| CATEGORII DOCUMENTE |
DOBANDA COMPUSA
Prezentarea problemei : operatiuni financiare fractionate , cu capitalizarea dobanzii
Dispunem de datele urmatoare :
|
perioada depozitarii ( ani ) |
t1 |
t2 |
. |
tj |
. |
tn |
|
% nominal anual de dobanda simpla |
p1 |
p2 |
. |
pj |
. |
pn |
Presupunem ca se efectueaza urmatoarele operatiuni :
la inceputul perioadei t1 se constituie un depozit de valoare nominala S0 ;
la sfarsitul perioadei t1: depozitul se lichideaza si valoarea finala obtinuta se constituie depozit pe perioada de timp t2, cu procentul nominal de dobanda simpla p2 , etc
in general : valoarea finala a depozitului,corespunzatoare perioadei tk-1 , este luata drept valoare initiala pentru perioada tk.
Ne propunem sa determinam valoarea depozitului , la sfarsitul perioadei finale tn .
Vom folosi urmatoarele notatii :
Ak = valoarea depozitului la inceputul perioadei tk ;
Bk = valoarea depozitului la sfarsitul perioadei tk ;
Avem urmatoarele relatii de recurenta :

In general,vom avea :

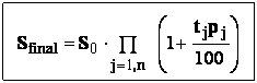
Raspuns : avem

. (1)
Operatiunea de anuitati nealimentate :este un caz particular , anume cazul in care avem
![]()
Pentru aceasta operatiune avem evident : 
Operatiunea de dobanda compusa corespunde cazului unor anuitati nealimentate , cu procent constant
adica :
.
Atunci avem : 
Determinarea procentului mediu de dobanda simpla si a procentului mediu de dobanda compusa in cazul unei operatiuni cu procent de dobanda variabil .
Fie datele :
|
Perioada nr. |
1 |
2 |
. |
n |
Total: |
|
Durata ( ani ) |
|
|
. |
|
T |
|
% nominal de dobanda |
|
|
. |
|
Atunci perioada totala a operatiunii este :
: presupunem ca la inceputul perioadei T
se constituie un depozit cu valoarea nominala S0 .
Procentul
mediu de dobanda simpla pe perioada T , corespunzator
procentelor si duratelor din tabel , este procentul notat
, care , la sfarsitul perioadei T , produce o
suma finala de valoare .
.(1)
Calculand valoarea finala a sumei S0 in regim de dobanda simpla , gasim
(2)
Egaland expresiile (1) , (2) , gasim:
(3).
Expresia (3) da valoarea procentului mediu echivalent de dobanda simpla , corespunzator unei operatiuni cu procent de dobanda variabil in timp.
- Procentul
mediu de dobanda compusa pe perioada T , corespunzator
procentelor si duratelor din tabel , este procentul notat
, care , la sfarsitul perioadei T , produce o
suma finala de valoare .
.(1)
Calculand valoarea finala a sumei S0 in regim de dobanda compusa , gasim
(4)
Egaland expresiile (1) , (4) , gasim:
(5).
Expresia (5) da valoarea procentului mediu echivalent de dobanda compusa , corespunzator unei operatiuni cu procent de dobanda variabil in timp.
Aplicatie: pentru operatiunea in regim de dobanda simpla cu capitalizare , pe 19 luni , descrisa in tabelul urmator:
|
numar de luni , tj |
3 |
5 |
4 |
7 |
Total: T = 19 |
|
procent de dobanda simpla , pj |
18% |
12% |
15% |
20% |
------ |
Sa determinam procentele medii echivalente ![]()
Rezolvare :
avem 
Atunci : - din formula (3) gasim : ![]()
- din formula (5) gasim : ![]()
Metoda comerciala de calcul al procentului de dobanda compusa corespunzator unei fractiuni a anului
Formula riguroasa de determinare a procentului fractionat nu este considerata ca fiind de referinta in literatura , fiind utilizata numai in studii strict teoretice .
Varianta curenta , numita " metoda comerciala " , consta in urmatoarele :
se da rata anuala a dobanzii, notata cu " r " ;
se da numarul de subperioade in care este impartit anul (*) , notat cu "n" ;
se noteaza prin " q " rata dobanzii corespunzatoare unei subperioade : atunci
se foloseste formula :
(*) adica : n=2 pentru rata semestriala ; n= 4 pentru rata trimestriala , etc
.
Aceasta rata , pe care o numim " rata anuala efectiva " ,este mai mare decat rata anuala nominala : de exemplu , pentru rata anuala nominala de : r = 0,24 ( deci p = 24%) , avem :
pentru n = 2 , rata anuala efectiva va fi de 0,2544 ( adica p = 25,44%) ;
pentru n = 4 , rata anuala efectiva va fi de 0,2625 ( adica p = 26,25%) ;
pentru n = 12 , rata anuala efectiva va fi de 0,2682 ( adica p = 26,82%) ;
|
Politica de confidentialitate | Termeni si conditii de utilizare |
Vizualizari: 2629
Importanta: ![]()
Termeni si conditii de utilizare | Contact
© SCRIGROUP 2025 . All rights reserved