| CATEGORII DOCUMENTE |
| Demografie | Ecologie mediu | Geologie | Hidrologie | Meteorologie |
Aspecte privind evolutia unor parametri fizico-chimici ai fluviului Dunarea
2.1 Hidrografia
Bazinul hidrografic al Dunarii ocupa circa 10% din suprafata continentului. Prin lungimea de 2.780 km, suprafata bazinului hidrografic de peste 801.463 km2 si prin debitul mediu multianual de aproximativ 6500 m3/s, Dunarea, dupa Volga, este al doilea fluviu din Europa.
97.4% din suprafata Romaniei este situata in bazinul hidrografic al Dunarii, ceea ce reprezinta 29% din suprafata Dunarii, fiind tara cu cea mai mare suprafata din bazinul Dunarii. De asemenea 37,7% din lungimea Dunarii se afla pe teritoriul Romaniei.
Datorita repartitiei elementelor fizico-geografice cat si caracterului regimului hidrologic, Dunarea se imparte in trei sectoare: Dunarea superioara (izvor - Viena), Dunarea mijlocie (Viena - Portile de Fier) si Dunarea inferioara (Portile de Fier - Marea Neagra). Cursul inferior al Dunarii inferioare formeaza granita de stat a Romaniei cu Serbia Montenegru si Bulgaria.
Cursul inferior al Dunarii se caracterizeaza printr-o mare complexitate, fiind constituit din mai multe sectoare cu caractere specifice .
Afluentii importanti ai Dunarii sunt reprezentati de raurile balcanice Timoc, Lom, Ogosta, Iscar, Vit, Osam si Iantra pe malul drept si Jiu, Olt, Vedea, Arges, Ialomita, Siretul si Prutul.
Resursele de apa ale Dunarii in sectiunea Bazias sunt de 175,6 miliarde m3 din care 30 miliarde m3 sunt resurse tehnic utilizabile.
S-a constatat ca pe sectorul romanesc al Dunarii s-au produs importante modificari in regimul scurgerii, aluviunilor si morfologiei. Aceste modificari se datoreaza atat unor schimbari climatice la scara bazinului Dunarii, dar mai ales unor schimbari generate de activitatile umane, prin executarea unor lucrari hidrotehnice de amenajare a intregului bazin si albiei Dunarii.
Lunca inundabila a Dunarii
Sistemul de zone umede al Dunarii inferioare a fost supus in special in perioada 1950-1989 si complexe presiuni antropice, care au condus la disparitia a aprox. 80% din ecosistemele naturale si seminaturale, prin transformarea acestora in ecosisteme controlate de om, subventionate energetic si material pentru productia agricola, masa lemnoasa si pentru productia piscicola intensiva .
Pana la inceputul anilor 1950 (considerata perioada de referinta pentru aceste ecosisteme), mai mult de 90% din suprafata totala de peste 10.000 km2 ocupata de sistemul de zone umede al Dunarii inferioare constituia un model de ecosisteme naturale si seminaturale. Acesta avea in componenta sa aproximativ 45% ecosisteme acvatice permanente (lacuri, balti, japse, mlastini, canale, brate ale Dunarii), < 35% zone inundabile mai mult de 3-4 luni/ an, 15-20% grinduri fluviale si maritime, dune de nisip, precum si terenuri saraturate inundabile 1 sau maxim 2 luni/an.
La nivelul sistemului de zone umede se diferentiau 4 complexe de ecosisteme:
Zonele inundabile in sectorul fluvial cuprins intre km 840 si km 365, cu o suprafata totala de aprox. 1500 km2;
Delta interioara a Dunarii cu o suprafata de aprox. 2413 km2 distribuita in lungul sectorului fluvial cuprins intre km 365-170;
Zonele inundabile (701 km2) cuprinse intre Braila si Ceatal Ismail;
Delta propriu-zisa a Dunarii, cu o suprafata de peste 4178 km2 din care 1145 km2 reprezinta complexul lagunar Razelm-Sinoe.
Complexele ecologice ale acestui sistem produceau anual o gama larga si cantitati insemnate de resurse regenerabile si indeplineau rolul unui sistem tampon foarte eficient intre componentele bazinului hidrografic, fluviul Dunarea si N-V Marii Negre. De asemenea indeplineau si rolul de sistem suport pentru cuibarit, depunere a icrelor si hranire pentru un numar mare de specii migratoare sau semi-migratoare de pasari si pesti si rolul de habitat pentru 1688 si respectiv 3735 specii de plante si animale (Antipa G., 1910, Baboianu G. , 1995, Vadineanu A., 1998).
In prezent primele trei complexe de ecosisteme din lunca Dunarii se caracterizeaza prin transformarea lor in suprafete predominant agricole, cel mai mare procent de suprafete agricole regasindu-se intre km 840 si 170, reprezentand 80% din suprafata totala (fig 2.1.1.) .

Fig. 2.1.1. Modificari in structura sistemului de zone umede a Dunarii inferioare
(INCDDD)
2.2 Caracterizarea apelor de suprafata
Categorii de ape de suprafata (Fig 2.2.1)
Fluviul Dunarea
Regimul hidrologic al fluviului Dunarii este relativ uniform; raportul intre debitul minim si debitul maxim este de 1/10, comparativ cu regimul cursurilor de ape interioare pentru care raportul amintim anterior variaza intre 1/200 si 1/2000.
Fig.2.2.1.Harta pe categorii de ape de suprafata (INCDDD)

Fig. 2.2.2. prezinta hidrografele a doi ani caracteristici pentru regimul hidrologic al Dunarii, unul ploios 1970 cand s-a inregistrat un debit maxim de 13710 m3/s si celalalt secetos 2003 cand s-a produs cea mai severa seceta la nivelul bazinului hidrografic al Dunarii.
Fig. 2.2.2 Hidrografele caracteristice ale Dunarii la Orsova
(INCDDD)
Pe Dunare cel mai mic debit inregistrat la Orsova in perioada de observatii (1838 - 2003) a fost de 1500 m3/s si s-a produs in perioada 3 - 5 septembrie 2003.
Tabelul 2.2.1 prezinta debitele de apa medii multianuale si debitele medii multianuale de aluviuni in suspensie la principalele statii hidrometrice de pe sectorul inferior al Dunarii pentru perioada 1930 - 2000.
Tabelul 2.2.1 Caracteristicile regimului hidrologic al Dunarii
(INCDDD)
|
Nr. crt. |
Statia hidrometrica |
Lungimea (km) |
Debitul de apa mediu multianual (m3/s) |
Debitul mediu multianual de aluviuni in suspensii (kg/s) |
|
Bazias | ||||
|
Orsova | ||||
|
Turnu Severin | ||||
|
Gruia | ||||
|
Chiciu - Calarasi | ||||
|
Braila |
| |||
|
Ceatal Izmail |
Debitele maxime de apa produse pe fluviul Dunarea in sectiunea Isaccea au crescut cu 5% datorita indiguirii luncii Dunarii.
Debitele de aluviuni in suspensie transportate de Dunare in ultimul secol in sectiunea Isaccea au scazut foarte mult datorita realizarii de lacuri de acumulare in bazinul Dunarii (fig. 2.2.3.), astfel:
in perioada 1900 - 1950 debitul anual de aluviuni in suspensie a scazut de 1,3 ori, respectiv de la 69,4x106 t/an la 53x106 t/an datorita realizarii a numeroase lacuri de acumulare, in special in bazinul superior al Dunarii;
in perioada 1950 - 1980 debitele anuale de aluviuni in suspensie au scazut de 1,8 ori, respectiv de la 53x106 t/an la 30x106 t/an datorita continuarii intrarii in functiune a numeroase lacuri de acumulare din tot bazinul Dunarii si acumularii Portile de Fier I;
in perioada 1980 - 2000 s-a constatat o usoara crestere a debitelor de aluviuni transportate de Dunare datorita colmatarii lacurilor si cresterii proceselor de eroziune.(***, 2005)
Fig. 2.2.3. Descresterea debitului anual de aluviuni in suspensie transportate de Dunare in sectiunea Isaccea in ultimul secol (DARDL)
Portile de Fier
Lacul Portile de Fier a fost realizat in anul 1972 si are un volum de 2100 milioane m3 si lacul Portile de Fier II a fost dat in folosinta in anul 1986 si are un volum de 800 milioane m3. Aceste lacuri au timp de retentie de 1 zi.
Ecoregiuni si tipologia pentru Fluviul Dunarea
Ecoregiuni
Delimitarea ecoregiunilor din anexa XI a Directivei Cadru 2000/60/EC a fost realizata de catre Ilies (1978), pe baza caracteristicilor ecologice si distributiei geografice a faunei acvatice reprezentand o abordare generala, ce a necesitat redefiniri si precizari ulterioare ale limitelor ecoregiunilor. In conformitate cu anexa XI a Directivei Cadru, fluviul Dunarea apartine Ecoregiunii Pontice, ce se caracterizeaza printr-un relief usor ondulat la limita cu ecoregiunea 10, altitudini sub 500 m, geologie predominant silicioasa, soluri cernoziomice si soluri gri, paduri de foioase si zone agricole.
Delimitarea si caracterizarea ecoregiunilor reprezinta un element fundamental in definirea tipologiei apelor de suprafata si stabilirea conditiilor de referinta.
Conditii de referinta pentru fluviul Dunarea
Directiva Cadru (Anexa II 1.3 (i)) prevede stabilirea conditiilor de referinta pe baza elementelor hidromorfologice, fizico-chimice si biologice, specifice fiecarui tip. Conditiile de referinta reprezinta valorile elementelor hidromorfologice, fizico-chimice si biologice corespunzatoare "starii foarte bune" a apelor.
Sectiunile de referinta sunt reprezentate de sectiunile care se afla in regim natural sau cvasinatural, cu impact antropic inexistent sau minim din punct de vedere biologic, hidromorfologic si fizico-chimic. Avand in vedere faptul ca sectorul romanesc al Dunarii este supus unor presiuni hidromorfologice semnificative si presiuni fizico-chimice semnificative, nu s-au putut identifica in prezent sectiuni pe baza carora sa fie determinate conditiile de referinta.
Stabilirea conditiilor de referinta pentru corpurile puternic modificate antropic presupune identificarea tipului natural analog corpului puternic modificat, stabilirea conditiilor de referinta pentru tipul natural si stabilirea potentialului ecologic maxim prin derivarea acestuia din conditiile de referinta. Potentialul ecologic maxim reprezinta un obiectiv de mediu mai putin sever fata de conditiile de referinta, care incearca sa satisfaca criteriile de eficienta ecologice cu cele economice.
Avand in vedere faptul ca pentru fluviul Dunarea nu se pot identifica la nivel national tipuri naturale asemanatoare cu cele puternic modificate ale fluviului Dunarea, datorita caracteristicilor unice ale acestuia, determinarea conditiilor de referinta a incercat sa se realizeze preliminar intr-o maniera omogena la nivelul bazinului Dunarii, in cadrul proiectului "Tipologia si conditiile de referinta pentru fluviul Dunarea", pe baza contributiilor nationale ale tarilor dunarene.
Parametrii utilizati in analiza comunitatilor de macronevertebrate au fost reprezentati de prezenta/absenta speciilor si abundenta acestora, iar pentru fauna piscicola de prezenta speciilor.
Pe baza parametrilor mentionati anteriori au fost identificate speciile de macronevertebrate si pesti caracteristice tipologiei fluviului Dunarea.(***, 2005)
Conditii de referinta pentru lacuri
Similar fluviului Dunarea, lacurile de acumulare Portile de Fier I si II sunt supuse unor presiuni hidromorfologice semnificative fiind desemnate provizoriu corpuri de apa puternic modificate. In consecinta, pentru aceste lacuri de acumulare nu s-au putut identifica in prezent sectiuni pe baza carora sa fie determinate conditiile de referinta.
Stabilirea conditiilor de referinta reprezentate de potentialul ecologic maxim va fi realizat intr-o maniera omogena la nivelul Dunarii, pe baza contributiilor nationale ale tarilor dunarene.
Identificarea presiunilor
Surse punctuale de poluare semnificative
Pe sectorul inferior al Dunarii presiunile semnificative sunt reprezentate de:
Ø presiunile exercitate de sursele de poluare din bazinul Dunare amonte Bazias. Astfel, din incarcarea totala cu azot si fosfor care se regaseste in apa Dunarii in sectiunea Reni, 82% din azot si 70% din fosfor provin din amonte de Bazias;
Ø presiunile exercitate de afluentii Dunarii situati in aval de Bazias in special pe raurile: Jantra, Lom, Arges si Prut;
Ø sursele punctuale de poluare situate pe malul Dunarii.
Pentru determinarea surselor de poluare semnificative s-au utilizat criteriile ICPDR si Metoda METIMPRA (Serban P., Moldovan F. si Tuchiu E.,2003) tine seama atat de presiuni cat si de impact. Ea are la baza urmatoarele criterii: impactul asupra receptorului, riscul asupra sanatatii oamenilor, a mediului si a activitatilor economice si precum si impactul transfrontalier. Din punct de vedere calitativ, importanta sursei, a fost evaluata in functie de indicatorii generali, poluantii specifici si cei prioritari / periculosi.
Au rezultat un total de 17 surse de poluare semnificative din care: 11 surse urbane, 4 surse industriale si 2 surse de natura agricola.
Principalelor surse de poluare, in functie de natura sursei, sunt urmatoarele:
Ø Surse de poluare urbana: IGOSERV Moldova Noua, S.G.C.L Orsova, S.C. SECOM SA Drobeta Turnu Severin, S.C. ZAHARUL S.A. CALAFAT, SC.AQUACOR S.A. Corabia, orasul Calarasi, orasul Braila, RAGCL Oltenita, AQUATERMO SA Fetesti, orasul Galati si orasul Cernavoda.
Ø Surse de poluare industriale: EXPLOATAREA MINIERA Moldova Noua, CELEROM Turnu Severin, S.C.TURNU S.A. Tr. Magurele si SC CELHART-DONARIS SA Braila
Ø Surse de poluare agricola: Suinprod Zimnicea si SC COMPLEXUL SA Braila.
iar caracterizarea si ierarhizarea lor este prezentata in planurile de management bazinale.
Presiuni hidromorfologice semnificative
Fluviul Dunarea se caracterizeaza printr-un grad mare de amenajare, datorita lucrarilor hidrotehnice realizate, determinate de folosintele pentru care au fost create.
Cele mai importante folosinte ale fluviului Dunarea sunt reprezentate de :
Producerea de energie electrica;
Aparare impotriva inundatiilor;
Navigatie;
Urbanizare
Presiunile hidromorfologice semnificative pe sectorul inferior al Dunarii sunt reprezentate de:
Sistemul hidroenergetic si de navigatie Portile de Fier I si II;
Lucrarile de indiguire;
Senalul navigabil si amenajarile portuare.
Figura 2.4.1 Grafic comparativ al volumului de trafic prin ecluzele Portile de Fier cu numarul navelor si numarul de avarii intre anii 1983 - 2004
(ICDPR)
Poluari accidentale si surse cu potential de producere a poluarilor accidentale
Calitatea resurselor de apa este influentata intr-o mare masura si de poluarile accidentale, care reprezinta alterari bruste de natura fizica, chimica, biologica sau bacteriologica a apei, peste limitele admise.
Poluarile accidentale sunt gestionate, la nivelul Romaniei, in conformitate cu prevederile Legii Dezastrelor 124/1995 si a Legii 310/2004 de modificare si completare a Legii Apelor nr. 107/1996, in baza unui cadru metodologic, iar modul de actionare se realizeaza conform "Planurilor de prevenire si combatere a poluarilor accidentale" elaborate la nivelul fiecarui bazin hidrografic, cat si a "Planurilor proprii ale unitatilor poluatoare".
Cele mai importante poluari accidentale pe Dunare se produc datorita avariilor navale. Astfel numai in perioadele 1983 - 2004 s-au produs pe Dunarea fluviala intre km 655 - 1075, avarii care s-au soldat cu 30 de poluari accidentale, majoritatea cu produse petroliere (fig.2.4.1)
2.5 Evaluarea impactului antropic asupra resurselor de apa de suprafata
Reteaua de monitoring
Pentru evaluarea impactului antropic asupra fluviului Dunarea s-au utilizat date furnizate de Reteaua Transnationala de Monitoring, Reteaua Nationala de Monitoring, precum si date din campaniile expeditionare (Joint Danube Survey 2002).
In cadrul Retelei Transnationale de Monitoring exista 5 sectiuni de monitorizare, iar din cadrul Retelei Nationale de Monitoring sunt incluse 9 sectiuni .
De mentionat ca starea fluviului Dunarea pe teritoriul romanesc este determinata de contributia tarilor dunarene din amonte, de principalii afluenti ai Dunarii - raul Arges, Siret si Prut (afluenti de pe terioriul Romaniei), raurile Iskar, Jantra si Russ, Lom (afluenti de pe teritoriul Bulgariei) si de sursele semnificative de poluare locale.
Frecventa de monitorizare a starii apelor este de 12 ori/an pentru parametrii din apa (fizico-chimici si biologici) si de doua ori/an pentru biomonitoring si parametrii din sedimente.
Din punct de vedere temporal, evaluarea starii apei si a impactului s-a monitorizat pe o perioda de 6 ani (1996-2001) pentru parametrii fizico-chimici si 4 ani 1997-2000 (pentru parametri biologici).
Evaluarea calitatii apei s-a facut pe baza Normativului 1146/2002 si pe baza schemei de clasificare a calitatii apei din punct de vedere biologic in bazinul Dunarii. Obiectivele si tinta de calitate sunt reprezentate de valorile clasei a II-a de calitate ale Normativului 1146/2002 si ale schemei de clasificare. Pentru evaluarea starii de calitate s-a utilizat metoda 90% percentile avand avantajul de a elimina valorile extreme, exceptand oxigenul dizolvat pentru care s-a utilizat metoda 10% percentile.
Caracterizarea starii apelor pe grupe de indicatori si efectele acestora
Ø Substante organice
Parametrii reprezentativi pentru caracterizarea starii apei Dunarii din punct de vedere al substantelor organice sunt : oxigen dizolvat, CBO5 ,CCO-Mn si CCO-Cr.
Rezultatele analizelor pe perioada 1996 - 2001, au evidentiat urmatoarele:
Ø valorile de oxigen dizolvat (5,63 - 7,77 mg/l) au incadrat Dunarea, in general, la categoria a-II-a pentru marea majoritate la sectiunile de monitorizare, cu exceptia sectiunilor Bazias (2001) si Pristol (2000) care se incareaza la categoria a-III-a;
Ø valorile de CBO5 (2,03 - 6,94 mg/l) au incadrat Dunarea, in general, la categoria a-II-a pentru marea majoritate la sectiunile de monitorizare, cu exceptia sectiunilor Bazias (1997 si 1998), Pristol (1997 si 1998) si Chiciu (1998) care se incareaza la categoria a-III-a;
Ø valorile de CCO-Cr (7,35 - 44,03 mg/l) au incadrat Dunarea la categoria a-II-a pentru cea mai mare parte la sectiunile de monitorizare, cu exceptia sectiunilor Chiciu (1998 si 2000), Reni (1997, 1998 si 2000), care se incareaza la categoria a-III-a;
Ø valorile de CCO-Mn (4,35 - 9,63 mg/l) au incadrat Dunarea, in general, la categoria a-II-a pentru toate sectiunile de monitorizare.(Fig 2.5.1)



Fig. 2.5.1 Evolutia spatiala a concentratiilor de substante organice si a indexului saprob (S=Σ(s . h)/Σh) pe fluviul Dunarea in perioada 1996 - 2001(ICDPR)
In fig. 2.5.2 este prezentata o comparatie intre concentratiile oxigenului dizolvat din fluviile Dunarea (sectiunea Reni) si Rin. Din punct de vedere calitativ se constata ca apa Dunarii era mai buna decat cea a Rinului pana in anii '78, cand calitatea apelor Rinului s-a imbunatatit in special prin Programul de Actiune initiat dupa accidentul de la Sandoz care a provocat poluarea apelor Rinului.(***, 2005)

Fig. 2.5.2 Variatia concentratiei de oxigen dizolvat pe Dunare si Rin
(ICDPR)
Evaluarea impactului poluarii cu substante organice
Pentru evaluarea impactului poluarii cu substante organice s-a folosit indexul saprob al fitoplanctonului.
Indexul saprob pentru perioada respectiva a inregistrat o valoare medie de 2,02, domeniul de variatie fiind cuprins intre 1,88 (Reni,1996) si 2,17 (Reni, 2000).
Aceste valori sunt caracteristice clasei a II-a de calitate, indicand o calitate buna a apei din punct de vedere al incarcarii cu susbstante organice biodegradabile.
De mentionat ca valorile indexului saprob sunt comparabile sau chiar mai scazute fata de cele inregistrate in sectoarele din amonte (in special sectorul mijlociu al Dunarii), indicand o calitate similara sau chiar mai buna comparativ cu sectoarele din amonte.
Ø Nutrienti
Parametrii reprezentativi pentru caracterizarea starii sunt: P-PO43-, P total, N-NH4+, N-NO2-, N-NO3- si N mineral total.
In fig. 2.5.3 este prezentata variatia concentratiilor de fosfor total in perioada 1988 -1997 la principalele sectiuni de pe Dunare. Astfel concentratia de fosfor total in perioada 1992 - 1997 scade fata de perioada 1988 - 1991, cele mai importante scaderi fiind de 60% in sectiunea Reni, 52% in sectiunea Bazias, 30% in sectiunea Bratislava datorita reducerii activitatilor economice dupa anii 1990 in tarile centrale si est-europene.

O variatie similara o prezinta si
incarcarile.
Fig. 2.5.3 Variatia concentratiei de fosfor total in perioada 1988 - 1997
(ICDPR)
Concentratiile nutrientilor in perioada 1996-2001 s-au caracterizat prin urmatoarele valori (fig 2.5.4):
Ø 0,04 - 0,17 mg/l pentru P-PO43-. Pentru acest indicator, Dunarea s-a incadrat la toate sectiunile monitorizate la categoria a-II-a, cu cateva exceptii: Bazias (2000 si 2001), Pristol (1999 - 2001) si Chiciu (2000 si 2001), unde s-a incadrat la categoria a-III-a.
Ø 0,09 - 0,25 mg/l pentru P total. Pentru acest indicator Dunarea s-a incadrat la toate sectiunile monitorizate la categoria a-II-a, cu doua exceptii: Bazias (2000) si Arges (2001), unde s-a incadrat la categoria a-III-a.
Ø 0,23 - 1,04 mg/l pentru N - NH4+. S-a constatat ca pentru sectiunile monitorizate, Dunarea a depasit obiectivele tinta, pentru indicatorul N - NH4+, incadrandu-se la categoriile III - IV.
Ø 0,03 - 0,1 mg/l pentru N-NO2-. S-a constatat ca pentru sectiunile monitorizate, Dunarea s-a incadrat, pentru indicatorul N - NO2,- categoriile II - III.
Ø 1,43 - 5,28 mg/l pentru N-NO3-. Pentru acest indicator Dunarea s-a incadrat la toate sectiunile monitorizate la categoria a-II-a, cu exceptia unui singur an 2000 (Arges).
Ø 1,82 - 5,9 mg/l pentru N mineral total. Pentru acest indicator Dunarea s-a incadrat la toate sectiunile monitorizate la categoria a-II-a, cu exceptia unui singur an 2000 (Arges).





Fig. 2.5.4 Evolutia spatiala a concentratiilor de nutrienti pe fluviul Dunarea
in perioada 1996 - 2001 (ICDPR)
Evaluarea impactul poluarii cu nutrienti
Variatia concentratiei de azot si fosfor pe Dunare in sectiunea Isaccea in perioada 1950 - 2000 (fig.2.5.5) prezinta o crestere in perioada 1980 - 1989 datorita dezvoltarii activitatilor economice din bazinul Dunarii, dupa care se constata o scadere a acestora datorita, in principal, reducerii activitatilor economice in tarile centrale si est-europene. Scaderea cea mai accentuata s-a remarcat in cazul incarcarii cu fosfor datorita retinerii in lacurile Portile de Fier I si II a circa 32% din cantitatile de fosfor afluente in lacul Portile de Fier I.




Fig. 2.5.5 Variatia incarcarilor de azot si fosfor pe fluviul Dunarea in sectiunea Isaccea in perioada 1955 - 2000 (DARDL)
Ø Substante prioritare / periculoase
Evolutia substantelor prioritare/perioculoase in perioada 1996 - 2001 a fost urmatoarea:
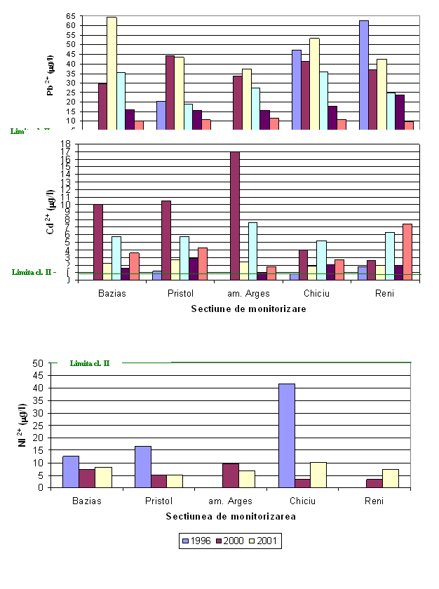
a. Pentru metale grele (fig. 2.5.6)
valorile concentratiei de Zn (30,37 -
208,2 mg/l) au corespuns categoriei a-I-a si a-II-a pentru toate sectiunile
monitorizate, cu exceptia sectiunilor: Bazias (1998 si 1999), Arges (1999), care s-au incadrat la categoria
a-III-a si respectiv Chiciu (1996) si Reni (1996) la categoria a-IV-a.
concentratia de Cu a acoperit un ecart
destul de larg de valori: 13,3 - 208,2 mg/l fapt ce a determinat incadrarea
apelor Dunarii de la categoria I (Reni - 2001) pana la categoria V (Reni -
1996). Marea majoritate
a sectiunilor de pe Dunare s-au incadrat in categoriile II - IV.
valorile concentratiei de Cr (4,23 - 27,67
mg/l) au corespuns categoriilor I - II.
valorile concentratiei de Pb (5 - 67,47
mg/l) au incadrat Dunarea, in general, la categoriile IV - V, exceptie facand
sectiunile Reni (2001) care corespund categoriei a-III-a cat si Bazias (1996)
care corespunde categoriei II.
valorile concentratiei de Cd (0,82 - 16,98
mg/l) au incadrat Dunarea, in general, la categoriile IV - V, exceptie facand
sectiunile Bazias (2000), Pristol (1996), Arges (2001), Chiciu (1998) si Reni (1996 si
1998) care corespund categoriei a-III-a.


Fig. 2.5.6 Evolutia spatiala a concentratiilor de metale grele pe fluviul Dunarea in perioada 1996 - 2001 (ICDPR)
valorile concentratiei de Ni (3,27 - 41,8
mg/l) au corespuns, cu mici exceptii (Chiciu, 1996), categoriei a I-a .
b. Pentru micropuluanti organici (fig.2.5.7)
concentratia de lindan a acoperit un ecart
destul de larg de valori: 0,02 - 0,44 mg/l fapt ce a determinat incadrarea
apelor Dunarii de la categoria I pana la categoria IV.
valorile concentratiei de DDT (0,004 - 0,599
mg/l) au incadrat Dunarea, in general, la categoria IV, exceptie facand
sectiunile Bazias (2000), Chiciu (2000 si 2001), Reni (2000) care corespund
categoriei a-III-a cat si Pristol (2000) care corespunde categoriei IV.
valorile concentratiei de atrazin (0,03 -
0,186 mg/l) au corespuns, pentru toate sectiunile, categoriei II.(***, 2005)


Fig. 2.5.7 Evolutia spatiala a micropoluantilor organici in fluviul Dunarea
in perioada 1996 - 2001 (ICDPR)
Evaluarea impactului modificarilor hidromorfologice
Fluviul Dunarea se caracterizeaza printr-un grad mare de amenajare, datorita lucrarilor hidrotehnice realizate. Aceste lucrari hidrotehnice ce reprezinta presiuni hidromorfologice produc numeroase efecte ce se resimt atat la nivelul ecosistemelor unde actioneaza cat si in aval de acestea.
In cazul fluviului Dunarea aceste presiuni de cele mai multe ori actioneaza sinergic, efectele acestora cumulandu-se, decelarea efectelor functie de categoriile de presiuni fiind dificila de evidentiat.
Impactul generat de aceste presiuni se exprima in general prin modificari la nivelul tuturor componentelor sistemelor acvatice, respectiv prin modificari hidrologice, morfologice, biologice si fizico-chimice.
Evaluarea impactului fluviului Dunarea pe sectorul romanesc trebuie realizata in relatie de cauzalitate si cu presiunile din amonte, avand in vedere ca sectoarele din amonte sunt supuse unor numeroase si variate tipuri de presiuni semnificative care modifica caracteristicile hidrologice, fizico-chimice si biologice ale Dunarii la intrarea in tara.
Pentru fluviul Dunarea pe sectorul romanesc au fost desemnate ca presiuni semnificative lucrarile de barare transversala (sistemul Portile de Fier), lucrarile de barare longitudinala (indiguirile), ecluzele, senalul navigabil si amenajarile portuare.
Ø Constructia sistemului Portile de Fier a produs pe sectorul romanesc importante modificari ale caracteristicilor hidromorfologice, modificari ale biocenozelor acvatice, modificari ale caracteristicilor fizico-chimice ale apei si sedimentelor.
Cele mai importante modificari sunt reprezentate de:
Transformarea sistemului de apa curgatoare intr-un ecosistem de apa relativ stagnant cu consecinte biologice multiple;
Reducerea semnificativa a vitezei de curgere a apei dupa construirea barajului; inainte de constructie vitezele variau intre 0,731-2,375 m/s (in 1958 la km 957), 5,5-6,5 m/s in aval de Svinita, circa 8 m/s in Cazanele Dunarii si peste 15 m/s in zona Cataractelor. In prezent la debite mici (de circa 2000 mc/s), vitezele de pe senalul navigabil oscileaza intre 1 si 2,5 km/h in amonte de Drencova, intre 0,85 si 1,05 km/h in sectorul Drencova - Svinita, 1 km/h in sectorul Svinita - Cazane, 3 km/h in Cazanele Dunarii, scazand la 0,96 km/h in aval;
Cresterea si stabilizarea nivelului apei in jurul unor cote cu 2,5-19,7 m mai mari dupa umplerea lacului de acumulare fata de valorile medii anuale anterioare;
Modificari bruste de nivel si debit care produc afectarea faunei si florei acvatice, consecinta a regularizarii zilnice si uneori saptamanale a debitelor, in functie de necesitatile sistemului 'Portile de Fier' I; reducerea transportului de sedimente , urmata de depunerea acestora in principal intre km 1075 si barajul PDF I, cu o zona de sedimentare intensa intre km 1003 si 970 . Depunerea de sedimente determina cresterea gradata a nivelului apei in zona din amonte, reducand nivelul de siguranta al sistemului existent la inundatii, precum si schimbari in compozitia substratului, cu afectarea comunitatilor de macronevertebrate si a locurilor de depunere a pontei pentru pesti. Cantitatea de aluviuni in sectiunea Bazias (la intrarea Dunarii in tara), in perioada 1971-2002 a fost de 356,69t., procentul de retinere a sedimentelor in lacul de acumulare Portile de Fier I fiind de 33,03%.
De mentionat ca reducerea transportului de sedimente pe Dunare se datoreaza nu numai lacului Portile de Fier I ci si realizarii de numeroase lacuri de acumulare in tot bazinul Dunarii si in special in bazinul Dunarii superioare.
Reducerea transportului de sedimente consecinta a retinerii acestora in acumularile din amonte si in sistemul Portile de Fier a determinat si eroziunea malurilor neregularizate si a insulelor din partea inferioara a Dunarii (ex. Garla Mare, Calafatul Mic, Cama-Dinu).
Retentia unor poluanti si a metalelor grele in sedimente. In perioada 1998-2000 cantitatea anuala de fosfor retinuta in acumularea Portile de Fier a fost de 8,5 KT/an, respectiv 36% din incarcarea afluenta in lac (23,6KT/an). Pentru aceeasi perioada cantitatea totala de azot total retinuta in lacul Portile de Fier a fost de cca.3%.
O evaluare sistematica a poluarii sedimentelor a fost facuta de ICIM si Misiunea Cousteau in perioada 1991-1992. In cazul metalelor grele, dar si in cazul altor substante chimice sedimentele din lacul Portile de Fier I sunt poluate, consecinta a evacuarilor din amonte. Metalele grele Hg, Cu, Pb, Zn si Cr constituie cea mai reprezentativa acumulare de poluanti in sedimente de la concentratii de 1,76(Pb) pana la 3,05 ori (Hg) mai mari fata de concentratiile determinate in Delta Rinului. Din aceste considerente aceasta situatie a fost caracterizata in Raportul Cousteau ca o "bomba chimica cu efect in timp".
Modificari ale biocenozei in special ale faunei piscicole (areal, diversitate si abundenta).
Ihtiofauna caracteristica fluviului Dunarea este reprezentata de mreana, clean, scobar, morunas, sturioni reprezentati de cega, pastruga, morun. In zonele de confluenta ale afluentilor Dunarii din defileu, se poate intalni si pastravul, consecinta a calitatii foarte bune a apelor raurilor ce izvoresc din muntii Almajului.(***, 2005)
Construirea barajelor pe Dunare a redus calea de migratie a sturionilor marini migratori in Dunare si numarul zonelor de reproducere. Zonele de reproducere situate in aval de Portile de Fier II au asigurat perpetuarea speciilor dar arealul este limitat la sectorul de 863 km din Dunarea inferioara. Construirea unor trecatori pentru sturioni pentru migrarea in amonte nu este fezabila deoarece migratia adultilor in amonte si a puilor in aval va fi inhibata de conditiile lacustre din prezent ale lacurilor de acumulare Portile de Fier I si II. Oxigenul ca factor ecologic limitativ a influentat si speciile cu tendinte reofile, salau (Stizostedion lucioperca), salau vargat (Stizostedion volgense), mreana vanata, moioaga (Barbus meridionalis), morunasul (Vimba vimba carinata), care s-au retras spre coada lacului de acumulare Portile de Fier I, unde cantitatea de oxigen este mai mare.
Construirea acestor lacuri de acumulare a avut si efecte pozitive asupra unor specii de pesti considerate rare, care in conditiile lacustre si-au marit efectivul, mai ales Abramis bollerus (cosacul cu bot ascutit), Abramis sapa (cosacul carn) si Pelecus cultratus (sabita).
Lucrarile de barare longitudinala a fluviului Dunarea
Indiguirea a peste 80% din lunca inundabila a Dunarii a condus la separarea cursului principal de lunca inundabila si de bratele adiacente ale fluviului. Dinamica habitatelor dependente initial de conectivitatea laterala a fost modificata, impactul asupra florei si faunei fiind semnificativ, modificand radical ecosistemele pre-existente. Analiza dinamicii vegetatiei din lunca Dunarii a indicat transformarea structurii sistemelor naturale si cvasinaturale in sisteme dominate de interventia umana (Vadineanu A., 1998).
Din punct de vedere hidrologic, indiguirea luncii Dunarii a determinat o crestere cu 5% a debitului maxim (Bondar C., 1996), consecinta a reducerii suprafetelor inundabile ale sistemului de zone umede a Dunarii si respectiv a capacitatii de retentie a unui volum de aprox. 4 km3 de apa (Pisota I., 1992).
Din punct de vedere ecologic se mentioneaza urmatoarele efecte mai importante:
Ø Afectarea prin indiguire a habitatelor de depunere a icrelor din lunca Dunarii a condus la declinul in timp a populatiilor de pesti migratori sau semimigratori din Dunare si Delta Dunarii,determinand schimbarea structurii pescariei Dunarii si Deltei Dunarii, prin inlocuirea speciilor de crap cu specii cu valoare economica scazuta ;
Ø Disparitia ecosistemelor cu vegetatie ierboasa, tufarisuri, paduri aluviale si terenuri arabile pe care se practica agricultura extensiva, cu specii cultivate de om;
Ø Reducerea semnificativa a serviciilor oferite de zonele umede, agricole, vegetale si animale si de sistem suport pentru cuibarit, in cazul unui numar mare de specii migratoare sau semi-migratoare de pasari sau pentru habitate in cazul a 1688 si respective 3735 specii de plante si animale (Antipa G., 1910, Baboianu G., 1995, Vadineanu A., 1998).
Corpuri de apa de suprafata
Criteriile utilizate pentru delimitarea corpurilor de apa ale fluviului Dunarea sunt:
categoria de apa de suprafata ;
tipologia apelor de suprafata ;
caracteristici fizice - geografice sau hidromorfologice ;
starea apelor de suprafata, folosindu-se ca sursa de informatie, pentru delimitarea preliminara a corpurilor de apa, schimbarea limitelor claselor de calitate a apelor de suprafata, in conformitate cu "Normativul privind obiectivele de referinta pentru clasificarea calitatii apelor de suprafata".
alterarile hidromorfologice
Aceasta delimitare este un proces care va fi redefinit pe baza informatiilor aditionale obtinute prin dezvoltarea sistemului national de monitoring, in conformitate cu prevederile Directivei Cadru.
Analiza efectuata pentru fluviul Dunarea pe baza criteriilor prezentate anterior a condus la identificarea unui numar de 4 corpuri de apa de suprafata, dintre care 2 sunt lacuri de acumulare (Portile de Fier I si II). Lungimea maxima a corpurilor de apa este de 487,5 km, in timp ce lungimea minima este 80 km. Media lungimilor corpurilor de apa delimitate este de 243,75 km.(***, 2005)
Corpuri de apa puternic modificate si artificiale
Identificarea si desemnarea corpurilor de apa puternic modificate se refera la schimbarile hidromorfologice care rezulta din "alterarile fizice". Alterarile fizice luate in consideratie se refera la lucrarile hidrotehnice care au un impact semnificativ asupra morfologiei si regimului hidrologic.
Procesul de desemnare finala a corpurilor de apa puternic modificate se bazeaza pe date biologice.
Avand in vedere faptul ca, pentru moment, nu sunt disponibile suficiente date biologice, s-au propus pentru identificarea si desemnarea provizorie a CAPM criterii abiotice. Aceste criterii sunt bazate pe tipuri de lucrari hidrotehnice si efectele acestora asupra ecosistemelor acvatice
Prin aplicarea criteriilor abiotice, rezulta trei categorii de corpuri de apa : corpuri de apa care nu sunt puternic modificate (fara alterari hidromorfologice), candidate la "puternic modificate" si corpuri de apa puternic modificate.
Pentru fluviul Dunarea toate corpurile identificate au fost desemnate provizoriu drept corpuri de apa puternic modificate
Riscul neatingerii obiectivelor de mediu
Evaluarea riscului neatingerii obiectivelor de mediu se realizeaza pe baza urmatoarelor categorii:
substante organice;
nutrienti;
substante prioritar periculoase;
alterari hidromorfologice
.Criteriile pentru evaluarea impactului.
Prin aplicarea criteriilor si validarea presiunilor cu impactul au rezultat 3 clase de risc:
Ø "la risc"- in cazul in care unul dintre criteriile referitoare la presiuni sau/si impact este indeplinit;
Ø "fara risc" - in cazul in care nu este indeplinit nici unul dintre criteriile;
Ø "posibil la risc" - in cazul in care nu exista suficiente date pentru a evalua riscul pentru un anumit tip de presiune si impact, atunci corpul de apa este "posibil la risc".
Toate corpurile de apa delimitate pentru fluviul Dunarea au fost identificate drept corpuri "la risc" (pentru nutrienti, substante prioritar periculoase, alterari hidromorofologice) si "posibil la risc" pentru corpurile Aval Portile de Fier-Chiciu si Chiciu-Isaceea (pentru substantele organice). (***, 2005)
|
Politica de confidentialitate | Termeni si conditii de utilizare |
Vizualizari: 5096
Importanta: ![]()
Termeni si conditii de utilizare | Contact
© SCRIGROUP 2025 . All rights reserved