| CATEGORII DOCUMENTE |
| Demografie | Ecologie mediu | Geologie | Hidrologie | Meteorologie |
UNIVERSITATEA POLITEHNICa BUCUREsTI
FACULTATEA DE ENERGETICa
TEMA PROIECTULUI DE DIPLOMa
STUDIU PRIVIND CERINTELE TEHNICE SPECIFICE GESTIONARII DESEURILOR RADIOACTIVE GENERATE DIN OPERAREA REACTORILOR NUCLEARI
CUPRINS
Capitolul 1. Generalitati
Ciclul de combustibil
1.2. Definitii
Capitolul 2. Caracterizarea surselor de generare a deseurilor radioactive rezultate din operarea reactorilor nucleari - cerinte tehnice specifice
2.1. Clasificarea deseurilor radioactive
2.2. Surse de generare deseuri radioactive
2.3. Deseurile radioactive generate
2.3.1. Rǎsini ionice uzate
2.3.2. Cartuse filtrante uzate
2.3.3. Deseuri solide radioactive de joasa activitate
2.3.4. Deseuri radioactive de medie activitate
2.3.5. Deseuri radioactive apoase
2.3.6. Deseuri radioactive organice
2.4. Sistemele privind managementul deseurilor radioactive in cadrul centralei de la Cernavoda
2.5. Propunere de conditionare a rasinilor uzate (limite de securitate)
Capitolul 3. Cerinte tehnice privind transportul deseurilor radioactive
Capitolul 4. Cerinte tehnice privind depozitarea finala a deseurilor radioactive provenite din operarea reactorilor nucleari
4.1. Caracteristicile coletelor de deseuri
4.2. Cerinte privind deseurile inacceptabile si cele care trebuie tratate pentru a fi depozitate in sigurantǎ
4.3. Cerinte privind stabilitatea deseurilor
4.4. Cerinte privind rezistenta la iradiere
Capitolul 5. Cerinte tehnice privind Sistemul de Management al Calitǎtii in activitatea de gestionare a deseurilor radioactive.
Bibliografie
Capitolul 1. GENERALIT TI
Conform prevederilor din Ordonanta Guvernamentalǎ numarul 11/2003, raspunderea directa pentru gospodarirea deseurilor radioactive rezultate din functionarea instalatiilor nucleare si radiologice, pe toata durata de viata utila precum si din dezafectarea acestora, pana la depozitarea definitiva, revine titularilor de autorizatie ca producatori ai deseurilor radioactive.
Titularii de autorizatie au obligatia de a finanta activitatile proprii de colectare, sortare, tratare, conditionare, stocare intermediara si transport in vederea depozitarii definitive a deseurilor radioactive generate din activitatile de exploatare, intretinere si reparatii, inclusiv din dezafectarea instalatiilor nucleare si radiologice.
Titularul de autorizatie care desfasoara activitati asociate cu etapele de gospodarire a deseurilor radioactive trebuie sa clasifice fiecare colet/articol/lot cu deseuri in conformitate cu sistemul de clasificare operationala si sǎ inregistreze caracteristicile lor relevante conform reglementǎrilor specifice. [1]
Clasificarea operationalǎ a deseurilor radioactive, potrivit Normei privind clasificarea deseurilor radioactive, va fi realizatǎ de titularul de autorizatie care desfasoarǎ activitati asociate cu etapele de gospodarire a deseurilor radioactive tinand cont de:
a) originea deseurilor gestionate cum ar fi: amplasamentul, instalatia, sistemul de provenientǎ;
b) tipuri de deseuri gestionate cum ar fi: filtre uzate, componente uzate, structuri demolate, gunoaie diverse, surse inchise uzate, reziduuri din manipularea radioizotopilor;
c) proprietati nucleare si radiologice cum ar fi: continutul fisil, generarea de caldura, debitul dozei ambientale, contaminarea suprafetei, activitatea specifica, compozitia de radionuclizi si timpii de injumatatire ai radionuclizilor dominanti, potentialul de radiolizǎ;
d) alte proprietati cum ar fi: riscuri fizico-chimice si biologice, corozivitate, continutul de lichid liber, inflamabilitate, volatilitate, solubilitate, miscibilitate, dispersabilitate, continutul organic, agenti complexanti si de chelare, reactivitate, sorbtia radionuclizilor, capacitatea de a umfla, substante periculoase chimic sau biologic;
e) optiuni de gospodarire cum ar fi: compresare, incinerare, imobilizare, segmentare, decontaminare sau topire.
Potrivit aceleiasi norme, Norma privind clasificarea deseurilor radioactive, Clasificarea generala a deseurilor radioactive se refera strict la cerintele privind modul de asigurare a izolarii de biosfera la depozitarea definitive a deseurilor radioactive. Conform clasificarii generale, deseurile radioactive se impart in :
a) deseuri exceptate;
b) deseuri in tranzitie;
c) deseuri de activitate foarte joasa;
d) deseuri de activitate joasa si medie de viata scurta;
e) deseuri de activitate joasa si medie de viata lunga;
f) deseuri de activitate inaltǎ. [2]
Cresterile cele mai importante ale cantitatilor de deseuri prezente si viitoare sunt asociate cu producerea de energie nucleara, rezultate din ciclul de combustibil, precum si din operarea reactorilor nucleari de cercetare si facilitatile de depozitare a deseurilor.
1.1. Ciclul de combustibil
Ciclul de combustibil nuclear se referǎ la activitatile asociate cu fabricarea combustibilului si managementul materialelor radioactive implicate in productia de energie nucleara. Sunt produse urmatoarele tipuri de deseuri in ciclul de combustibil nuclear:
Minerit si Preparare
Deseurile
rezultate din productia de UO
![]()
Fabricarea Combustibilului
Deseurile rezultate din purificare, prepararea pudrei si fabricarea combustibilului (Fabrica de Combustibil Nuclear) si care contin uraniu natural.
Operarea la putere a Reactorului
Deseurile rezultate in urma depozitarii combustibilului proaspat, arderea acestuia in reactor, precum si calmarea combustibilului ars in bazine de calmare. Rezulta deseuri de asemenea si din tratarea apei de racire, decontaminarea unor echipamente si a unor operatii de mentenantǎ.
Deseurile provenite din operarea reactorilor nucleari sunt in mod normal contaminate cu produse de fisiune si activare. Din aceasta operare mai rezulta si combustibil nuclear ars ce contine uraniu, plutoniu, produse de fisiune si actinide.
Decomisionarea Reactorilor Nucleari
Activitatile ce implica demontarea si decontaminarea unui reactor nuclear si clean-up in cadrul site-ului vor genera deseuri radioactive. Acestea constau in materiale solide cum ar fi echipamente, materiale de constructii, unelte si deseuri radioactive lichide provenite din procesele de decontaminare. [3]
Romania are o singurǎ centralǎ nuclearǎ, Centrala Nuclearǎ Cernavoda, echipatǎ cu cinci reactoare de tip PHWR - CANDU-6, fiecare avand o putere instala de 705 MWe, aflate in diferite stagii de implementare. Unitatea 1 este in stagiul de operare comerciala incǎ din 2 Decembrie 1996, Unitatea 2 fiind momentan in contructie iar unitatile 3, 4, si 5 fiind in stadiul de conservare.
Unitatea 1 CNE CERNAVODA este un grup nuclear, de tipul CANDU 6, avand combustibil uraniul natural, racit si moderat cu apa grea, cu o putere instalata de 706,5 MWe si care produce anual o cantitate de energie electrica de cca. 5,1 TWh. Asigura continuitate in dezvoltarea sectorului energetic romanesc, valorificand experienta deosebita a firmelor romanesti de inginerie, proiectare, a furnizorilor de echipamente si materiale, a antreprenorilor (desfasurarea proiectului Unitatii 2 este un bun exemplu in acest sens).
Reactorul de tip CANDU - 6 este un reactor presurizat, racit cu apa grea, ce foloseste UO natural drept combustibil. Un canal de combustibil contine 12 fascicule de combustibil, intecuite in teci de Zircaloy, de aproximativ 50 cm lungime. Combustibilul este racit de catre agentul de racire, apa grea(D O), ce curge prin canalele de combustibil, acestea fiind inconjurate la randul lor de catre moderator, reprezentat tot de catre apa grea. Combustibilul ca si apa grea sunt produse in Romania. Reactorul de tip CANDU-6 este supus operatiei de incarcare - descarcare in timpul functionarii acestuia, acest lucru ducand la o rapidǎ inlocuire a combustibilului defect in caz de aparitie a acestuia.
Definitii
In lucrarea de fatǎ vom utiliza urmatoarele definitii:
Deseuri radioactive - materiale radioactive sub forma gazoasa, lichida sau solida, pentru care nu s-a prevazut nici o intrebuintare, care contin ori sunt contaminate cu radionuclizi in concentratii superioare limitelor de exceptare. Prin deseu radioactiv se intelege si combustibilul nuclear uzat;
Ciclul de combustibil nuclear - ansamblul de operatiuni care cuprinde extractia si prelucrarea minereurilor si imbogatirea uraniului si toriului, fabricarea combustibilului nuclear, exploatarea reactoarelor nucleare, retratarea combustibilului nuclear, dezafectarea, orice activitate de gospodarire a deseurilor radioactive sau orice activitate de cercetare-dezvoltare asociata uneia dintre operatiunile sus-mentionate;
Combustibil nuclear uzat - combustibil nuclear iradiat in interiorul unui reactor si care a fost indepartat definitiv din acesta;
Controlul efluentilor - eliberarea planificata si controlata in mediu, in limite autorizate, a materialelor radioactive lichide sau gazoase, provenite din instalatii nucleare autorizate, inclusiv in timpul functionarii normale a instalatiilor;
Depozitare intermediara - Plasarea deseurilor radioactive intr-o instalatie nucleara in scopul izolarii, protectiei mediului si controlului de catre personal, cu intentia de a fi recuperate. Se utilizeaza, cu sens echivalent, termenul stocare intermediara;
Depozitare definitiva - amplasarea definitiva a combustibilului nuclear uzat sau a deseurilor radioactive intr-o instalatie corespunzatoare, fǎrǎ intentia de a le recupera;
Strategie nationala - act normativ pe baza caruia se desfǎsoarǎ activitatile de gospodarire a deseurilor radioactive, inclusiv depozitarea lor definitiva, si dezafectarea instalatiilor nucleare si radiologice;
Continut radioactiv - materialul radioactiv impreuna cu orice materiale contaminate radioactiv sau activate, solide, lichide sau gazoase, care se gasesc in interiorul ambalajului;
Pretratarea totalitatea operatiilor care au loc dupa generarea deseurilor, inaintea tratarii;
Tratarea - include acele operatii facute cu intentia de a asigura securitatea acestora sau din motive economice, realizate prin schimbarea caracteristicilor acestora;
Conditionarea - acele operatii care transforma deseurile radioactive intr-o forma potrivita pentru manipulare, transport, depozitare intermediara si depozitare definitiva;
Forma deseului - deseu radioactiv in forma sa fizica si chimica care rezulta dupa tratare si/sau conditionare inainte de ambalare (produs solid). Forma deseului este o componenta a coletului cu deseuri radioactive;
Eliberare in mediu - eliminarea planificata si controlata a radionuclizilor in mediu, care intruneste toate conditiile impuse de autoritatea competenta din domeniul nuclear;
Contaminare radioactivǎ - contaminarea unui material, a unei suprafete, a unui mediu oarecare sau a unei persoane cu substante radioactive; in cazul specific al corpului uman, contaminarea radioactivǎ include atat contaminarea externǎ a pielii cat si contaminarea internǎ, indiferent de calea de incorporare.
Contaminarea radioactiva nefixatǎ - contaminarea radioactiva care poate fi indepartata de pe o suprafata in conditii obisnuite de transport.
Contaminarea radioactiva fixatǎ - contaminare radioactivǎ, alta decat contaminarea radioactiva nefixatǎ.
A - reprezinta valoarea activitatii materialelor radioactive sub formǎ specialǎ.
A - reprezinta valoarea activitǎtii materialelor radioactive, altele decat materialele radioactive sub formǎ specialǎ.
Capitolul 2. Caracterizarea surselor de generare a deseurilor radioactive rezultate din operarea reactorilor nucleari - cerinte tehnice specifice
Clasificarea deseurilor radioactive
Prin similitudine cu clasificarea deseurilor radioactive recomandata de AIEA in documentul Safety Series No. 111-G-1-1 'Clasification of Radioactive Waste' si aplicabila activitatilor de gospodarire in vederea depozitarii definitive, utilizata si in tarile membre ale UE, se introduc urmatoarele clase (categorii, tipuri) de deseuri radioactive:
- EW: Deseuri continand radionuclizi a caror concentratie a activitatii este atat de redusa, incat deseurile respective pot fi eliberate, conditionat sau neconditionat, de sub cerintele reglementate.
- VLLW: Deseuri radioactive de viata scurta, a caror activitate specifica depaseste nivelurile de eliberare de sub cerintele de autorizare, dar al caror continut radioactiv este inferior nivelelor stabilite de organismul de reglementare pentru definirea deseurilor de activitate joasa. Aceste deseuri radioactive sunt destinate depozitarii definitive de suprafata.
- LILW-SL: Deseuri radioactive care contin preponderent radionuclizi emitatori betagama cu durata de viata scurta (T1/2 < 30 ani), si care contin cantitati mici de radionuclizi emitatori alfa cu durata de viata lunga (T1/2 > 20 ani), a caror concentratie maxima este inferioara valorii de 4 kBq/g si a caror putere termica specifica produsa prin dezintegrare radioactiva nu necesita masuri de evacuare a caldurii. Aceste deseuri radioactive sunt destinate depozitarii definitive de suprafata sau depozitarii definitive geologice de adancime.
- LILW-LL: Deseuri radioactive care contin preponderent radionuclizi emitatori alfa cu durata de viata lunga (T1/2 > 20 ani), a caror concentratie maxima este superioara valorii de 4 kBq/g, si care contin cantitati mici de emitatori betagama cu durata de viata scurta (T1/2 < 30 ani) si a caror putere termica specifica produsa prin dezintegrare radioactiva nu necesita masuri de evacuare a caldurii. Aceste deseuri radioactive sunt destinate depozitarii definitive geologice de adancime.
- HLW: Deseuri radioactive care contin preponderent radionuclizi emitatori betagama cu durata de viata scurta (T1/2 < 30 ani) si care contin cantitati importante de radionuclizi emitatori alfa cu durata de viata lunga (T1/2 > 20 ani), in concentratii superioare valorii de 4 kBq/g si a caror putere termica specifica produsa prin dezintegrare radioactiva este superioara valorii de 2 kW/m3. Aceste deseuri radioactive sunt destinate depozitarii definitive geologice de adancime. Combustibilul nuclear uzat destinat depozitarii directe, apartine acestei clase. [10]
Surse de generare deseuri radioactive
Principalele surse de deseuri radioactive lichide la CNE sunt :
. lichidele de racire si moderare a reactorului care ies din circuit prin purjare si neetanseitati;
. aburul esapat din presurizor; apa din ecranele de protectie ale reactoarelor;
. apa de racire a barelor de control;
. apa din bazinele de calmare;
. golirea circuitelor cu lichide radioactive;
. apa pentru transportul hidraulic al maselor schimbatoare de ioni uzate radioactive;
. regenerari si deversari de la instalatiile de tratare a apelor radioactive;
. drenarea si purjarea echipamentelor radioactive;
. apa de la spalatoriile de haine si incaltaminte radioactiva;
. ape reziduale de la laboratoarele radiochimice; ape de la decontaminarea echipamentelor si incaperilor cu radioactivitate; apa de la ecluzele sanitare.
Principalele deseuri radioactive solide rezultate la CNE sunt:
. masele ionice uzate (provenite din circuitul primar si al moderatorului);
. restul solid de la instalatiile de tratare termica a apei radioactive;
. restul solid de la curatirea circuitelor radioactive (produse de coroziune si eroziune);
. restul solid de la tratarea deseurilor radioactive gazoase si lichide (praf si noroi de la filtrele de radioactivitate);
. umpluturi uzate ale filtrelor de radioactivitate (cartuse filtrante, carbune activat, site);
. piese de echipament activ defectate (materiale de structura ale reactorului, canale tehnologice din zona activa, bare de control, piese de ghidare si fixare a elementelor combustibile etc.);
. aparate de masura si armaturi care nu mai pot fi reparate;
. materiale de la repararea, eroziunea si exploatarea instalatiilor radioactive
(instrumente, dispozitive, bumbac, carpe, etc.);
. imbracamintea si incaltamintea de protectie uzate;
. resturi solide de la laboratoarele cu activitate. [6]; [7]; [10]
Depozitarea intermediarǎ
In foarte multe cazuri - este necesara o stocare intermediara, deoarece ea poate facilita atenuarea in continuare a procesului de producere a caldurii (reziduale), asigurand timpul necesar identificarii amplasamentului, proiectarii si construirii depozitelor finale.

Figura 1. Ciclul combustibilului ars, incluzand depozitarea definitivǎ.
2.3. Deseurile radioactive generate
In prezent, Centrala Nuclearoelectrica are propriul sistem de clasificare in ceea ce priveste deseurile radioactive care a fost stabilit in scopuri operationale. in timpul perioadei de functionare a Centralei Nuclearoelectrice Cernavodǎ sunt generate urmatoarele categorii de deseuri radioactive:
a) Rǎsini ionice uzate;
b) Cartuse filtrante uzate;
c) Deseuri solide radioactive de joasǎ activitate, Tipul 1 (doza radiatiei gama de contact < 2 mSv/h )
d) Deseuri radioactive de medie activitate, Tipul 2 (doza radiatiei gama de contact intre 2 mSv/h si 125 mSv/h) si Tipul 3 (doza radiatiei gama de contact mai mare decat 125 mSv/h)
Deseurile radioactive lichide ce sunt generate la Centrala Nuclearoelectrica Cernavodǎ sunt:
e) apoase;
f) organice. [12]
In ceea ce priveste volumul deseurilor
radioactive rezultate din anul 1997 pana in prezent in Figura 2 se prezinta
un bilant al acestora, cantitǎti exprimate in m
![]()
Figura 2. Volum deseuri radioactive (m
![]()
Radioactivitatea continutǎ in deseurile radioactive provine din douǎ surse:
- produse de fisiune eliberate de elementele combustibile in sistemele cu lichid ale reactorului. Cele mai importante produse de fisiune sunt: Cs-134, Cs-137, Sr.-89, Sr.-90, Ce-141, Ba-140;
- produse de activare rezultate in urma absorbtiei neutronilor de catre materialele structurale ale reactorului si de catre fluidele de proces care, datorita fenomenului de coroziune/eroziune, sunt apoi transferate in afara zonei active. Cei mai importanti radioizotopi sunt: Zn-65, Co-60, Ce-58, Fe-59, Cr-51, Zr-91, Nb-95, Mn-54, H-3, C-14.
2.3.1. Rǎsini ionice uzate
Rasinile schimbatoare de ioni uzate sunt rezultate din sistemele de purificare ale Sistemului de Transport al Caldurii (SPTC) si din Sistemul Moderatorului, continutul de radionuclizi fiind o functie de sistemul care le produce.
Determinarea unui astfel de continut radioactiv este prezentat in tabelul de mai jos si a fost realizat in cazul Centralelor de tip CANDU 600, la 2 luni de la inlaturarea rǎsinilor ionice uzate din sistemele de proces.
Tabel 1. Continutul de radioactivitate Centralelor de tip CANDU 600
|
Radioizotop |
Timp de injumatatire |
Sistemul de purificare al SPTC |
Sistemul de purificare al moderatorului |
||
|
(zile) |
Activitatea specifica medie |
Activitatea specifica medie |
|||
|
Bq/ml |
total |
Bq/ml |
total |
||
|
Cs-134 |
3.44 x 105 | ||||
|
Cs-137 |
8.9 x 105 | ||||
|
Co-60 |
1.48 x 105 |
1.3 x 105 | |||
|
Cr-51 |
7 x 105 | ||||
Dacǎ aceastǎ determinare s-ar fi realizat imediat dupa inlaturarea rǎsinilor ionice uzate, radioactivitatea totalǎ s-ar fi datorat in intregime radioizotopului I-131. Dar, dupa 2 luni, datorita timpului de injumatatire (T 1/2) al I-131 care este de numai 8 zile , prezenta s-a nu mai este una detectabila.
Asa cum s-a prezentat mai sus, principalii radionuclizi rezultati din SPTC sunt Cs-137 si Cs-134. Ei reprezinta produse de fisiune solubile, reprezentand aproximativ 90 % din radioactivitate. Co-60, un produs de activare insolubil, rezulta din retentia fizica a microparticulelor in rasina ionicǎ.
Continutul radioactiv prezentat mai sus este reprezentativ pentru toate rǎsinile ionice uzate rezultate din sistemele SPTC ale reactorilor de tip CANDU dar, valorile activitatii specifice depind in mod direct de gradul de integritate fizica al elementelor combustibile in cazul fiecarui reactor in parte. Pentru rǎsinile schimbatoare de ioni uzate rezultate din sistemele de purificare ale Sistemului Moderatorului, activitatea principala se datoreaza izotopului Co-60.
Activitatea datoratǎ izotopului Cr-51, avand un timp de injumatatire de 28 zile, devine nedetectabilǎ dupa un an de la inlaturarea rasinilor din sistem. Activitatea specifica a rǎsinilor schimbatoare de ioni uzate rezultate din sistemele de purificare ale Sistemului Moderatorului este mai mica decat a rasinilor schimbatoare de ioni uzate rezultate din sistemele de purificare ale SPTC, deoarece majoritatea acestora din urma sunt utilizate pentru a retine Borul si Gadoliniul inactiv. Activitatile specifice sunt in principal o functie ce depinde de continutul de Co in materialele componente ale Sistemului Moderator.
Toate categoriile de deseuri contin radionuclizi de viata lunga cum ar fi: Tritiu, Plutoniu, C-14 si Sr-90. Din literatura de specialitate se desprind diverse caracteristici pentru acestia, caracteristici tipice pentru Centrale CANDU.
Tritiul este prezent in toate tipurile de deseuri, mai putin in cenusa rezultatǎ ca urmare a incinerarii deseurilor combustibile. Continutul cel mai mare de Tritiu este in deseurile combustibile unde activitatea specifica medie a tritiului este aproximativ 7.4 x 108 Bq/kg. Pe timpul depozitarii intermediare, continutul de tritiu scade prin procesul de evaporare si prin dezintegrare.
Metoda de determinare a continutului de Plutoniu in deseurile rezultate in urma operatiilor de mentenantǎ s-a realizat pe baza datelor obtinute din analiza apei din SPTC (unde activitatea datorita Plutoniului reprezinta 0.01% ~ 0.05% din activitatea Cs-137, prezenta initial) si prin analiza rasinilor ionice uzate ale SPTC-ului (atunci cand rata intre Cs si Pu este de 10000:1). Deoarece Plutoniul nu este prezent decat in deseurile generate de SPTC/ operatiile de mentenanta si doar o parte din totalul deseurilor sunt generate in urma acestor activitati, activitatea specifica a Pu a fost estimata a fi sub valoarea de 5.55 x 108 Bq/kg, o valoare ce are acelasi ordin de marime cu radioactivitatea actinidelor continute in mediul ambiant.
Analiza continutului de Pu in rasinile ionice uzate rezultate din SPTC indica activitati specifice de 7.4 x 104 Bq/kg. Plutoniul este absent in rasinile ionice uzate provenite din Sistemul Moderatorului.
C-14, avand un timp de injumatatire de 5370 ani, format prin activarea cu neutroni a N-14 (in sistemul inelar de gaz) si prin activare cu neutroni a O-18 (in sistemul moderatorului), este prezent in acele sisteme sub forma metanului, CO , carbonatilor si hidro-carbonatilor solubili. Desi o mare parte a C-14 rezultat este eliminata prin efluentii gazosi radioactivi prin sistemul de ventilatie, sistemul de purificare al rasinilor schimbatoare de ioni retine o importanta fractie de C-14 solubil, prezent in moderator. Pornind de la faptul ca radioactivitatea C-14 retinut este de 1.85 x 106 ~ 7.77 x 106 Bq/ml rasinǎ, se estimeaza ca activitatea specifica a C-14 in Deseurile solide rezultate in urma operatiilor de mentenanta este mai micǎ decat 3.7 x 106 Bq/kg.
Analiza continutului de C-14 in rasinile ionice uzate provenite din sistemele de purificare ale SPTC indica activitati specifice de 11.1 x 106 Bq/kg. Pentru rasinile ionice uzate provenite din sistemele de purificare ale sistemului moderator, activitatea specifica s-a determinat a fi de aproximativ 7.77 x 109 Bq/kg.
In cazul Centralei de la Cernavoda, C-14 provine din activarea cu neutroni a O-18, datorita faptului ca in sistemul inelar de gaz s-a inlocuit azotul cu CO
Radioizotopul Sr-90, avand un timp de injumatatire de 28 ani, apropiat de cel al Cs-137 (30 ani), s-a determinat considerand o rata intre Cs-137 si Sr-90 de 100:1, existenta in deseurile lichide. Activitatea specifica a Sr-90 in deseurile solide ca urmare a operatiilor de mentenanta s-a estimat a fi de 1% din activitatea Cs-137 si are aceleasi ordin de marime ca activitatea din mediul ambiant, care este aproximativ de 3.7 x 103 Bq/kg.
Tabel 2. Volumele de rǎsini ionice uzate impartite pe sisteme de provenientǎ
|
Sistem/ volume / m |
Sept. |
Total / sistem |
||||||
|
Sistemul Moderatorului | ||||||||
|
SPTC | ||||||||
|
Sistem de D O al MID | ||||||||
|
Sistemul de purificare D O | ||||||||
|
Sistemul de racire al tecii | ||||||||
|
Bazinul de calmare al combustibilului uzat | ||||||||
|
Sistemul de control zonal cu lichid | ||||||||
|
Deseuri radioactive lichide | ||||||||
|
Total / an /m |
2.3.2. Cartuse filtrante uzate
Cartusele filtrante uzate rezulta din urmatoarele sisteme de proces: sistemul de purificare al SPTC, sistemul de purificare al moderatorului, sistemul de purificare al apei din bazinul de calmare al combustibilului uzat, sistemul de etansare al pompelor de circulatie, sistemul de alimentare cu D O al masinii de incarcare cu combustibil, sistemul de drenaj.
Cartusele filtrante uzate au adesea, atunci cand sunt descarcate din sistemele de proces ale centralei, o doza a radiatiei pana la 5 mSv/ora si in unele cazuri severe pana la 50 Sv/ora. Cea mai mare doza inregistrata pana acum a fost de 12 mSv/h pentru un cartus filtrant mare provenit din Sistemul de Purificare si Racire al bazinului de calmare al combustibilului uzat.
Exista 5 tipuri de cartuse filtrante, avand dimensiunile prezentate in tabelul urmator:
Tabel 3. Dimensiunile caracteristice ale cartuselor filtrante rezultate de la Centrala Cernavoda.

Cartusele filtrante uzate de tipul 1 - 4 sunt manipulate prin intermediul unui mijloc de transport de dimensiuni mari avand o greutate de 8,6 - 8,8 tone (incluzand cartusele filtrante).
Cartusele filtrante uzate de tipul 5 sunt manipulate prin intermediul unui mijloc de transport de dimensiuni mici avand o greutate de 2,7 tone (incluzand cartusele filtrante).
Grosimea peretelui de protectie al mijlocului de transport a fost calculata astfel incat sa prevada o reducere a dozei radiatiei de la 50 Sv/h la 0.25 mSv/h in cazul unui mijloc de transport de dimensiuni mari si de la 50 Sv/h la 0.15 mSv/h in cazul unui mijloc de transport de dimensiuni mici.
Cartusele filtrante uzate ce rezulta din cadrul sistemelor de proces sunt descarcate, uscate (H-3 < 5 μSv/h) si apoi depozitate in Depozitul Intermediar de Deseuri Solide. Transferul cartuselor filtrante uzate se realizeaza prin intermediul mijloacelor de transport dotate corespunzator.
In cazul cartuselor filtrante uzate, radioactivitatea continuta in acestea depinde de gradul de contaminare radioactiva a micro-particulelor retinute in sistemele de purificare. De asemenea, in cazul cartuselor filtrante uzate provenite din SPTC, aproximativ 50% din activitatea initiala este datorata Zr/Nb-95 rezultati din fisiunea si coroziunea Zr activat de catre neutronii fascicolului de combustibil si ai tubului de presiune. Datorita solubilitatii scazute, Zr/Nb-95 este prezent in aproape toate fluidele, exclusiv ca particule insolubile. Pentru o depozitare pe termen lung, contributia radioactivitatii datǎ de Zr-95/Nb-95 devine nesemnificativǎ, radionuclizii importanti fiind Co-60 si Cs-137.
Co-60, format prin coroziune si activarea cu neutroni, are o solubilitate scazutǎ si contribuie cu aproximativ 15% la activitatea initialǎ a particulelor retinute de aceste filtre.
Cs-137, format prin fisiune, are o solubilitate crescuta. Contributia sa initialǎ este micǎ (2%), dar dupa 45 ani, cand radioactivitatea totalǎ scade sub 1% din valoarea initialǎ, va reprezenta aproximativ 94% din activitatea totalǎ.
2.3.3. Deseuri solide radioactive de joasa activitate, Tipul 1 (doza radiatiei gama de contact < 2 mSv/ora )
Deseuri solide radioactive de joasa activitate (Tipul 1) provin din operarea curenta ce este realizata in Centrala. Ele constau in principal din materiale rezultate in urma operatiilor de decontaminare si mentenantǎ, imbrǎcǎminte de protectie si piese metalice cat si materiale si echipamente contaminate. Deseurile sunt colectate in saci ce sunt verificati pentru a se detecta urme de Tritiu inainte de compactarea lor. Daca Tritiul este detectat, sacii sunt uscati.
Deseurile solide sunt colectate in butoaie standard de otel inoxidabil, aprobate de Organul de Reglementare. Punctele de colectare ale deseurilor radioactive sunt stabilite astfel incat sa asigure o colectare a tuturor deseurilor si o separare primara a acestora. Pentru fiecare punct de colectare se definesc si se stabilesc containere specifice si cerinte de etichetare. Deseurile solide sunt colectate separat ca fiind compactabile sau necompactabile.
-Deseuri compactabile ce includ hartii, materiale textile, plastice, cauciuc si alte materiale compactabile.
-Deseuri necompactabile ce includ unelte, parti metalice, piese din lemn, si deseuri speciale (sticla, iodine, particulate and tritiu filters cartridges, molecular sleeve).
2.3.4. Deseuri radioactive de medie activitate (Tipul 2 si 3) sunt produse in cantitǎti mici si numai in cazul unor situatii speciale. Ele sunt manipulate si indepartate cu ajutorul unor containere aditionale si dotate corespunzator cu pereti de protectie.
Deseuri radioactive de medie activitate, Tipul 2, sunt clasificate ca deseuri compactabile si deseuri necompactabile
Deseurile compactabile includ: hartii, materiale textile, plastice, cauciuc si alte materiale compactabile.
Deseuri necompactabile ce sunt clasificate dupa cum urmeaza:
- deseuri cu caracter general: parti metalice, piese din lemn, materiale de constructii;
- deseuri speciale: cartuse filtrante uzate rezultate din circuitele de purificare ale centralei;
Deseuri radioactive de medie activitate, Tipul 3, sunt numai cele necompactabile. Ele constau din cartuse filtrante uzate, componente activate ale reactorului sau alte materiale contaminate major. Aceste tipuri de deseuri sunt produse in cantitǎti mici sau in conditii speciale. Ele sunt manipulate cu ajutorul unor containere protejate corespunzator.
Tabel 4. Volumele de deseuri radioactive solide separate pe tipuri
|
Anul |
Tipul T1(m3) |
Tipul T2 (m3) |
Tipul T3 (m3) |
|||
|
0.14(ne-compactabile, cartuse uzate, 12 mSv/h) | ||||||
|
0.44 (compactabile, butoaie, 8.5 mSv/h) | ||||||
|
| ||||||
|
0.01 (ne-compactabile, cartuse uzate, 3.8 mSv/h) | ||||||
|
2002 (Octombrie) | ||||||
|
Total | ||||||
|
Doza maxima a radiatei gamma de contact |
100 Sv/h |
Asa cum este specificata mai sus | ||||
Sistemul de management al deseurilor radioactive lichide consta din 5 rezervoare de beton (50 m3 fiecare) ce sunt localizate la nivelul subsolului cladirii serviciilor. Fiecare rezervor este echipat cu o pompa de recirculare / descarcare. Doua rezervoare sunt utilizate in principal pentru deseuri activate; celelalte trei fiind utilizate pentru deseuri cu activitate redusa. Multiplicarea liniilor de evacuare ale pompei de recirculare permite transferul continutului fiecarui rezervor in interiorul altui rezervor. Continutul fiecarui rezervor poate fi descarcat in Dunare sau in Canalul Dunare - Marea Neagra (prin conducta apei de racire a condensatorului). Toate vanele, instrumentele de control care necesita acces in timpul functionarii normale, sunt localizate in zona subsolului cladirii serviciilor.
Sistemul de monitorizare presupune verificarea radioactivitatii fiecarui rezervor inainte de descarcarea acestuia. De aceea, continutul fiecarui rezervor este recirculat pentru a se asigura un bun amestec inainte ca rezervorului sa i se preleveze mostre si sa fie evaluat. in timpul descarcarii debitul trece prin Monitorul de curgere al lichidului si curgerea este opritǎ in cazul in care exista dubiul ca concentratia de material radioactiv eliberata este prea mare. Setpointul alarmei de activitate inalta a fost stabilit la un nivel de 5,4 kBq/l (lichidul eliberat lunar s-a estimat a fi de 1200 m3/luna cu un continut al radionuclizilor de Sr-90 si Cs-137 intr-o proportie de 1:1). in plus, este realizata si o analiza sǎptǎmanalǎ a radionuclizilor unei probe prelevata din canalul apei de racire al condensatorului pentru a se verifica eliberarile accidentale a mari cantitǎti de lichid in mediul inconjurator.
Deseurile lichide produse in reactor sunt:
2.3.5. Deseuri radioactive apoase, eliberate in final in mediul inconjurator.
Datele referitoare la managementul acestei prime categorii de deseuri lichide sunt sumarizate mai jos:
Tabel 5. Caracteristici deseuri radioactive apoase
|
Sursa |
Tipul |
Tratarea |
Monitorizare/ Eliberare/ Monitorizarea mediului |
|
Dusuri, scurgeri din camerele de spalare si drenajele din zona 2 Dusuri, scurgeri din camerele de spalare si drenajele din cladirea serviciilor Drenajele din cladirea reactorului, spalatorii, bazinul de calmare al combustibilului uzat, centru de decontaminare, drenajele din cladirea serviciilor si laboratoare |
3,7x102 Bq/l 3,7x102- 3,7x104 Bq/l 3,7x104- 3,7x106 Bq/l |
Colectate in 3 rezervoare, monitorizate si purificate prin schimb de ioni daca este necesar Colectate in 2 rezervoare, monitorizate si purificate prin schimb de ioni daca este necesar Amestecate cu deseuri radioactive de joasa activitate si purificate prin schimb de ioni |
Monitorizarea lichidului evacuat Evacuati in apa de racire a condensatorului (dilutie: 1:7000) Spectrometrie gama pentru principalele cai de evacuare in mediu |
Eliberarile de efluenti radioactivi lichizi de aproximativ 14 000 m3/an sunt guvernate de limite superioare pentru controlul eliberarilor de efluenti numite Limite Derivate de Emisie. Tinta operationalǎ este aceea ca sumǎ radionuclizilor eliberati sa fie sub 5% din Limitele Derivate de Emisie. [3]; [12]
Limite derivate implicite de eliberare a efluentilor radioactivi lichizi la canalizarea publica
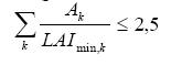
Eliberarile de efluenti radioactivi lichizi trebuie sa satisfaca urmatoarele conditii:
(i) pentru o singura eliberare:

unde:
Ak este activitatea de radionuclid k deversata in cursul eliberarii respective,
exprimata in Bq; LAImin,k este cea mai restrictiva valoare a limitei anuale de incorporare prin inhalare sau ingestie a radionuclidului k, pentru o persoana expusa profesional, exprimata in Bq, obtinuta pentru doza efectiva anuala de 20 mSv, utilizand valorile pentru coeficientii de doza efectiva prevazuti in tabelele 4-C1 si 4-C2 din Anexa 4 la Normele Fundamentale de Securitate Radiologica. Valoarea LAImin,k se obtine prin rotunjirea valorii calculate la o singura cifra semnificativa.
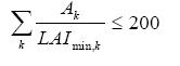
(ii) pentru toate eliberarile de pe parcursul unei luni:

unde:
LAImin,k are semnificatia de la conditia (i); Ak este activitatea de radionuclid k deversata in cursul lunii respective.
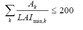
(iii) pentru toate eliberarile de pe parcursul unui an calendaristic:

unde:
LAImin,k are semnificatia de la conditia (i); Ak este activitatea de radionuclid k deversata in cursul anului respectiv.
Limite derivate implicite de eliberare a efluentilor radioactivi gazosi
Limitele implicite de eliberare a efluentilor gazosi, eliberarile respective trebuie sa fie limitate in asa fel incat, in imediata apropiere a gurii de ventilatie (adica, daca nu exista puncte mai apropiate unde se poate afla un timp semnificativ un lucrator sau o persoana din populatie, la maximum 5 m de gura de ventilatie), sa fie satisfacuta conditia:

unde:
CMAk este concentratia maxima a activitatii in aer permisa pentru radionuclidul k, exprimata in Bq/m , reprezentand 1% din CDAk (concentratia derivata in aer a radionuclidului k); Ck este concentratia activitatii in aer a radionuclidului k in imediata apropiere a gurii de ventilatie, exprimata in Bq/m
Deducerea CDA pentru un radionuclid oarecare, la care expunerea externa poate fi neglijata, se face pe baza formulei:

unde:
CDAk este concentratia derivata in aer a radionuclidului k, exprimata in Bq/m ; V este 2400 m /an, reprezentand volumul de aer inhalat in 2000 de ore de lucru pe an la o rata de inhalare de 1,2 m /ora; LAIinh k este limita anuala de incorporare prin inhalare a radionuclidului k, pentru o persoana expusa profesional, exprimata in Bq, obtinuta pentru doza efectiva anuala de 20 mSv, utilizand valorile pentru coeficientii de doza efectiva prevazuti in tabelele 4-C1 si 4-C2 din Anexa 4 a Normelor Fundamentale de Securitate Radiologica, tinand cont de tipul de absorbtie pulmonara (determinat de forma chimica a substantei radioactive emise) si de dimensiunile particulelor emise; daca acesti factori sunt necunoscuti, in calcularea CDAk conform formulei de mai sus se va utiliza cea mai restrictiva (deci cea mai mare) valoare pentru coeficientul de doza efectiva. Valoarea CDA se obtine prin rotunjirea valorii calculate la o singura cifra semnificativa. [13]
2.3.6. Deseuri radioactive organice
Deseurile radioactive organice constau in uleiuri uzate, solventi uzati, lichide de scintilatie, solide inflamabile, noroi radioactiv, care nu pot fi procesate prin intermediul Sistemului de Management al Lichidelor Radioactive, datorita impactului pe care acestea il au asupra mediului inconjurator. Sursele acestor deseuri radioactive lichide organice sunt urmatoarele:
Uleiuri: uleiurile lubrifiante de la pompe si motoare utilizate in Zonele 1 si 2, contaminate in principal cu tritiu (la Centrala de la Cernavoda exista trei zone controlate; nivelul riscului precum si potentialul de contaminare scazand dupa cum urmeaza: Zona 1, Zona2 si Zona 3);
Tabel 6. Volumele de uleiuri uzate
|
Anul |
Uleiuri uzate |
(m3) |
||
|
2002 |
(oct) | |||
|
Total | ||||
|
Doza maxima de contact a radiatiilor gamma |
<3 Sv/h |
|||
Solventi: proveniti din zona de decontaminare, de la laboratoare si activitati de mentenanta si constau in: solvent afta, etilenglicol, alcool etilic, toluen, cloroform, acetonǎ;
Tabel 7. Volumele de solventi uzati
|
Anul |
Solventi uzati (m3) |
Tritiu (Bq/l) |
||
|
(oct) | ||||
|
Total | ||||
|
Doza maxima de contact a radiatiilor gamma |
<3 Sv/h | |||
Lichid de scintilatie: contaminat in principal cu tritiu si separat de continutul de tritiu. Lichidul de scintilatie provenit de la probele din Sistemul Moderatorului, SPTC si auxiliarele lor este separat de lichidul de scintilatie provenit de la Sistemul de Eliberare a Efluentilor Lichizi;
Doza maxima de contact a radiatiilor gamma: <3 Sv/h;
Continutul maxim de Tritiu: 10 Bq/l;
Noroiul radioactiv: provenit din activitatile de mentenantǎ asupra drenajului ce este contaminat cu nuclizi gama;
Tabel 8. Volumul de noroi radioactiv
|
Anul |
Volum (m |
|
|
Total | ||
|
Doza maximǎ de contact a radiatiilor gamma |
(40-110) |
Sv/h |
Solide inflamabile (solid - solid cu amestec lichid): rezultate din activitati de mentenanta si sunt contaminate cu nuclizi gama. Atunci cand se acumuleaza un volum suficient din cadrul acestui tip de deseu, ele vor fi tratate in concordanta cu cantitatea si tipul de radioactivitate pe care il contin. Uleiurile lubrifiante si solventii sunt colectate in cutii metalice si apoi transferate la subsolul Cladirii Serviciilor; ele sunt stocate in butoaie standard de 200L, autorizate de catre Organul de Reglementare. Solidele inflamabile sunt stocate in butoaie standard de 200L, autorizate de catre Organul de Reglementare.
Tabel 9. Volumul solidelor inflamabile
|
Anul |
Volum (m3) | |
|
2002 (oct) | ||
|
Total | ||
|
Doza maxima de contact a radiatiilor gamma |
(50-200) Sv/h |
|
Deseurile radioactive lichide organice sunt manipulate si stocate in conformitate cu Procedurile de Protectie impotriva Radiatiilor din cadrul Centralei de la Cernavoda. [3]; [12]
2.4. Sistemele privind managementul deseurilor radioactive in cadrul centralei de la Cernavoda
In cadrul centralei de la Cernavoda, sistemele de management privind deseurile radioactive sunt urmatoarele:
a) Sistemul de deseuri radioactive solide
b) Sistemul de manipulare a deseurilor lichide organice
c) Sistemul de manipulare a rasinilor ionice uzate
Deseurile radioactive gazoase si lichide sunt incadrate in cadrul urmatoarelor sisteme ale centralei:
d) Sistemul de deseuri radioactive gazoase
e) Sistemul de deseuri radioactive lichide
f) Sistemul de management al combustibilului ars
a) Sistemul de deseuri radioactive solide
Dupa perioada de pretratare (colectare, segregare, compactare si imprastiere controlata), deseurile solide sunt confinate in butoaie de OLinox si sunt trimise apoi la Depozitul de deseuri radioactive solide.
Depozitul de deseuri radioactive solide este localizat in interiorul gardului de securitate al centralei si este preconizat pentru depozitarea deseurilor de activitate joasa si medie. Depozitul are o capacitate de depozitare suficienta pentru deseurile produse in centrala, cu exceptia rasinilor ionice uzate, barelor de control a reactivitǎtii si a combustibilului uzat. El se compune din trei structuri situate deasupra solului cu o durata de viata proiectata la 50 ani, dupa cum urmeaza:
- un depozit
- doua structuri de beton
Depozitul este o cladire din beton cu o capacitate totalǎ de depozitare de 2400 m3 . in interiorul acestei structuri sunt stocate pe patru nivele butoaie de OLinox ce contin deseuri radioactive solide cu activitate joasa si medie atat compactabile cat si necompactabile. Capacitatea ocupata este de 179,14 m3 la sfarsitul lui Decembrie 2004.
O structurǎ din beton constǎ din celule cilindrice de beton dimensionate sa gazduiasca toate cartusele filtrante uzate de joasa si medie activitate, rezultate din operarea centralei. Capacitatea de depozitare proiectata este de 57.77 m3. in interiorul celulelor de beton exista casete metalice ce au partile inferioare si superioare proiectate astfel incat sa se evite contaminarea celulei. Dimensiunile celulelor de beton sunt prezentate in tabelul urmator. Volumul ocupat de cartuse filtrante este de aproximativ 1.46 m3 la sfarsitul anului 2004.
Tabel 10. Caracteristicile dimensionale ale capacitǎtilor de depozitare de la centrala de la Cernavoda ale cartuselor filtrante uzate
|
Tipul celulelor de beton |
Numarul de celule |
Diametrul (mm) |
Inǎltimea (m) |
|
Mare | |||
|
Medie | |||
|
Micǎ |
Existǎ o altǎ structurǎ de beton pentru depozitarea pieselor inalt contaminate si are o capacitate de 41 m3. Ea constǎ dintr-un numar de 8 cuburi de beton care pot fi mutate impreunǎ cu continutul de deseu. In mod curent, aceasta structura nu contine nici un fel de deseu.
b) Sistemul de manipulare a deseurilor lichide organice
Sistemul de manipulare a deseurilor lichide organice consta in uleiuri uzate, solventi uzati, lichide de scintilatie, solide inflamabile, noroi radioactiv, ce nu pot fi procesate prin intermediul sistemului de management al deseurilor radioactive lichide datorita impactului lor asupra mediului inconjurator.
Sistemul de manipulare a deseurilor lichide organice consta in managementul urmatoarelor tipuri de deseuri: uleiuri, lichide de scintilatie, noroi radioactiv, solide inflamabile (solide + amestecuri lichide). Aceste deseuri (32.78 m3 la sfarsitul anului 2004) sunt depozitate temporar in butoaie de 220 L OLinox in interiorul Depozitului de deseuri radioactive.
c) Sistemul de manipulare a rasinilor ionice uzate
Sistemul de manipulare a rasinilor ionice uzate de la Cernavoda include rezervoare de stocare pentru rasinile uzate rezultate din circuitele de purificare ale centralei. Depozitarea rasinilor ionice uzate are loc in trei incinte realizate din beton armat captusit cu rasina epoxidicǎ, localizate in Cladirea Serviciilor in proximitatea Cladirii Reactorului. Capacitatea fiecarui rezervor este de 200 m3.
d) Sistemul deseurilor radioactive gazoase
Aerul potential contaminat este circulat prin intermediul a patru sisteme de ventilatie:
Aerul din cadrul acestui sistem este filtrat printr-un filtru de eficienta inalta HEPA
Aerul din cadrul acestui sistem este trecut printr-un pre-filtru, filtru HEPA, filtru activat cu carbune pentru a se retine iodul radioactiv si un filtru final HEPA.
Filtrarea acestui aer este realizata in mod similar cu cea existenta in cazul Sistemului de evacuare din Cladirea Reactorului.
Aerul din acest sistem este nefiltrat deoarece contine cantitati mici de tritiu. in zonele statiei unde este localizata apa grea exista un Sistem de recuperare a vaporilor intr-un ciclu inchis ce recupereaza majoritatea vaporilor de tritiu esapat. Tot aerul esapat potential contaminat este dirijat catre cosul de evacuare de unde este descarcat.
e) Sistemul de management al deseurilor radioactive lichide
Deseurile radioactive lichide (apoase) sunt colectate in cinci rezervoare de stocare si retinere a acestor tipuri de deseuri. Ele sunt localizate la subsolul Cladirii serviciilor. Fiecare rezervor are o capacitate de 50 m3. Dupa un control sever, continutul oricarui rezervor va fi deversat in Dunare sai in Canalul Dunare - Marea Neagra (prin conducta de apa de racire a condensatorului). Este prevazuta o unitate de decontaminare pentru minimiza existenta particulelor radioactive in orice efluent daca acest lucru este necesar. Ea include si o filtrare si un schimb de ioni prin intermediul unui pre - filtru captusit utilizand ca material de filtrare microrǎsini ionice si un material special fibros pentru o filtrare coloidala. Aceasta filtrare coloidala se utilizeaza datorita faptului ca principalele materiale contaminate constau in combinatia particulelor coloidale si a materialelor ionice aflate intr-un mediu reprezentat de apa deionizatǎ. [12]
f) Sistemul de management al combustibilului ars
Depozitul Intermediar de stocare Combustibil Ars de la Cernavoda trebuie sa fie astfel proiectat incat sa indeplineasca urmatoarele functii de securitate:
Sa asigure confinarea corespunzatoare a combustibilului;
Sa asigure controlul criticitatii combustibilului ars stocat;
Sa asigure evacuarea caldurii reziduale astfel incat temperatura combustibilului ars si a elementelor aferente instalatiei sa se incadreze in limitele de proiectare;
Sǎ asigure protectia radiologica;
Sa asigure manipularea combustibilului ars in conditii de securitate;
Sǎ mentina integritatea structurilor in situatia aparitiei unor evenimente naturale (cutremur, etc)sau a unor evenimente induse de actiuni umane (incendii, explozii, etc);
Sǎ mentina posibilitatea de recuperare a cosurilor cu combustibil din incintele de stocare, pe toata durata de viata a depozitului.
Ecranarea Statiei de Incarcare Combustibil Ars
SICA este prevazutǎ cu ecrane de protectie adecvate pentru radiatiile gama si pentru neutroni, astfel incat debitul dozei la suprafetele exterioare accesibile ale SICA sǎ fie mai mic de 25 Sv/ora cand in interiorul instalatiei se aflǎ un cos de stocare incarcat cu 60 fascicule de combustibil de referintǎ.
Ecranarea Containerului de transfer
Containerul de transfer este prevazut cu ecrane de protectie adecvate pentru radiatiile gama si pentru neutroni, astfel incat debitul dozei la suprafetele exterioare accesibile ale containerului sa fie mai mic de 25 Sv/ora (limita stabilita pe baza practicii din Canada).
Ecranarea Modulului de stocare
Modulul de stocare este prevazut cu ecrane de protectie adecvate pentru radiatiile gama si pentru neutroni, astfel incat debitul dozei la suprafetele exterioare accesibile ale modulului sa fie mai mici decat 25 Sv/ora, cand modulul este incarcat cu 12000 de fascicule de combustibil ars de referintǎ.
Debitul dozei la gardul incintei
Debitul dozei de proiect la gardul incintei este de 2,5 Sv/ora.
La momentul actual, in Romania, nu existǎ instalatii existente de tratare si conditionare pentru volume mari de deseuri radioactive rezultate din operarea Centralei nucleare de la Cernavodǎ. Procesele de tratare si conditionare pentru deseurile rezultate din ciclul combustibilului vor fi asumate si se vor baza pe o strategie romanǎ actualǎ si pe practica standard internationalǎ. Ca principiu, vor fi utilizate numai tehnologii incercate si dovedite ca fiind corespunzatoare pentru tratarea si conditionarea a oricarui tip de deseu radioactiv. Vor fi luate in considerare urmatoarele sisteme de ambalare:
cimentarea rasinilor ionice uzate in butoaie;
cimentarea deseurilor compactate in butoaie;
cimentarea deseurilor necompactabile.
Optiuni de tratare
Luand in considerare caracteristicile deseurilor lichide organice ce provin din operarea Centralei Nucleare de la Cernavoda (de activitate joasǎ avand ca principal radionuclid tritiul), s-au evaluat cateva tehnici posibile pentru conditionarea acestor tipuri de deseuri.
Incinerarea este o tehnica si metoda atractiva pentru tratarea deseurilor lichide organice deoarece ele sunt deseuri combustibile si se pot obtine factori mari de volum. Totusi, datorita concentratiei mari de tritiu specificǎ reactoarelor CANDU existentǎ in cazul deseurilor lichide organice si tinand cont de imposibilitatea retinerii tritiului in reziduuri dupa incinerare, metoda devine practic impracticabilǎ.
Se considerǎ deci, trei alternative de tratare ale deseurilor lichide organice:
Emulsionare si cementare
Cimentul propriu-zis are o eficientǎ limitatǎ privind solidificarea deseurilor lichide organice. Doar aproximativ 12 % din uleiuri pot fi incorporate direct in ciment si care pot sǎ rǎmanǎ in stare de formǎ de deseu uscat si monolitic. Totusi, se pot obtine cresteri insemnate ale incǎrcǎturilor de deseuri atunci cand sunt utilizate deseuri emulsionate si multifazate (ulei/apa/solvent). Amestecul componentelor trebuie sa prevada doar un mixer in interiorul butoiului.
S-ar obtine, in aceasta variantǎ, o compozitie tipicǎ pentru solidificarea uleiurilor radioactive si anume butoaie de 200 l:
- Ciment Portland: 165 kg
- Var: 17 kg
- Ulei: 72 l
- Agent emulsificator (Ex. NUTEK 380A): 62 l
- Apa: 14 l
- Accelerator (Ex. NUTEK 380B): 7 l
Absorbtie si cementare
In locul unei emulsionari a deseurilor lichide organice inaintea combinarii cu praful de ciment, lichidul organic poate fi absorbit intr-un absorbant corespunzator in forma de particule uscate care sunt apoi amestecate cu praful de ciment si apa pentru a produce forma finalǎ a deseurilor in butoaiele standard de 200 l.
Cateva compozitii tipice ale formelor solidificate ale deseurilor utilizand aceastǎ tehnicǎ sunt urmatoarele:
Tabel 11. Compozitii tipice ale formelor solidificate ale deseurilor
|
Tipul de absorbant |
Cantitati (g) |
||||
|
Ciment |
Ulei |
Absorbant |
Apa |
Continutul de lichid al deseului % |
|
|
Argila | |||||
|
Vermiculita | |||||
|
Fibre naturale | |||||
|
Pamant diatomitic | |||||
|
Fibre sintetice | |||||
Aceasta tehnicǎ reprezinta un proces relativ scazut, necesitand o minima calificare a operatorului si echipament usor de obtinut.
Este de asteptat sǎ fie posibil de utilizat in cazul volumelor mici de deseuri lichide organice ce sunt asteptate sǎ se produca in urma operarii Centralei nucleare de la Cernavodǎ.
Cimentare directǎ
Curgerile de lichid radioactiv ce rezultǎ din decontaminarea acestora cu apǎ, acizi organici, sapun sau detergenti in concentratii scazute, vor fi colectate astfel incat aceasta sǎ fie folositǎ ca apǎ pentru prepararea betonului. Aceasta optiune va fi verificatǎ prin intermediul laboratoarelor de testare.
Caracteristicile principale ale solutiilor de decontaminare ale echipamentelor asa cum se practicǎ la El Cabril sunt:
Acid citric: 3 - 6 %
Detergent: 0.5 - 1 %
Pentru a selecta cele mai convenabile procese de tratare si conditionare ale deseurilor operationale, se va implementa un program detaliat de caracterizare a deseurilor. [3]
Tabel 12. Principalele caracteristici ale celor trei procese de tratare
|
Precipitare chimicǎ |
Schimb de ioni / Sorbtie |
Evaporare |
|
|
Caracteristicile deseurilor lichide |
Insensibil la solutii cu concentratii mari de sare. Posibile efecte negative atunci cand sunt prezenti uleiuri, detergenti si agenti complecsi. |
Potrivit pentru: continut scazut al suspensiilor; continut scazut al sari; absenta speciilor active ne- ionice |
Continut scazut al detergentilor cerut Nu este potrivit pentru radionuclizi volatili ca tritiul |
|
Factorul de decontaminare |
exceptional >1000 (α) |
medie 100 ~ 1000 | |
|
Factorul de reducere al volumului |
10-100 (noroi), 200-10 000 (solide uscate) |
Depinde de continutul de sare din solutie |
|
|
Specificitatea |
Poate fi urmarita pe o varietate mare de specii |
Poate fi urmarita pe o varietate mare de specii |
Nu este specifica speciilor dar poate fi urmarita pentru diversi solventi chimici |
|
Combinarea conventionala cu alte procese |
Posibila cu procesul de evaporare si ultrafiltrare |
Posibila cu procesul de evaporare |
Condensatul poate fi tratat ulterior prin schimb de ioni |
|
Procese |
Volumul suspensiilor poate fi important Sistem de deuterizare necesar pentru noroi Riscuri chimice asociate cu reactivi |
Stabilitate limitata la radiatii Rezistenta limitata la caldura |
Sensibil la incadrare in tipodimensiuni, precipitare cu sare, coroziune. |
|
Tipuri de aplicatii |
Concentrarea speciilor active |
Demineralizarea/decontaminarea efluentilor atunci cand continutul de sare este <1 g/L |
Concentrarea solutiei (specii active si inactive) |
|
Scopul aplicatiei |
Deseurile lichide provenite din centralele nucleare Deseurile de viata scurta si medie in operatiile de reprocesare Deseurile lichide provenite din centrele nucleare de cercetare |
Mentinerea calitatii apei din bazin Conditionarea apei din circuitele reactorului Tratamente variate privind operatiile de reprocesare Post-tratarea pentru celelalte operatii |
Curatirea agentului primar Deseurile lichide provenite din centralele nucleare Utilizari diverse in operatiile de reprocesare |
|
Mentenanta |
Posibil blocaj al liniilor de alimentare si coroziunea |
Posibil blocaj al paturilor de rasini schimbatoare de ioni |
Posibila incadrare in tipodimensiuni, precipitare cu sare, coroziune. |
|
Costul |
Cost relativ scazut |
Relativ scump, in principal pentru schimbatoarele sintetice de ioni |
Scump, consum mare de energie |
Sursa: IAEA - TRS402 "Handling and procesing of RW from nuclear applications"
2.5. Propunere de conditionare a rasinilor uzate (limite de securitate)
Conditionarea rasinilor ionice uzate se va realiza in Centrala de la Cernavoda, simultan cu descarcarea rasinilor din bazinele de depozitare.
Pentru o ratǎ de 3 la 1 a greutǎtii, se va obtine un produs final cu principalele proprietǎti:
Solubilitate: 10-3, 10-2 g/cm zi;
Eliberare de gaze: un gaz de radioliza poate fi posibil a fi eliberat;
Pericol de explozie: nu existǎ;
Stabilitate impotriva bacteriilor: posibila dar rar;
Densitate: 1.7 ~ 2.4 g/cm3;
Tensiune mecanicǎ: 150 ~ 650 kg/cm2;
Fragilizare: posibilǎ;
Punct de topire: > 1000 C;
Punct de aprindere: produsul nu este inflamabil;
Descompunere chimicǎ: produsul nu se descompune chimic dar formarea de fisuri este posibila;
Conductivitate termica: 1 W/m K;
Capacitate termica: 900 J/kg K;
Transformare de faza: > 1000 C;
Stabilitate la radiatii:
toleranta maxima la doza de radiatie integrata: 1010 Rad;
radioliza pana la: 0.02 m3 H si 0.7 cm3 O /grame la 100 MRad;
rezistenta la iradiatii: in curs de investigatie;
omogenitate: functie de gradul de amestec.
Tendinta la segregare: absentǎ. [3]
Capitolul 3. Cerinte tehnice privind transportul deseurilor radioactive
Conform Normelor Fundamentale Pentru Transportul in Siguranta Al Materialelor Radioactive, emise de organul de reglementare, aplicabile in cazul transportului de materiale radioactive, deseurile radioactive sunt incluse in categoria Materiale radioactive cu dispersabilitate redusa (ASJ) si Obiecte contaminate la suprafata (OCS).
Material radioactiv cu activitate specifica joasa (ASJ) inseamna un material radioactiv care prin natura lui are o activitate specifica limitata, sau materiale radioactive pentru care se aplica limite ale activitatii specifice medii estimate. Materialele protectiei exterioare din jurul materialelor ASJ nu vor fi luate in considerare la estimarea activitatii specifice medii.
Materialele ASJ sunt incadrate in urmatoarele trei grupe:
a) ASJ-I:
(i) Minereuri de uraniu sau toriu si concentratele acestor minereuri, si alte minereuri care contin radionuclizi naturali, destinate procesarii in scopul utilizarii acestor radionuclizi;
(ii) Uraniu natural solid sau uraniu saracit sau toriu natural, neiradiate, sau compusii ori amestecurile solide sau lichide ale acestora;
(iii) Materiale radioactive pentru care valoarea A nu este limitatǎ, cu exceptia materialelor fisile in cantitati ne-exceptate;
(iv) Alte materiale radioactive a caror activitate este distribuita in masa materialului si care au o activitate specifica medie estimata la mai putin de 30 de ori valoarea pentru concentratia de activitate specificata excluzand materialele fisile in cantitǎti neexceptate.
b) ASJ-II:
(i) Apa avand concentratii de tritiu pana la valoarea de 0.8 TBq/l;
sau
(ii) Alte materiale in care activitatea este distribuita in masa materialului si pentru care media activitatii specifice estimate nu depaseste 10-4 A /g pentru solide si gaze, si 10-5 A /g pentru lichide.
c) ASJ-III:
Solide (ex. deseuri conditionate, materiale activate) excluzand materialele solide sub forma de pulbere, in care:
(i) materialul radioactiv este distribuit in intreaga masa a unui obiect sau a mai multor obiecte solide, sau este distribuit relativ uniform intr-un obiect consolidat printr-un liant solidifiant (cum ar fi beton, bitum, ceramica, etc.);
(ii) materialul radioactiv este relativ insolubil sau este structural continut intr-o matrice relativ insolubilǎ, astfel incat chiar in eventualitatea deteriorarii ambalajului, pierderea de material radioactiv pe colet prin lixiviere, dupa ce acesta a fost tinut timp de 7 zile in apa, nu va depasi 0,1 A
(iii) activitatea specificǎ medie estimata a solidului, excluzand orice material de ecranare, nu depaseste 2 x 10-3 A /g.
Prin obiect contaminat la suprafatǎ se intelege un obiect solid care el insusi nu este radioactiv, dar care prezinta materiale radioactive distribuite pe suprafata sa.
Aceste obiecte se clasificǎ in douǎ grupe:
a) OCS-I: Un obiect solid pentru care:
(i) contaminarea radioactiva nefixatǎ pe suprafata accesibilǎ mediatǎ pe 300 cm , (sau pe intreaga suprafata accesibilǎ in cazul cand aceasta este mai mica de 300 cm ) nu depǎseste 4 Bq/cm pentru emitatori beta, gama si emitatorii alfa cu toxicitate redusa, sau 0,4 Bq/cm pentru toti ceilalti emitatorii alfa; si
(ii) contaminarea radioactiva fixatǎ pe suprafata accesibilǎ mediatǎ pe 300 cm , (sau pe intreaga suprafata accesibila in cazul cand aceasta este mai mica de 300 cm ) nu depaseste 4 x 10 Bq/cm pentru emitatori beta, gama si emitatori alfa cu toxicitate redusa, sau 4 x 10 Bq/cm pentru toti
ceilalti emitatori alfa; si
(iii) contaminarea radioactiva nefixata plus contaminarea radioactiva fixata pe suprafata inaccesibila mediata pe 300 cm , (sau pe intreaga suprafata inaccesibila, in cazul cand aceasta este mai mica de 300 cm ) nu depaseste 4 x 10 Bq/cm pentru emitatori beta, gama si emitatori alfa cu toxicitate redusa, sau 4 x 10 Bq/cm pentru toti ceilalti emitatori alfa.
b) OCS-II: Un obiect solid pe care, fie contaminarea radioactiva fixata, fie cea nefixata pe suprafata, depasesc limitele specificate mai sus pentru OCS-I si pentru care:
(i) contaminarea radioactivǎ nefixatǎ pe suprafata accesibilǎ mediat pe 300 cm , (sau pe intreaga suprafatǎ accesibilǎ in cazul cand aceasta este mai micǎ de 300 cm ) nu depaseste 400 Bq/cm pentru emitatori beta, gama si emitatori alfa cu toxicitate redusǎ, sau 40 Bq/cm pentru toti ceilalti emitatori alfa;
(ii)contaminarea radioactiva fixata pe suprafata accesibila mediata pe 300 cm , (sau intreaga suprafata accesibila in cazul cand aceasta este mai mica de 300 cm ) nu depǎseste 8 x 10 Bq/cm pentru emitatori beta, gama si emitatori alfa cu toxicitate redusa, sau 8 x 10 Bq/cm pentru toti ceilalti emitatori alfa;
(iii) contaminarea radioactiva nefixatǎ plus contaminarea radioactiva fixata pe suprafata inaccesibila mediata pe 300 cm , (sau pe intreaga suprafata inaccesibila in cazul in care aceasta este mai mica de 300 cm ) nu depǎseste 8 x 10 Bq/cm pentru emitatori beta, gama si emitatori alfa cu toxicitate redusa, sau 8 x 10 Bq/cm pentru toti ceilalti emitatori alfa.
Tabel 13. Valorile de bazǎ ale radionuclizilor ce au importantǎ pentru depozitarea deseurilor radioactive
|
Radionuclid (numar atomic) |
A (TBq) Activitatea maxima a materialelor radioactive sub forma speciala |
A (TBq) Activitatea maximǎ a materialelor radioactive |
|||
|
Norma |
CNCAN |
IAEA |
CNCAN |
IAEA |
|
|
C - 14 |
4x101 |
3x10 | |||
|
Cm - 242 |
4x10 |
4x10 |
1 x 10 |
1 x 10 |
|
|
Co - 60 |
4x10 |
4x10 |
4x10 |
4x10 |
|
|
Cs - 137 |
2x10 |
6x10 |
5x10 |
||
|
I - 129 |
nelimitat |
nelimitat |
nelimitat |
nelimitat |
|
|
Nb - 94 |
7x10 |
7x10 |
7x10 |
7x10 |
|
|
Ni - 59 |
nelimitat |
nelimitat |
nelimitat |
nelimitat |
|
|
Ni - 63 |
4x10 |
4x10 |
3x10 |
3x10 |
|
|
Pu - 241 |
4x10 |
4x10 |
6x10 |
6x10 |
|
|
Ra - 226 |
2x10 |
2x10 |
3x10 |
3x10 |
|
|
Sr - 90 |
3x10 |
3x10 |
3x10 |
3x10 |
|
|
Th natural |
nelimitat |
nelimitat |
nelimitat |
nelimitat |
|
|
U natural |
nelimitat |
nelimitat |
nelimitat |
nelimitat |
|
|
Zr - 93 |
nelimitat |
nelimitat |
nelimitat |
nelimitat |
|
|
Se stie ca sunt prezenti numai emitatori beta sau gama | |||||
|
Se stie ca sunt prezenti emitatori alfa |
9x10 |
9x10 |
|||
|
Nu existǎ date relevante asupra continutului |
9x10 |
9x10 |
|||
Tabel 14. Cerinte pentru coletele industriale destinate transportului materialelor ASJ si OCS
|
Continutul radioactiv |
Tipul coletului industrial |
|
|
Utilizare exclusiva |
Altfel decat in utilizare exclusiva |
|
|
ASJ-I Solid Lichid |
CI-1 CI-1 |
CI-1 CI-2 |
|
ASJ-II Solid Lichid si gaz |
CI-2 CI-2 |
CI-2 CI-3 |
|
ASJ-III |
CI-2 |
CI-3 |
|
OCS-I |
CI-1 |
CI-1 |
|
OCS-II |
CI-2 |
CI-2 |
Cantitatea de material ASJ sau OCS intr-un singur colet industrial tip 1(CI-1), colet industrial tip 2 (CI-2), colet industrial tip 3 (CI-3), sau obiecte sau ansambluri de obiecte, dupa caz, va fi limitata astfel incat, nivelul intensitǎtii radiatiei externe la 3 m de materialul neecranat, de obiectul sau de ansamblul de obiecte, nu va depasi 10 mSv/h.
Intensitatea radiatiilor, in conditii normale de transport, trebuie sa nu depaseascǎ 2 mSv/h in orice punct de pe suprafata exterioara a mijlocului de
transport si 0.1 mSv/h la 2 m de aceasta.
Pentru expeditii sub aranjament special intensitatea radiatiei nu va depǎsi:
a) 10mSv/h in orice punct de pe suprafata exterioara a oricarui colet sau ambalaj exterior si poate depasi 2 mSv/ora numai dacǎ:
(i) vehiculul este echipat cu o imprejmuire care sa nu permita, in conditii obisnuite de transport, accesul persoanelor straine;
(ii) sunt luate mǎsuri de asigurare a coletelor si ambalajelor exterioare astfel incat acestea sǎ rǎmanǎ in aceiasi pozitie in interiorul vehiculului, in conditii obisnuite de transport;
(iii) nu se efectueaza incǎrcǎri si descarcari pe parcursul expedierii.
b) 2mSv/h in orice punct de pe suprafata exterioarǎ a vehiculului, inclusiv pe suprafetele exterioare superioare si inferioare, sau, in cazul unui vehicul deschis, in orice punct al planurilor verticale ridicate pe muchiile exterioare ale vehiculului, pe suprafata superioara a incǎrcǎturii sau pe suprafata exterioara de jos a vehiculului;
c) 0.1 mSv/h in orice punct situat la distanta de 2 m de planele verticale reprezentate de suprafetele exterioare laterale ale vehiculului, sau dacǎ incarcatura este transportatǎ intr-un vehicul deschis, in orice punct situat la distanta de 2 metri de planele verticale ridicate pe muchiile exterioare ale vehiculului.
Nivelul de radiatie pentru orice pozitie normal ocupata nu va depǎsi 0.02 mSv/ora decat daca pentru persoanele ce ocupa acele pozitii sunt prevazute cu dispozitive individuale de monitorizare.
Limitele de contaminare maxim admise pentru containerele reutilizabile, determinate de catre un filtru de hartie de 10 cm2 sau o laveta de bumbac ce absoarbe o suprafatǎ de 300 cm2 sunt urmatoarele:
In interiorul containerului:
- uraniul natural, toriu natural, uraniul saracit: 10-1 Ci/cm2
- emitatorii beta/ gama sau emitatorii alfa cu toxicitate scazuta: 10-2 Ci/cm2
- alti emitatorii alfa: 10-3 Ci/cm2
In exteriorul containerului:
- uraniul natural, toriu natural, uraniul saracit: 10-3 Ci/cm2
- emitǎtorii beta/ gama sau emitatorii alfa cu toxicitate scazuta: 10-4 Ci/cm2
- alti emitǎtori alfa: 10-5 Ci/cm2
Doza radiatiei pentru transportul in conditii normale si conditii de manipulare nu vor depǎsi urmatoarele limite:
200 mrem/ora (2 mSv/ora) in orice punct situat pe suprafata exterioara a containerului incarcat;
10 mrem/ora (100 Sv/ora) in orice punct situat la 2 metri (pentru container mai mare de 3 m3) si 1 metru (container mai mic de 3 m3) pe suprafata exterioarǎ a containerului incarcat.
Pentru conditii speciale in cazul transportului feroviar, urmatoarele limite sunt admise:
a) 1000 mrem/ora (10 mSv/ora) in orice punct situat pe suprafata exterioarǎ a containerului in cazul:
- containerul este localizat intr-o zona delimitata astfel incat accesul persoanelor neautorizate sǎ nu fie posibil;
- containerul este bine ancorat;
- nu este efectuata nici o operatie de incarcare / descarcare in timpul transportului.
b) 200 mrem/ora (2 mSv/ora) in orice punct situat pe suprafata exterioara a incaperii unde este pozitionat containerului in timpul transportului.
c) 10 mrem/ora (100 Sv/ora) in orice punct situat la 2 metri distanta de suprafetele exterioare ingradite;
d) 2 mrem/ora (20 Sv/ora) in cazul cand transportul se realizeaza prin autocamioane, pentru locurile din vehicul ocupate de persoane, exceptand cazurile cand persoanele sunt echipate cu dozimetre individuale.
CERINTE GENERALE PENTRU TOATE AMBALAJELE si COLETELE
Coletul trebuie astfel proiectat ca masa, volum si forma, incat sǎ fie simplu si sigur de transportat. In plus, coletul trebuie astfel proiectat, incat sǎ fie corespunzator ancorat in sau pe mijlocul de transport, pe durata transportului.
Modelul va fi astfel conceput, incat prizele de ridicare cu care este prevazut sa nu cedeze cand sunt corect folosite, iar in caz de rupere, sa nu fie afectata capacitatea coletului de a satisface celelalte cerinte ale prezentelor norme. in proiect trebuiesc introdusi coeficienti de siguranta corespunzatori pentru eventualitatea ridicarii prin smulgere.
Prizele si toate celelalte dispozitive de pe suprafata exterioarǎ a ambalajului care ar putea fi utilizate pentru ridicare, trebuie sǎ fie astfel realizate, incat sǎ fie capabile sǎ suporte masa coletului sau sǎ poata fi demontate sau facute imposibil de utilizat pe durata transportului.
In masura in care este practic posibil, suprafetele exterioare ale ambalajului trebuie astfel realizate si finisate incat sa nu prezinte goluri si sa fie usor de decontaminat.
In masura in care este practic posibil, exteriorul coletului trebuie astfel realizat incat sa previna colectarea si retinerea apei .
Orice dispozitive adaugate coletului in timpul transportului, si care nu fac parte integranta din colet, trebuie sa nu micsoreze gradul de securitate al coletului.
Coletul trebuie sǎ reziste efectelor oricaror acceleratii, vibratii sau rezonante la vibratii, care pot apare in conditii normale de transport, fǎrǎ a suferi vreo deteriorare atat in ceea ce priveste eficacitatea dispozitivelor de inchidere ale diverselor componente, cat si in ce priveste integritatea coletului in ansamblul sau. in particular, piulitele, buloanele si alte piese de fixare trebuie sǎ fie astfel realizate, incat sǎ previna slabirea sau desfacerea de la sine, chiar si dupa utilizari repetate.
Materialele ambalajului si ale oricaror componente si structuri trebuie sa fie compatibile din punct de vedere chimic si fizic intre ele precum si cu continutul radioactiv. Trebuie sǎ se tina seama si de comportarea acestora la actiunea radiatiilor.
Toate valvele prin care continutul radioactive poate scapa in exterior trebuie sa fie protejate impotriva oricarei manipulari neautorizate.
Modelul de colet trebuie sǎ tina seama de temperatura si presiunea mediului inconjurator, in conditii normale de transport.
Materialele radioactive trebuie sa fie amplasate suficient de departe fata de persoanele expuse profesional sau persoanele din populatie. Pentru calcularea distantelor sau a nivelului de iradiere, vor fi utilizate urmatoarele
valori de referinta pentru doze:
a) pentru persoanele expuse profesional, in zonele de sedere permanenta, o valoare maxima a dozei de 5 mSv intr-un an;
b) pentru persoanele din populatie, in zonele de acces obisnuit, se admite o valoare maximǎ a dozei pentru grupul critic de 1 mSv intr-un an. [3]; [9]
Capitolul 4. Cerinte tehnice privind depozitarea finala a deseurilor radioactive provenite din operarea reactorilor nucleari
Tabel 15. Limitele activitatii per colet (Bq/t)
|
Radionuclid |
NRC USA [1] |
IAEA TECDOC [2] |
OECD Report [3] |
Drigg UK [4] |
L'Aube Franta [5] |
El Cabril [10] |
Propunere ANDRAD |
|
C-14 |
1,5x1011 |
1,0x1012 |
4,0x1014 |
1,2x1010 |
2,0x1011 |
2,0x1011 |
2,0x1011 |
|
Ni-59 |
4,1x1012 |
1,2x1010 |
6,3x1010 |
6,3x1010 |
6,3x1010 |
||
|
Nb-94 |
3,7x109 |
9,0x107 |
4,0x109 |
1,2x1010 |
1,2x108 |
1,2x108 |
1,2x108 |
|
Tc-99 |
5,6x1010 |
8,0x1011 |
8,0x1013 |
1,2x1010 |
1,0x109 |
1,0x109 |
1,0x109 |
|
I-129 |
1,5x109 |
7,0x109 |
2,0x1010 |
1,2x1010 |
4,7x107 |
4,7x107 |
4,7x107 |
|
Total Alfa |
3,7x109 |
2,0x109 |
4,0x1010 |
4,0x109 |
3,7x1010 |
3,7x109 |
3,7x109 |
|
Nuclizi cu T < 5 ani |
1,3x1013 | ||||||
|
H-3 |
1,2x1010 |
1,2x1010 |
1,2x1012 |
1,2x1012 |
|||
|
Co-60 |
1,2x1010 |
5,0x1013 |
5,0x1013 |
5,0x1013 |
|||
|
Ni-63 |
1,3x1013 |
1,2x1010 |
1,2x1013 |
1,2x1013 |
1,2x1013 |
||
|
Sr-90 |
1,3x1014 |
1,0x1015 |
6,0x1014 |
1,2x1010 |
9,1x1010 |
9,1x1010 |
9,1x1010 |
|
Cs-137 |
8,5x1013 |
3,0x1013 |
8,0x1011 |
1,2x1010 |
3,3x1011 |
3,3x1011 |
3,3x1011 |
|
Ra-226 |
5,0x107 |
1,0x108 |
1,2x1010 |
5,0x107 |
4.1. Caracteristicile coletelor de deseuri
Rata dozei externe ( la suprafata containerului):
Doza la suprafata coletelor de deseuri este limitatǎ astfel incat sǎ se limiteze expunerea ocupationalǎ. Conform Normei Fundamentale de Securitate Radiologicǎ, limita dozei efective pentru personalul expus profesional este de 20 mSv (milisievert) pe an. Doza la suprafatǎ este importantǎ atunci cand deseurile cu radioactivitate medie sunt depozitate si sunt necesare precautii speciile sǎ fie luate. Deseurile cu radioactivitate medie generate la Cernavodǎ pot avea un flux al radiatiei gama in exces cu 125 mGy/ora la contactul cu containerul.
Contaminarea superficialǎ:
Nivelele de contaminare la suprafatǎ trebuie sǎ fie controlate pentru a limita expunerea profesionalǎ. Prezenta contaminarii la suprafatǎ poate contribui la expunerea profesionalǎ a lucratorilor, mai ales daca ea nu este o contaminare fixatǎ. Nivelele de contaminare trebuie a fi mentinute cat mai jos posibile si nu trebuie sǎ depǎseascǎ 40 kBq/m2.
Siguranta criticǎ:
Continutul de material fisil al fiecarui colet trebuie sǎ fie limitat pentru a preveni aparitia unui accident sever. Potentialele mecanisme de scurgere si concentrare a materialelor fisile pot fi luate in considerare in stabilirea limitelor continutului de material fisil.
Combustibilitatea:
Combustia poate aparea ca un rezultat imediat al riscului eliberarii de radioactivitate intr-un mod necontrolat. Deseurile combustibile pot fi incinerate inainte de depozitare sau pot fi tratate ori ambalate intr-un mod care sa le faca necombustibile.
Generarea de gaze de fisiune:
Existǎ numeroase mecanisme pentru generarea de gaze, incluzand radioliza, reactii chimice si descompunerea materialelor organice. O generare de gaze in exces poate duce la o presurizare sau o distorsionare a containerelor sau a barierelor ingineresti, care pot conduce la eliberari masive de activitate. Deseurile pot fi ambalate intr-un mod astfel incat generarea de gaze sǎ nu pericliteze performantele sistemului de depozitare. Prezenta gazelor comprimate este interzisǎ.
Prezenta lichide libere:
Prezenta lichidelor libere mǎreste potentialul eliberarilor de activitate in timpul manipularii. Aceasta poate avea ca rezultat o crestere a expunerii profesionale si poate crea o cale pentru eliberarea de activitate. Prezenta lichidelor libere poate fi evitatǎ fie prin conditionarea lichidelor prin formarea unui deseu solid fie prin absorbtia lor intr-o matrice solidǎ.
Prezenta lichidelor libere trebuie sǎ fie exclusǎ.
Prezenta agenti complecsi sau compusi organici:
Agentii complecsi sau compusi organici sunt de regula utilizati in operatii de decontaminare. Aceasta caracteristicǎ le face sǎ fie de nedorit intr-o facilitate de depozitare.
Agentii complecsi sau compusi organici trebuie sǎ fie exclusi sau controlati in limite bine definite.
Materiale explozive
Deseurile ce contin componente detonabile sau foarte instabile reprezinta un risc foarte mare la adresa lucratorilor si sunt caracterizate de un risc inacceptabil, risc tradus printr-o eliberare necontrolatǎ de radioactivitate.
Materialele explozive trebuie sǎ fie excluse.
Prezenta amestecuri piroforice
Prezenta materialelor piroforice este inacceptabilǎ din acelasi motiv ca materialele explozive.
Deseurile ce contin materialele piroforice trebuie sa fie conditionate astfel incat sa inlature acest pericol inainte de depozitarea finalǎ.
Materiale corozive:
Materialele corozive pot afecta sever performantele in mentinerea sigurantei sistemelor in cazul depozitarii finale prin perforarea containerului cu deseuri sau prin dizolvarea elementelor de deseuri.
Materialele corozive trebuie sa fie excluse din sistemul de depozitare.
Degradare microbianǎ:
Degradarea microbianǎ a unor materiale poate avea ca rezultat o degradare atat fizicǎ cat si chimicǎ a formei deseurilor. Descompunerea materialelor organice poate duce la o scadere a volumului, crescand riscul in ceea ce priveste stabilitatea structuralǎ a depozitului.
Degradarea microbianǎ poate amplifica de asemenea mobilitatea radionuclizilor printr-o crestere a solubilitǎtii in urmatoarele moduri:
transformarea starii chimice a radionuclizilor in forme mai mobile;
transformarea compusilor organici care imobilizeaza radionuclizii;
cresterea suprafetei fisurii deseurilor atunci cand se fisureaza;
generarea de gaze de fisiune.
Prezenta anumitor tipuri de materiale organice susceptibile a fi degradabile microbiologic trebuie sǎ fie interzisǎ.
4.2. Cerinte privind deseurile inacceptabile si cele care trebuie tratate pentru a fi depozitate in sigurantǎ
Deseurile lichide trebuie sǎ fie fixate intr-o matrice solidǎ sau ambalate intr-un material suficient absorbant pentru a se putea absorbi de doua ori volumul lichidului.
Deseurile solide ce contin lichide vor trebui sa aiba, intr-o masurǎ acceptabil rezonabilǎ, cat mai putine lichide libere si necorozive, dar in nici un caz volumul de lichid sǎ nu depǎseascǎ 1% din volumul total al deseului solid. In plus, continutul ne apos al oricarui lichid din deseu trebuie sǎ fie tratat astfel incat eliberarile de uleiuri si lubrifianti din deseurile necompactabile sǎ fie vizibile. Atunci cand se intentioneaza ca uleiurile, ca deseuri lichide, sǎ fie trimise spre depozitare, se vor stabili detaliile preliminare impreunǎ cu operatorul depozitului final.
Deseurile ce contin material schimbator de ioni trebuie sǎ fie stabilizate pentru a se asigura o retinere eficientǎ a radioactivitatii continutului. In vederea depozitǎrii finale detaliile referitoare la metodele de tratare si /sau conditionare trebuie sǎ fie stabilite cu indrumarea si aprobarea operatorului depozitului final.
Deseurile ce contin materiale periculoase, biologice, patogene sau infectioase trebuie sǎ fie tratate astfel incat sǎ se asigure o reducere maxim posibilǎ a riscurilor provenite din partea materialelor ne-radiologice.
Deseurile ce contin materiale putrescibile (cum ar fi mancare, vegetale sau resturi animale) trebuie sǎ fie excluse.
Deseurile combustibile si explozive trebuie sǎ fie excluse sau aduse la stadiul de a fi depozitate in conditii de sigurantǎ maximǎ.
4.3. Cerinte privind stabilitatea deseurilor
Deseurile trebuie sǎ aiba o stabilitate structuralǎ realizatǎ fie prin forma propriu-zisǎ a deseului, de procesarea deseului pana ajunge la o formǎ stabilǎ fie prin plasarea acestuia intr-un container de depozitare sau o structurǎ care prevede stabilitate dupa depozitarea finalǎ.
Forma deseului trebuie sǎ fie una solidǎ si sa fie ne-dispersabilǎ.
Forma deseului trebuie sǎ contina cat mai putine goluri pe cat rezonabil posibil.
Coletele de deseuri sunt pasibile de a fi expuse la variatii mari de temperatura. Atat containerul cat si forma de deseu trebuie sǎ isi conserve proprietatile lor dupa aceste expuneri la gradientii de temperaturǎ. Procedura de testare va fi aprobatǎ de catre operatorul depozitului intermediar.
Materialul utilizat in fabricarea containerului trebuie sǎ fie capabil sǎ reziste la un test privind ciclu termic (5 cicluri intre -20s si 5s C si 5 cicluri intre 5s si 40s C cu pulverizarea apei) fǎrǎ sǎ se observe unul din urmatoarele fenomene:
Aparitia unui sistem general de fisuri;
Fisuri in adancime mai mari de 0.3 mm;
Initierea unei rupturi locale;
Scaderea rezistentei la incovoiere cu mai mult de 20 %, luand ca referintǎ valorile obtinute de la probele care nu sunt supuse ciclurilor termice. [20]
Pentru a se evita deteriorarea stabilitatii mecanice a structurilor depozitului, toate coletele de deseuri care vor fi depozitate vor trebui sǎ suporte o incǎrcǎturǎ corespunzatoare unui efort de 0,35 MPa fǎrǎ o deformare verticalǎ maximǎ de 3%.
Modificarea fortei mecanice in ceea ce priveste forma deseului, supusǎ unei doze de 1x105 Gy trebuie sǎ fie mai micǎ decat 20%.
4.4. Cerinte privind rezistenta la iradiere
Daca rata dozei de contact cu peretele interior al containerului este egalǎ sau mai mare cu 500 mSv/orǎ, materialul utilizat in fabricarea containerului trebuie sǎ fie capabile sǎ faca fatǎ unui test de iradiere, fǎrǎ a se observa unul din urmatoarele tipuri de defecte:
Aparitia unui sistem general de fisuri;
Fisuri in adancime mai mari de 0.3 mm;
Initierea unei rupturi locale;
Procesul de umflare ce poate cauza o crestere in volum cu peste 5 % a specimenelor (inainte de iradiere);
Scaderea rezistentei la incovoiere cu mai mult de 20 %, luand ca referintǎ valorile obtinute de la probele care nu sunt supuse ciclurilor termice. [20]
Etichetarea
Fiecare tip de colet de deseuri trebuie sǎ fie etichetat in concordantǎ cu tipul de deseu. Fiecare etichetǎ va identifica urmatoarele informatii:
Identitatea/ Numarul coletului;
Specificatia coletului de deseuri;
Numele centralei de conditionarea a deseurilor;
Data conditionarii;
Deseurile rezultate;
Numarul de identificare al containerului;
Matricea de imobilizare;
Activitatea;
Rata dozei;
Contaminarea la suprafatǎ;
Greutatea totalǎ a coletului.
Confinarea radionuclizilor
Coletele pentru depozitarea pǎrtilor componente trebuie sǎ posede anumite caracteristici referitoare la confinarea radionuclizilor. Poate fi necesarǎ demonstrarea performantelor confinarii intr-o etapǎ ulterioarǎ bazata pe cerintele privind asigurarea securitatii.
Continutul de radioactivitate
Sunt necesare informatii despre continutul de radionuclizi ale deseurilor primare si conditionate. Metodele de selectare probe si analizǎ a lor ce vor fi utilizate de catre producatorul de deseuri vor fi realizate de catre acesta si aprobate de catre operatorul depozitului. Urmatoarele limite trebuie respectate in vederea depozitarii finale pentru continutul de radionuclizi pentru deseuri compactabile si necompactabile.
Tabel 16. Continutul de radionuclizi ale deseurilor primare si conditionate
|
Radionuclid |
Deseuri primare |
Deseuri conditionate (Bq/t) |
|||
|
Compactabile (Bq/m3) |
Necompactabile (Bq/m3) |
||||
|
Nuclizi de viatǎ lungǎ |
|
||||
|
C-14 |
3.0x1010 |
2.0x1011 |
2.0x1011 |
|
|
|
Ni-59 |
1.0x1010 |
6.3x1010 |
6.3x1010 |
|
|
|
Nb-94 |
2.0x1007 |
1.2x1008 |
1.2x1008 |
|
|
|
Tc-99 |
5.0x1008 |
1.0x1009 |
1.0x1009 |
|
|
|
I-129 |
9.0x1006 |
4.6x1007 |
4.6x1007 |
|
|
|
Ra-226 |
1.0x1007 |
5.0x1007 |
5.0x1007 |
|
|
|
Total Alfa |
7.0x1008 |
3.7x1009 |
3.7x1009 |
|
|
|
Nuclizi de viatǎ scurtǎ |
|
||||
|
H-3 |
2.0x1011 |
1.0x1012 |
1.0x1012 |
|
|
|
Co-60 |
1.0x1013 |
5.0x1013 |
5.0x1013 |
|
|
|
Ni-63 |
2.5x1012 |
1.2x1013 |
1.2x1013 |
|
|
|
Sr-90 |
2.0x1010 |
9.1x1010 |
9.1x1010 |
|
|
|
Cs-137 |
6.5x1010 |
3.3x1011 |
3.3x1011 |
|
|
Deseurile continute in butoaie de 200 l sau alte containere agreate trebuie sǎ fie in limite rezonabil practicabile fǎrǎ o contaminare nefixatǎ si in orice eveniment cum ar fi contaminarea pe o suprafata medie de peste 300 cm2 nu trebuie sǎ depaseascǎ 4 Bq/ cm2 pentru emitatorii beta/gama si 0.2 Bq/ cm2 pentru emitatorii alfa.
Capitolul 5. Cerinte tehnice privind Sistemul de Management al Calitǎtii in activitatea de gestionare a deseurilor radioactive.
Clientul (Producatorul de deseuri sau cel care le conditioneazǎ) va trebui sǎ pregateasca, in scris, Sistemul de Management al Calitǎtii, detaliind in cadrul acestuia mǎsurile pentru a asigura managementul efectiv si controlul deseurilor pana la punctul de acceptare din cadrul depozitului final. Sistemul de Management al Calitǎtii va trebui sǎ respecte cerintele organului de reglementare.
Lucrarile asociate cu proiectarea, constructia , testarea si operarea unitatilor de conditionare vor face subiectul unui Sistemul de Management al Calitǎtii.
Se vor realiza lucrari de caracterizare a deseurilor si procese de conditionare a coletelor de deseuri pentru a fi acceptabile pentru manipulare, si depozitare dupa seturi de proceduri stabilite, acceptate de operatorul depozitului final.
Aranjamentele pentru conducerea si controlarea proceselor de conditionare trebuie sǎ fie stabilite intr-un Plan de Control al Calitǎtii, aprobat de catre operatorul depozitului final.
Sistemul de Management al Calitǎtii trebuie sǎ includa cerinte de definire si examinare periodicǎ a documentelor. Orice modificare sau revizie a Sistemului de Management al Calitǎtii vor fi subiectul aprobarii operatorului depozitului final.
Clientul va supune unui audit al operatorului depozitului principalele masuri luate in cadrul Sistemului de Management al Calitǎtii cu o frecventǎ sau timpi stabiliti prin consultare intre parti. Actiunile corective rezultate in urma acestor audituri vor fi implementate in acord cu programul propus.
Clientul va implementa actiuni de remediere pentru a aduce coletele de deseuri neconforme in limitele impuse de criteriile de acceptare ale deseurilor. Acolo unde nu pot fi facute actiuni de remediere pentru a aduce in totalitate coletele de deseuri neconforme in limitele impuse de criteriile de acceptare ale deseurilor, se vor putea stabili rezolutii de neconformitate cu operatorul depozitului.
Datele obtinute prin aplicarea per ansamblu a Sistemului de Management al Calitǎtii se vor inregistra si pastra de catre Client in conformitate cu procedurile de control al documentelor, aprobate de catre operatorul depozitului.
Inainte de prima expediere a oricarui tip de deseuri, Clientul trebuie sǎ furnizeze un document de caracterizare a deseurilor in care va trebui sǎ includa:
Identitatea tipului de deseu rezultat (numele si numarul);
Descrierea procesului de generare a deseurilor de activitate de nivel scazut si mediu;
Cresterile estimate ale cantitatilor de deseuri exprimate in activitate, volum, masǎ si scala utilizata;
Continutul de radionuclizi;
Metoda de evidentiere a continutului radioactivitatii;
Proprietatile fizice, chimice si biologice ale deseurilor de bazǎ;
Cerintele de colectare (supercompactare, imobilizare si depozitare);
Mijloacele prin care deseurile sunt controlate pentru evidentierea modului in care deseul se aflǎ in limitele de activitate pentru depozitarea finalǎ.
Bibliografie
Ordonanta Guvernamentalǎ numarul 11/2003 privind gospodarirea in siguranta a deseurilor radioactive;
CNCAN, Norme Privind Clasificarea Deseurilor Radioactive, Iunie, 2005;
Project PH4. 10/94: Technical Basis and Methodological Approach for Waste Acceptance Criteria
PHASE 3: Development of Preliminary Waste Acceptance Criteria for the Planned Near Surface Repository in Romania;
CNCAN, Norme Fundamentale pentru Transportul in Siguranta al Materialelor Radioactive, Bucuresti, Octombrie 2001;
IAEA - TRS402 "Handling and processing of RW from nuclear applications";
IAEA - NSG 2.7 "Radiation Protection and Radioactive waste Management in the operation of NPP 1";
IAEA - WSG 2.5 "Predisposal Management of Low and Intermediate Level Radioactive Waste";
IAEA - WSR 2 "Predisposal Management of RW";
IAEA - "Regulations for the Safe Transport of Radioactive Material 1996 Edition (As Amended 2003)";
IAEA - SAFETY SERIES No. 111-G-l.l, "Classification Of Radioactive Waste";
Ioan Rotaru, "Viitorul Energeticii Nucleare Romanesti: Unitatea 3 Cernavoda", Decembrie 2005;
CNCAN, Romanian National Report for the Joint Convention on The Safety Of Spent Fuel Management And On The Safety Of Radioactive Waste Management;
CNCAN, Norme privind limitarea eliberarilor de efluenti radioactivi in mediu, august 2005;
NRC 10 CFR 61, "Licensing requirements for land disposal of Radioactive Waste", 1982;
IAEA TECDOC - WORK-DOC-2-2, "Derivation of Quantitative acceptance criteria for disposal of radioactive waste to near surface facilities: development and implementation of an approach", 1999;
OECD Report, "Shallow land disposal of Radioactive Waste", Paris, 1997;
IAEA Training Course, "Operational Safety of Nuclear surface waste disposal facilities, Sellafield, 1998;
Annick Pitiot, "Waste package requirements for disposal and waste specifications", IAEA training course on Management of Radioactive waste from NPP, Paris - Saclay, 1996;
Antonio Morales, Characterization of waste packages by the Spanish Radwaste Agency, International LLW Conference and Exhibition Show, Orlando, July 15-17 1998;
Antonio Morales, El Cabril Low And Intermediate Level Waste Disposal Facility (Spain): New Acceptance Criteria, WM'05 Conference, February 27-March 3, 2005, Tucson, AZ
|
Politica de confidentialitate | Termeni si conditii de utilizare |
Vizualizari: 4099
Importanta: ![]()
Termeni si conditii de utilizare | Contact
© SCRIGROUP 2025 . All rights reserved