica multor specii de plante heliofile. Spre desebire de acestea sunt plantele care nu se orienteaza spre lumina ci prefera lumina de umbra (fototropism negativ, plante fotofobe).
Animalele si lumina. Opus importantei luminii pentru organismul viu este adaptarea unor organime de a trai la intuneric sau zone mai mult sau mai putin umbrite.
Unele organisme s-au adaptat si traiesc in habitate lipsite complet de lumina. Astfel, unele nevertebrate si vertebrate din sol (ex. viermi, cartita) sau organismele parazite (ex. tenia, limbricul, galbeaza) nu au nevoie de lumina, drept care, evolutiv si-au pierdut organele de simt corespunzatoare. Speciile bentonice de nevertebrate si vertebrate traiesc in mediul abisal si si-au perfectionat o gama extrema de organe luminoase
|
Politica de confidentialitate | Termeni si conditii de utilizare |
Vizualizari: 3896
Importanta: ![]()
Termeni si conditii de utilizare | Contact
© SCRIGROUP 2025 . All rights reserved