| CATEGORII DOCUMENTE |
| Animale | Arta cultura | Divertisment | Film | Jurnalism | Muzica |
| Pescuit | Pictura | Versuri |

(Complex Senzomotorial Tester and Conflict-meter)

Struktra Mszer Srl.
Cuprins
APARAT DE TESTARE SENZORIO-MOTORIE COMPLEXA SI CONFICTOMETRU.. 1
1. Destinatia si aria de utilizare a aparatului 3
2. Structura aparatului . 4
3. Functionarea aparatului . 7
4. Date tehnice . 10
1. MANUIREA APARATULUI .. 12
Punerea in functiune . 12
Alegerea programului de testare . 12
Reglarea modului de functionare .. 13
Desfasurarea testarilor . 16
Afisarea si interpretarea rezultatelor . 17
2. PROGRAMAREA LIBERA . 21
3. PROGRAME DE TESTARE FIXE, DIN CONSTRUCTIA APARATULUI 22
3.1. Pozitia "0" a butonului 22
3.2. Pozitia "1"a butonului. 22
3.3. Pozitia "2" a butonului 23
3.4. Pozitia "3" a butonului 24
3.5. Pozitia "4" a butonului 25
4. SEMNIFICATIA VALORILOR AFISATE PE DISPLAY .. 26
4.1. Masurarea TR simplu si TR amestecat . 26
4.2. Masurarea TR de alegere .. 27
4.3.Masurarea TR de decizie (de selectie).. 28
5. TABLOURI ALE AFISARII REZULTATELOR .. 29
5.1. Masurarea TR simplu (programul 0) 29
5.2. Masurarea TR de alegere (programul 2)
5.3. Masurarea TR complex (programul 3) .. 31
6. NORME 32
6.1. Masurarea TR simplu (programul 0) 32
6.2. Masurarea TR de alegere (programul 2) 33
6.3. Masurarea TR complex (programul 3) 34
CONFLICTOMETRU 35
DESCRIEREA SI TEORIA TESTARII CU AJUTORUL CONFLICTOMETRULUI 36
MANUIREA CONFLICTOMETRULUI . 37
Reglarea modului de functionare "conflictometru" . 37
Desfasurarea testarilor . 38
Programe de testare a TR conflict si amestecat.. 39
3. SARCINA DE TESTARE "CONFLICT" 39
4. INSTRUCTAJELE PROGRAMELOR DE TESTARE "CONFLICT". 40
4.1. Programul 1 40
4.2. Programul 2 41
4.3. Programul 3 42
4.4. Programul 4 43
4.5. Programele 5,6,7,8 .. 43
4.6. Programul 9 . 44
5. SEMNIFICATIA VALORILOR AFISATE PE DISPLAY 45
5.1. Masurarea TR conflict (32 de itemi) .. 45
5.2. Masurarea TR conflict (96 de itemi) 46
6. TABLOURI ALE AFISARII REZULTATELOR . 48
6.1. Program de testare cu 32 de itemi, automat, stimuli de scurta durata (progr.1) 48
6.2. Program de testare cu 32 de itemi, manual, stimuli de scurta durata (progr.2) 49
6.3. Program de testare cu 96 de itemi, manual, stimuli de scurta durata (progr.3). 50
6.4. Program de testare cu 96 de itemi, automat, stimuli de scurta durata (progr.4) .. 51
6.5. Program de testare in modul TR simplu si TR amestecat (progr.9) 52
7. STANDARDE PENTRU TR CONFLICT SI TR AMESTECAT .. 53
7.1. Programul 1 (32 de itemi, automat, stimuli de scurta durata) .. 53
7.2. Programul 2 (32 de itemi, manual, stimuli de scurta durata) 53
7.3. Programul 3 (96 de itemi, manual, stimuli de scurta durata) 54
7.4. Programul 9 (TR amestecat). 55
DESTINATIA SI ARIA DE UTILIZARE A APARATULUI
Aparatul de Testare Ssenzorio-motorie Complexa si Conflictometru cu comanda microprocesorala este un aparat cu design modern, care se poate utiliza pentru testarea timpului de reactie (TR) simplu, de alegere, complex si de decizie (de selectie), totodata se poate utiliza pentru testarea preciziei si rapiditatii coordonarii capacitatilor perceptive (auditive si vizuale) si de reactie (actionare manuala si cu picioare), precum si pentru testarile care simuleaza situatii de conflict.
Ca instrument de testare senzorio-motorie complexa, aparatul se poate utiliza in cadrul testarilor aptitudinale, de selectie profesionala, deoarece ofera posibilitatea masurarii valorii performantei reactiilor senzorio-motorii, precum si a analizarii caracteristicilor procesului de invatare senzorio-motorie.
Totodata, ofera informatii si despre unele caracteristici ale personalitatii, cum ar fi nivelul de exigenta.
Aparatul poate fi folosit si pentru efectuarea unor testari individualizate (personalizate), speciale prin administrarea sunetelor, culorilor si stimulilor luminosi in cadrul unor programe care ofera o scala larga a posibilitatilor de programare a stimulilor si a administrarii acestora.
Conflictometrul poate fi utilizat in special in cadrul testarilor (pe diferite nivele) a conducatorilor auto.
Cu ajutorul conflictometrului se pot investiga caracteristicile psihoindividuale ale comportamentului in situatii de conflict de natura actionala, care necesita componenta decizionala a personalitatii.

Fig. 1/a. Aparat de testare Senzorio-motorie complexa Fig 1/b. Conflictometru
Utilizare propusa:
In cadrul testarilor psihoaptitidinale in domeniul industrial, rutier si alte domenii specifice, in cadrul orientarii profesionale, a consilierii educationale, in cazul testarii persoanelor care au fost autorii unor accidente de munca sau rutiere, in domeniul cercetarii psihologice (in special domeniul tehnic), in testarea psihologica a sportivilor, in cadrul experimentelor psihologice clinice si medicale, in investigarea capacitatilor de invatare.
STRUCTURA APARATULUI
Aparatul se poate vedea in fig. 1. Aparatul contine intr-o singura unitate structurala sursa de administrare a stimulilor simpli, de alegere, complecsi, de decizie (de selectie) si de conflict, organele de raspuns, sistemul electronic de comanda si evaluare, precum si display-ul pentru afisarea rezultatelor masurate si calculate.
Pe tabloul de bord (fig. 2) se gasesc: butonul de retea power (1), butonul no. (2) pentru stabilirea numarului de ordine a persoanei testate, butonul pentru selectarea programului de testare progr.select (11), butonul reset (5), butonul start (3) pentru inceperea testarii si butonul stop (4) utilizat pentru intreruperea testarii, fara stergerea rezultatelor.
Pe tabloul de bord se afla butoanele pentru reglarea modului de functionare a aparatului simple/choice (6) pentru selectarea masurarii timpului de reactie simplu sau de alegere, butonul aut./man. (7) pentru reglarea modului de administrare a stimulilor butonul exp./progr. (8) pentru temporizarea stimulilor, butonul sound/light (9) pentru alegerea tipului de stimul si butonul inverse (10) pentru expunerea stimulilor.
Pe tabloul de bord sunt grupate butoanele utilizate pentru afisarea rezultatelor masurate si calculate: butoanele step a pentru "mers inainte" si step È pentru "mers inapoi", perecum si butonul sd.-m. (16) pentru afisarea dispersiei si a mediei timpului de reactie.
Butonul progr./test (12) se utilizeaza pentru prezentarea stimulilor alesi si a situatiei de functionare a programarii.
Pe tabloul de bord se gasesc LED-urile de identificare stim.error (18), sd. (19), rt. (20), mean (21) colour (22), sound (23), hand (24), foot (25), precum si display-ul pentru afisarea rezultatelor display (17).
Pe latura de testare a aparatului (fig. 4) se afla sursa de stimuli-culori (30) la reactiile de alegere, sursele de stimuli pentru pedala din dreapta si pentru cea din stanga (31) la reactiile de alegere, sursa de stimuli pentru timpul de reactie simplu (28), precum si sursele de stimuli pentru masurarea timpilor de reactie complecsi, de decizie (selectie) (29).
Tot aici se gasesc si butoanele pentru reactiile manuale la culori (32), precum si la sunetele inalte (33) si joase (34).
Pe latura de testare a paratului au fost plasate si butonul cod-temporizare (27) si afisajul cod-temporizare (26).
Pe partea laterala a aparatului (fig.3) se gasesc: mufa de conectare a pedalierului (35), mufa de conectare interface (36) si mufa de conectare a castii (37).
Aparatul are un cablu de retea fix.
Siguranta se gaseste in interiorul aparatului, fixata pe o placa.
Schimbarea sigurantei se face dupa indepartarea carcasei si deconactarea aparatului de la retea, de catre un specialist!
Aparatul poate fi transportat si amplasat cu usurinta. Nu necesita intretinere speciala, se caracterizeaza prin mare precizie si siguranta tehnica.
Aparatul are ca anexe un pedalier cu doua pedale si o casca.

power Buton de retea 14 step a "Mers inainte"
2 no. Buton numar curent 15 step È "Mers inapoi"
3 Start Testare/printare 16 sd.-m. Dispersie, medie TR
4 Stop Intreruperea testarii 17 display Display
5 Reset Stergere, resetare 18 stim/error LED Stimul/Eroare
6 simple/choice TR simplu/de alegere 19 sd. LED Dispersie
7 aut./man. Administrarea stimulilor 20 rt LED Timp de reactie
8 ext./progr Temporizare exterioara/programare 21 mean LED medie
9 sound/light Stimul sonor/Stimul luminos 22 colour LED culoare
10 inverse Expunerea stimulilor 23 sound LED sunet
11 progr./select Selectare program 24 hand LED mana
12 prog./test Selectare mod de functionare 25 foot LED picior
progr. LED mod de programare
Tabloul de
bord
Latura de testare
Mufa conectare pedalier 37 Mufa conectare casca
Mufa conectare imprimanta
Subtire
Afisaj cod-temporizare 31 Sursa de stimuli-pedale la reactiile de alegere
Buton cod-temporizare 32 Butoane colorate pentru reactii
Sursa de stimuli TR simplu 33 Butoane de reactie la sunete inalte
Sursa de stimuli TR complex 34 Butoane de reactie la sunete groase (joase)
Sursa de stimuli-culori la reactiile de alegere
Fig. 4. Latura de testare a aparatului
FUNCTIONAREA APARATULUI
Cu ajutorul aparatului se pot administra stimuli luminosi de diferite culori, stimuli sonori sau combinatiile acestora sub forma stimulilor-perechi, la care subiectul testat trebuie sa reactioneze prin apasarea organelor de raspuns corespunzatoare.
Modurile de functionare ale aparatului:
Masurarea timpului de reactie simplu:
Se apasa butonul simple/choice (6). Programele: 0,1,2 existente prin constructia aparatului sau programele 5,6,7,8,9, care se pot alcatui liber.
Se reactioneaza apasand butoanele sau pedalele la aparitia stimulilor omogeni (luminosi sau sonori).
Masurarea timpului de reactie de alegere
Butonul simple/choice (6) nu este apasat. Programele: 0,1,2, existente prin constructia aparatului sau programele 5,6,7,8,9, care se pot alcatui liber.
Se reactioneaza apasand organul de reactie corespunzator la aparitia celor 9 feluri de stimuli (5 culori, 2 lumini cu pozitie diferita, 2 sunete). Oferta de stimuli poate fi redusa dupa plac in cadrul programarii.
Masurarea timpului de reactie de decizie (de selectie):
Butonul simple/choice (6) nu este apasat. Programele: 3,4, existente prin constructia aparatului.
Apar stimuli-perechi diferiti prin culoare si pozitie. Se reactioneaza doar la stimulii-perechi identificati.
Stimuli-perechi: culoare-culoare, sunet-culoare.
Masurarea timpului de reactie simplu, amestecat:
In modul de functionare conflictometru, programul 9, existent prin constructia aparatului.
Se reactioneaza apasand butoanele sau pedalele la stimulii luminosi si sonori, care apar aleator.
Masurarea timpului de reactie conflict:
In modul de functionare conflictometru, programele 1-8, existente prin constructia aparatului.
Potrivit instructajului, se reactioneaza dupa evaluarea situatiei date, prin apasarea butoanelor aflate pe partea opusa la stimuli luminosi de culoare rosie si verde.
Administrarea stimulilor poate fi:
-Automata (cu ritm impus), cu 10 tipuri de timpi de expunere.
-Autotempo (cu ritm liber), depinde de tempoul de lucru al subiectului testat.
Comanda microprocesorala ofera posibilitatea stocarii rezultatelor partiale ale masurarilor, prelucrarea statistica a acestora, precum si prin unitatea interface incorporata, conectarea la unitatea de stocare a datelor.
Aparatul inregistreaza caracteristicile cantitative, calitative si temporale ale reactiilor la stimuli, in functie de modul de functionare, in timpul testului afiseaza numarul stimulilor, numarul erorilor, precum si timpul de reactie actual cu o precizie de milisecunda.
La sfarsitul testarii afiseaza:
numarul total al stimulilor administrati,
numarul reactiilor eronate,
numarul reactiilor omise,
numarul reactiilor anticipate,
numarul reactiilor intarziate,
numarul reactiilor corecte intarziate
Aparatul ofera si urmatoarele rezultate:
media timpilor de reactie,
dispersia timpilor de reactie,
selectia erorilor pe tipuri de stimuli-reactii,
valorile dispersiilor pe tipuri de stimuli-reactii,
selectia valorilor medii pe tipuri de stimuli-reactii.
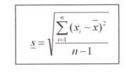
Calcularea medie:

Xi timpul de reactie evaluabil cu nr. i
n numarul reactiilor evaluabile

Observatie:
Aparatul nu ia in considerare la calcularea mediilor si a dispersiei urmatoarele:
-Timpii de reactie ai reactiilor omise, eronate si corecte, dar intarziate, la testarile cu ritm impus,
-Timpii de reactie ai reactiilor eronate sau mai lungi decat 3 secunde, la testarile cu autotempo,
-Timpii de reactie mai lungi decat 1 secunda, la testarea timpului de reactie simplu.
Interpretarea rezultatelor corecte intarziate:
Diferentierea reactiilor corecte intarziate de cele eronate este importanta la viteza de administrare a stimulilor aflata la pragul capacitatii de reactivitate (exemplu: la programele cu administrare automata a stimulilor cu temporizare de 0,3-0,5-0,7-1 sec.)
Reactia corecta intarziata este acea reactie care a fost efectuata corect, dar dureaza si dupa terminarea timpului de expunere al stimulului dat, intinzandu-se in spatiul urmatorului stimul.
(Intervalul in care aparatul considera reactia corecta intarziata este de 150 ms.)
Aparatul contine 17 programe fixe, existente prin constructie, avand standarde alcatuite prin corelarea rezultatelor oferite de utilizatori diferiti.
In afara de programele de testare fixe, utilizatorii pot programa stimulii luminosi si sonori diferiti, precum si timpii de expunere si de repaus, astfel se pot alcatui programe de testare de la cele mai simple la cele mai complexe, in functie de subiectii testati si de conditiile de testare.
Conectarea unei imprimante la aparatul de testare usureaza considerabil procedura de interpretare si evaluare a rezultatelor.
Imprimanta, care se poate comanda optional impreuna cu aparatul, ofera raportul final al testarii, care contine cele mai importante date, impreuna cu rezultatele detaliate masurate si calculate.
In cazul utilizarii imprimantei, testarile pot fi identificate cu ajutorul numarului de ordine (curent) reglat cu ajutorul butonului no. (2).
Printarea rezultatelor se initiaza cu ajutorul butonului start (3), la sfarsitul testarii, dupa ce aparatul a efectuat calcaulele statistice.
In modul de functionare conflictometru, rezultatele se printeaza automat dupa terminarea testarilor.
Exemple ale tabloului afisarii rezultatelor se gasesc la paginile 29-31 pentru testarile senzorio-motorii si 48-52 pentru testarile conflictometru.
![]()
4. DATE TEHNICE
Tensiunea de retea: 220 V 10 %
Frecventa de retea: 50/60 Hz
Puterea absorbita: 40 V A
Siguranta de retea: 5 A
Frecventa stimulului sonor:
Sunet inalt: 400 Hz
Sunet jos: 1600 Hz
Temporizari programabile: 0,3-0,7-1-1,5-2-3-5-7-10 sec.
Tipuri de stimuli programabili: 5 culori
2 stimuli luminosi albi diferentiati
2 tipuri de sunete
Iesire date: Interface CENTRONICS paralel
Precizia masurarii:
masurarea timpului de reactie: 1 ms
calcularea mediei: 1 ms
calcularea dispersiei: 1 ms
Programe de testare:
3 programe fixe pentru masurarea TR simplu si de alegere (cod 1,1,2)
2 programe fixe pentru masurarea TR complex, de decizie (cod 3,4)
5 programe cu alcatuire libera pentru TR simplu si de alegere (cod 5,6,7,8,9)
1 program fix pentru masurarea TR simplu, amestecat (cod 9)
8 programe fixe pentru testari conflictometru (cod 1,2,3,4,5,6,7,8)
Dimensiune si masa: 430 x 185 x 395, 6,5 kg
Dimensiunea si masa pedalierului: 250 x 90 x 300, 2 kg
Anexe: 1 pedalier
1 casca stereo
Instructiuni de utilizare
Observatie:
Aparatul poate fi pus in functiune numai cu conector si priza prevazute cu pamantare.
Schimbarea sigurantei se face numai dupa deconectarea aparatului de la retea. Pentru aceasta operatiune este necesara indepartarea carcasei unitatii de comanda de catre un specialist!
![]()

Partea I.
APARATUL DE TESTARE SENZORIO-MOTORIE COMPLEXA
(CST-2)
Tip: EM-0,5.58K/1

Struktra Mszer SRL
MANUIREA APARATULUI
Punerea in functiune
Aparatul se conecteaza la retea (220 V, 50 Hz) prin cablul de retea fix.
Pedalierul, fiind o anexa a aparatului, se conecteaza la aparat prin mufa de conectare (35) aflata pe partea laterala (fig.3) a aparatului.
Casca se conecteaza la aparat prin mufa de conectare (37) aflata pe partea laterala a aparatului (fig.3). In acest caz, boxele interioare se deconecteaza.
Imprimanta se conecteaza la aparat prin mufa (36).
Aparatul este pus in functiune:
Butonul
de retea power (1) este apasat
(pozitia on)
power
1.2.Alegerea programului de testare:
Butonul progr.
select (11) asigura selectarea sirului de stimuli dorit in
functie de scopul testarii. Programele "0-1-2-3-4" sunt programe fixe, in
cazul lor nu sunt posibile modificari sau eliminari de stimuli. Programele"5-6-7-8-9" pot fi oricand rescrise
sau sterse.
![]()
progr.select
Programele cu codurile "0-1-2":
Programe de masurare a TR de alegere, butonul simple/choise (6) nu este apasat, sau
Programe de masurare a TR simplu, butonul simple/choise (6) este apasat.
Programele cu codurile "3-4":
Sunt programe de masurare a TR de decizie (de selectie).
Programele cu codurile "5-6-7-8-9":
Sunt programe care pot fi alcatuite de catre utilizatori (psihologi examinatori si cercetatori) pentru masurarea TR simplu sau de alegere.
Pot fi alcatuite si stocate programe individualizate care pot fi reprogramate oricand.
Reglarea modului de functionare:
Masurarea TR simplu:
Se reactioneaza prin apasarea butonul alb din mijloc (32) sau prin apasarea pedalei din stanga, respectiv dreapta la aparitia stimulilor omogeni (lumina rosie (28) sau sunet).
Pe parcursul testului se reactioneaza numai cu organele de raspuns cu care s-a actionat la prima reactie, aparatul ia in considerare numai aceste reactii. Acest lucru este semnalat de LED-urile de identificare hand (24) sau foot (25).
Reglarea acestui mod de functionare:
Butonul progr. select (11) in pozitia
0,1,2,5,6,7,8 sau 9.

progr. select
Butonul simple/choice (6) este apasat (simple)
simple
choice
In
functie de pozitia butonului sound/light (9):
-stimul sonor de 400 Hz (in pozitia apasata a butonului)
sau
sound
light -lumina rosie (in pozitia de baza/neapasata a butonului) care apare in sursa de stimuli a masurarii TR simplu (28)
![]()
In cazul apasarii butonului inverse/normal (10) se reactioneaza la disparitia stimulului (mod de functionare invers), iar daca butonul este in pozitia de
inverse baza (nu este apasat), se reactioneaza la aparitia
normal stimulului (mod de functionare normal).
In modul de functionare TR simplu, butoanele aut./man. (7) si ext./progr. (8) nu sunt functionale.
Masurarea TR de alegere:
In acest mod de functionare apar 9 tipuri de stimuli (5 culori (30), 2 sunete si 2 stimuli luminosi albi in pozitii diferite pentru reactia cu cele doua pedale).
Se reactioneaza prin apasarea pedalelelor si a butoanelor corespunzatoare.
Reglarea modului de functionare:
Butonul progr. select (11) este in
pozitiile 0,1,2,5,6,7,8 sau 9. In pozitiile 5-9 se pot programa liber
stimulii sau se poate opta doar pentru un singur stimul.

progr. select.
Butonul simple/choice (6) nu este apasat (choice)
simple
choice
Reglarea modului de administrare a stimulilor:
In pozitia apasata a butonului aut./man.
(7) stimulii sunt administrati automat, in functie de temporizarea facuta,
indiferent de natura sau de cantitatea stimulilor.
aut In pozitia de baza a butonului (manual) stimulul administrat man dispare numai dupa reactia corecta a subiectului si numai dupa
aceea apare urmatorul stimul.
Observatie:
Daca in decurs de 10 secunde subiectul testat nu reactioneaza corect, sursa de stimuli se deconecteaza automat.
![]()
In modul de administrare automat (pozitia apasata a butonului aut./man. (7) ) este posibila anularea timpilor de expunere
ext. programati. Prin apasarea butonul ext./progr. (8), cu ajutorul
progr. butonului cod-temporizare (27), este posibila reglarea temporizarii automate dorite.
Semnificatia pozitiilor butonului cod-temporizare:
Cod Timp aparitie stimul (s) Cod Timp aparitie stimul (s)
0,3s 5 2,0s
0,5s 6 3,0s
0,7s 7 5,0s
1,0s 8 7,0s
1,5s 9 10,0s

Butonul cod-temporizare poate fi utilizat si in functie de nivelul de exigenta a subiectului testat. In acest caz, subiectul testat poate regla temporizarea administrarii stimulilor in functie de tempoul sau de lucru si de "nivelul sau de exigenta".
Observatie:
In cazul masurarii TR de alegere, temporizarea este timpul de expunere al stimulilor, iar in cazul masurarii TR simplu, temporizarea este timpul de repaus (dintre doi stimuli consecutivi).
Masurarea TR de decizie (de selectie):
In acest mod de functionare apar stimuli-perechi diferiti (29). Se reactioneaza doar la stimulii-perechi identificati la inceputul testarii, prin apasarea pedalelor sau a butonului alb din mijloc (32).
In cadrul primei reactii se selecteaza automat organul de raspuns, ca si in cazul modului de functionare TR simplu.
Reglarea modului de functionare:
Butonul progr.select (11) in pozitia 3
sau 4. -in pozitia "3" se reactioneaza la
stimulii-perechi "culoare-culoare" (rosu si galben) -in pozitia "4" se reactioneaza la stimulii-perechi "culoare-culoare" (rosu
si galben), totodata la stimulii-perechi "culoare-sunet" (verde si sunet de
400 Hz)
progr.select
La ceilalti stimuli-perechi nu se reactioneaza. Ambele programe contin 50 de itemi, in 20 de itemi apar stimuli-perechi la care se reactioneaza.
Temporizarea poate fi cea randomizata, stabilita de program, sau se poate regla prin apasarea butonului ext./progr. (8), cu ajutorul butonului cod-temporizare (27). (Procedura prezentata la modul de functionare masurarea TR de alegere).
In modul de functionare masurarea TR de decizie (de selectie), butoanele inverse (10), sound/light (9), simple/choice (6) si aut./man. (7) nu sunt functionale.
In modul de functionare masurarea TR de decizie, nu este posibila programarea libera a stimulilor. Se utilizeaza doar programele fixe, cu codurile "3" si "4".
Desfasurarea testarilor
Prezentarea stimulilor, testare:
![]()
La apasarea butonului progr.test (12), pe display (17) si pe afisaj (26), apare:
progr.test
. . . . . . . . . .
In acest caz, prin
apasarea organelor de reactie (butoane
colorate (32), butoane pentru sunete (33), (34) si
pedale, apare (sau se aude) stimulul corespunzator
reactiei. In acest mod sunt prezentati stimulii.
Acest procedeu se poate utiliza si pentru verificarea functionarii surselor de stimuli inainte de inceperea testarii.
Dupa prezentarea stimulilor, se apasa butonul reset (5) pentru aducerea aparatului in pozitia de baza initiala testarii).
Prin apasarea butonului reset (5), circuitele electronice ale
aparatului se vor intoarce in pozitia de baza, se sterg datele aflate in
depozitele tranzitorii.
reset
Functia butonului: La apasarea lui, respectiv dupa stocarea rezultatelor testarii terminate, aparatul ajunge din nou in pozitia de baza (initiala unei alte testari).
La apasarea butonului start (3), apare primul stimul, in functie de programul ales si de
modul de functionare reglat.
start
Alte functii:
-inceperea programarii, prin apasarea simultana a acestui buton si al butonului progr.test (12)
reinceperea testarii dupa intrerupere (la apasarea butonului stop)
initierea printarii
![]()
Prin apasarea butonului stop (4), testarea poate fi intrerupta.
stop
In acest caz, nu se mai administreaza alti stimuli, iar organele de raspuns nu functioneaza.
Prin aceasta intrerupere a testarii, nu se sterg rezultatele obtinute pana atunci, ele apar pe display si sunt stocate in memoria aparatului.
La apasarea butonului start (3), testarea continua.
Alta functie a butonului: terminarea programarii.
Afisarea si interpretarea rezultatelor
Rezultatele testarii apar pe display (17). Interpretarea rezultatelor este usurata de LED-urile de identificare (18), (19), (20), (21), (22), (23), (24), (25), aflate langa display.
Masurarea TR simplu:
Rezulatele afisate in cursul testarii:
1 3 - 0 5
0. 2 6 4
stim.error Σ numar stimuli:13, din care 5 nu suntevaluate (reactii intarziate, omise, anticipate).
TR al stimulului actual: 264ms 0.264s
Reactia anticipata apare cu semnul minus.
*rt *hand
Reactia omisa (TR>1000ms) semnalata prin: ...
La sfarsitul testarii, apare afisat:
30 02
01
stim.error *colour Σ numar stimuli: 30din care: 2 omise
3 anticipate (TR<100ms)
1 intarziata (TR>500ms)
*hand
Rezultate calculate:
![]()
La apasarea butonului sd.-m. (16) :
sd.-m.
0. 0 2 8
0. 2 3 4
*colour
dispersia: 28 ms
sd
media TR: 234 ms
hand
Fara reactiile anticipate si intarziate!
mean
LED-urile de identificare colour (22) si sound (23) semnalizeaza tipul stimulului, iar hand (24) si foot (25) semnaleaza modul de reactie.
Butoanele step a si step È ) nu functioneaza in modul de functionare masurarea TR simplu.
Valorile TR (calcualate cu o precizie de miime de secunda) pe itemi sunt vizibile pe tabloul afisarii rezultatelor.
Masurarea TR de alegere:
Rezulatele afisate in cursul testarii:
32 - 02
0. 6 5 4
stim.error
numar stimul: 32
erori: 2
rt
TR actual: 654 ms
36 03
. . . .
stim.error
numar stimul: 36
erori: 3
rt
reactie omisa: semnalare prin: .
La sfarsitul testarii, apare afisat:
Numarul total al stimulilor administrati si selectia erorilor pentru intregul program:
6 0 0 4
0 5 0 2
stim.error
stimuli: 60
reactii omise: 4, reactii eronate: 5
reactii corecte, intarziate: 2
Σ erori: 11
![]()
Cu ajutorul butoanelor step a si step È rezultatele
step a pot fi selectate in functie de tipul
stimulilor (culori, sunet, pedala) in ordinea aparitiei.
step È
1 2 0 1
0 3 0 0
stim.errorExemplu: stimuli sonori in program: 12
*sound
din care: reactii omise: 1
reactii eronate:3
reactii corecte, intarziate: 0
(La culori, respectiv pedale, lumineaza LED-urile colour (22) si foot (25) ).
Rezultate calculate:
![]()
La apasarea butonului sd.-m. (16):
sd.-m.
0. 1 4 5 0 . 8 1 7
Referitor la programul intreg:
sd
Dispersia: 145 ms, Media TR: 817 ms
(Fara reactiile eronate!)
mean
La
apasarea butonului sd.-m. (16):
sd.-m.
Prin apasarea butoanelor
step a sau step
È se afiseaza valorile dispersiei si a mediilor
timpilor de reactie in
functie de tipul stimulului (culoare, sunet, pedala).
step a
![]()
step È
0. 0 9 5
0 . 5 3 0
*colour
Exemplu: reactii date la culori
sd
Dispersia: 95 ms
Media TR: 530 ms
mean
LED-urile de identificare (22), (23), (25) semnaleaza tipul stimulului la care se refera rezultatul selectat cu butoanele step.
In cazul in care se afiseaza rezultatele referitoare la intregul program de testare, nu lumineaza nici un LED de identificare.
Aparatul nu calculeaza dispersia in cazul unui numar mai mic de 3 reactii evaluabile, totodata nu calculeaza nici medie nici dispersie in cazul unui numar mai mic de 2 reactii evaluabile. In ambele cazuri pe afisaj va aparea: 0.000.
Masurarea TR de decizie (de selectie):
Rezulatele afisate in cursul testarii:
2 8 - 0 3 0 . 5 6 1
stim.error
Numar erori: 28 (aici se afla testarea)
Erori: 3
*rt
TR actual: 561 ms
*foot
(Sau in cazul reactiei omise: ..)
La sfarsitul testarii, apare afisat:
Numarul stimulilor este intotdeauna 20!
(Sunt afisati numai stimulii la care se reactioneaza!)
2 0 0 2 0 3 0 1
*stim.error
Omise: 2, Eronate: 3
Corecte, intarziate: 1
S-a reactionat cu pedale
*foot
Numarul total al stimulilor administrati este intotdeauna 50.
Rezultate calculate:
La apasarea butonului sd.-m. (16):
sd.-m.
0. 0 6 6 0. 4 9 1
dispersia: 66 ms
*sd
media TR: 491 ms
(Fara reactiile eronate!)
*mean foot
Butoanele step a si step È nu functioneaza in cazul masurarii TR complex.
Valorile timpilor de reactie pe itemi se afiseaza sub in tabloul afisarii rezultatelor.
PROGRAMAREA LIBERA
Butonul progr./select
(11) este in pozitiile 5,6,7,8 sau 9.
progr.select
Programarea se initiaza prin apasarea constanta a butonului progr./test
(12) si apasarea simultana a
butonului start (3). In cursul programarii, lumineaza
progr./test LED-ul progr. (13) . Daca butonul progr.select (11)
este
pe una din pozitiile 0,1,2,3,4,
care au programare fixa, aparatul ne avertizeaza prin semnalizarea simultana a
tuturor surselor de stimuli. Acestea nu pot fi reprogramate.
start
Desfasurarea programarii:
Timpul de expunere al primului stimul (la TR simplu este timpul de repaus) se regleaza cu ajutorul butonului cod-temporizare (27). Pozitiile acestui buton sunt identice cu cele prezentate la masurarea TR de alegere.
Se apasa organul de reactie (buton sau pedala) (32), (33), (34) corespunzator stimulului pe care dorim sa-l programam. Dupa aceasta operatie, tipul de stimul programat este stocat in memoria aparatului, pe display (17) apare numarul de ordine al stimulului (in cazul de fata: 1), iar pe afisajul cod-temporizare (26) apare codul de temporizare deja ales.
In acest mod se programeaza toti itemii testului. In cazul marcarii gresite a unui item, se apasa unul din butoanele step a sau step È dupa care se fac corecturile de rigoare. Prin apasarea constanta a unuia dintre cele doua butoane pot fi verificate toate pozitiile programate.
Prin apasarea butonului stop (4), se termina programarea. Aparatul ajunge in pozitia de baza (initiala testarii), LED-ul progr. (13) nu mai lumineaza.
Durata programului de testare este egal cu numarul de itemi programati, care se poate afisa pe display (17) prin apasarea butonului stop (4).
Programul alcatuit ramane in memoria aparatului si dupa deconectarea acestuia prin apasarea butonului power (1) (pozitia off).
PROGRAME DE TESTARE FIXE, DIN CONSTRUCTIA APARATULUI
Butonul progr.select
(11) se afla in pozitiile 0,1,2,3,4 in cazul testarilor
senzorio-motorii, sau in pozitiile 1-9 in modul de functionare
conflictometru.

progr.select
Pozitia "0" a butonului
Programul contine 10 itemi. Se poate utiliza la masurarea TR simplu, daca butonul simple/choice (6) este apasat. In cazul masurarii TR de alegere, butonul simple/choice (6) nu trebuie apasat.
In functie de pozitia butonului sound/light (9), aparatul administreaza stimuli sonori de 400 Hz sau stimuli luminosi albi.
Structura programului in cazul masurarii TR de alegere:
No. Tipul stimulului Temporizare (s)
1. Sunet inalt 3
2. Alb 3
3. Picior drept 7
4. Sunet subtire 7
5. Picior stang 5
6. Sunet gros 2
7. Albastru 5
8. Verde 7
9. Galben 2
10. Rosu 5
Pozitia "1" a butonului
Programul contine 30 de itemi. Se poate utiliza la masurarea TR simplu si de alegere.
Structura programului in cazul masurarii TR de alegere:
No. Tipul stimulului Temp. (s) No. Tipul stimulului Temp. (s)
1. Albastru 5 16. Sunet gros 7
Picior drept 2 17. Picior drept 2
Sunet subtire 2 18. Picior drept 2
Verde 7 19. Picior stang 3
Sunet subtire 5 20. Albastru 3
Galben 2 21. Rosu 5
Sunet gros 2 22. Picior stang 2
Verde 7 23. Picior stang 7
Picior stang 3 24. Sunet subtire 3
10. Albastru 3 25. Sunet subtire 5
11. Verde 5 26. Rosu 7
12. Picior stang 2 27. Sunet subtire 3
13. Sunet subtire 5 28. Picior stang 7
14. Picior dreapt 2 29. Sunet gros 2
15. Alb 2 30. Sunet subtire 3
Pozitia "2" a butonului
Programul contine 60 de itemi. Se poate utiliza la masurarea TR simplu si de alegere, totodata, prin pozitia ext. a butonului ext./progr. (8), utilizand butonul cod-temporizare (27), se poate utiliza pentru masurarea "nivelulul de exigenta".
Structura programului la masurarea TR de alegere (program de testare):
No. Tipul stimulului Temp. (s) No. Tipul stimulului Temp. (s)
1. Alb 1,5 31. Sunet gros 1
2. Galben 1 32. Galben 1
3. Albastru 1 33. Sunet gros 1,5
4. Rosu 2 34. Rosu 1
5. Sunet gros 2 35. Picior stang 1
6. Albastru 1 36. Albastru 1
7. Picior drept 1 37. Picior drept 2
8. Picior drept 1 38. Rosu 2
9. Picior stang 1,5 39. Picior stang 1,5
10. Rosu 1,5 40. Picior stang 2
11. Picior stang 1 41. Sunet subtire 1
12. Alb 1 42. Alb 2
13. Albastru 1 43. Sunet gros 1
14. Galben 1 44. Albastru 1
15. Picior drept 1 45. Sunet gros 2
16. Albastru 1 46. Galben 2
17. Rosu 1,5 47. Galben 2
18. Rosu 1 48. Verde 1,5
19. Rosu 1 49. Sunet subtire 2
20. Galben 2 50. Picior stang 1
21. Rosu 1 51. Galben 1
22. Verde 1 52. Picior drept 1,5
23. Verde 1,5 53. Sunet subtire 1
24. Sunet subtire 1,5 54. Albastru 2
25. Verde 1,5 55. Galben 1
26. Picior drept 1 56. Sunet subtire 1
27. Picior stang 2 57. Sunet subtire 1
28. Galben 1 58. Alb 1
29. Sunet subtire 1,5 59. Sunet subtire 1
30. Rosu 1 60. Picior drept 1
Pozitia "3" a butonului
Programul contine 50 de itemi. Se utilizeaza in cazul masurarii TR de decizie (de selectie).
Structura programului:
No. Stimuli-perechi Temp. (s) No. Stimuli-perechi Temp. (s)
1. G1-V2 1,5 26. R1-G2 1,5
2. R1-V1 1 27. G1-V1 1
3. G2-R2 1,5 28. R1-R2 1,5
4. R1-V2 1 29. V1-G2 1,5
5. G1-R2 1 30. G1-R2 1
6. R1-V1 1 31. R1-G2 1
7. V2-G2 2 32. V2-R2 2
8. G1-R2 1 33. G1-R2 1,5
9. G2-V2 1,5 34. V1-R2 1,5
10. V1-R2 1,5 35. R1-G2 0,7
11. R1-G2 1 36. G1-V1 1
12. V2-R2 0,7 37. G2-R2 1,5
13. G1-R1 1,5 38. G1-R1 1
14. G2-R2 1 39. V1-G2 1
15. G1-V2 1,5 40. G1-R2 1,5
16. R1-V1 2 41. R1-G2 1
17. G1-V2 0,7 42. V1-R2 1,5
18. R1-G2 1 43. G1-V2 0,7
19. V1-R2 1,5 44. G2-R2 1
20. G1-R1 1 45 R1-V2 2
21. G2-V2 1 46. G1-R2 1,5
22. R1-V1 1,5 47. G2-V2 1,5
23. G1-G2 1 48. G1-V1 1,5
24. R1-V2 0,7 49. V2-R2 1,5
25. G1-R2 1 50. R1-G2 1
G1= LED-ul galben/partea stanga
G2= LED-ul galben/partea dreapta
R1= LED-ul rosu/partea stanga
R2= LED-ul rosu/partea dreapta
V1= LED-ul verde/partea stanga
V2= LED-ul verde/partea dreapta
Stimulul-pereche identificat: GALBEN-ROSU
Programul contine in total 20 de stimuli-perechi identificati.
Se reactioneaza de fiecare data cand lumineaza simultan LED-urile galben si rosu.
Pozitia "4"a butonului
Programul contine 50 de stimuli. Apar stimuli-perechi "culoare-culoare" si "culoare-sunet". Se utilizeaza la masurarea TR de decizie (de selectie).
Structura programului:
No. Stimuli-perechi Temp. (s) No. Stimuli-perechi Temp. (s)
1. S-G2 1,5 26. S-R2 1,5
2. G1-R2 1 27. R1-G2 1
3. V1-G2 1,5 28. G1-V1 1,5
4. S-V2 1 29. R1-V2 1,5
5. V1-R2 1 30. S-V1 1
6. V1-r2 1 31. S-G2 1
7. S-1 2 32. V1-R2 2
8. G2-R2 1 33. S-R1 1,5
9. S-R1 1,5 34. S-V2 1,5
10. S-V2 1,5 35. V1-G2 0,7
11. V1-R2 1 36. G1-R1 1
12. S-G1 1,5 37. S-G2 1,5
13. R1-G2 1,5 38. R1-V2 1
14. S-R2 1 39. S-V1 1
15. S-V1 1,5 40. G2-R2 1,5
16. G1-R1 2 41. R1-V2 1
17. V1-G2 0,7 42. S-G1 1,5
18. S-R1 1 43. S-R1 0,7
19. G2-R2 1,5 44. G1-R1 1
20. G1-V2 1 45. S-G2 0,7
21. S-V1 1 46. S-V1 1,5
22. S-G1 1,5 47. R1-G2 1,5
23. S-V2 1 48. G1-V1 1,5
24. V1-R2 0,7 49. S-V2 1,5
25. G1-V2 1 50. R1-V2 1
S= sunet cu o frecventa de 400Hz
Stimuli-perechi identificati: GALBEN-ROSU, SUNET-VERDE
Programul contine in total 20 de stimuli-perechi identificati.
Se reactioneaza doar la stimulii-perechi identificati: lumineaza LED-ul verde simultan cu sunetul, respectiv LED-urile galben si rosu lumineaza simultan.
SEMNIFICATIA VALORILOR AFISATE PE DISPLAY
Masurarea TR simplu si a TR amestecat
Rezultate afisate in cursul testarii:
Numar stimul Numar erori
0 0 0 0 0. 0 0 0
↙
TR actual
La sfarsitul testarii, apare afisat:
Numar stimuli Reactii omise
↘ ↙
0 0 0 0 0 0 0 0
↖
Reactii anticipate Reactii intarziate
Rezultate calculate afisabile:
0 . 0 0 0 0 . 0 0 0
↙ Dispersia timpilor de reactie
Media timpilor de reactie
Se refera numai la reactiile evaluabile. Reactiile anticipate si intarziate nu sunt evaluate.
Masurarea TR de alegere
Rezultate afisate in cursul testarii:
Numar stimul Numar erori
0 0 0 0 0. 0 0 0
↙
TR actual
La sfarsitul testarii, apare afisat:
Numar stimuli Reactii omise
↘ ↙
0 0 0 0 0 0 0 0
↖
Reactii eronate Reactii intarziate corecte
Se refera la intregul program de testare.
Rezultate calculate afisabile:
0 . 0 0 0 0 . 0 0 0
↙ Dispersia timpilor de reactie
Media timpilor de reactie
Se refera la intregul program de testare si la fiecare tip de stimul in parte.
Numar stimuli Reactii omise
↘ ↙
0 0 0 0 0 0 0 0
↖
Reactii eronate Reactii intarziate corecte
Pentru fiecare tip de stimul in parte (culori, sunete, pedale).
4.3. Masurarea TR de decizie (de selectie)
Rezultatele afisate in cursul testarii:
Numar stimul Numar erori
0 0 0 0 0. 0 0 0
↙
TR actual
Numarul total al stimulilor contine si stimulii la care nu se reactioneaza.
La sfarsitul testarii, apare afisat:
Numar stimuli Reactii omise
↘ ↙
0 0 0 0 0 0 0 0
↖
Reactii eronate Reactii intarziate corecte
Numarul total al stimulilor contine si stimulii la care nu se reactioneaza. (Intotdeauna 20).
Rezultate calculate afisabile:
0 . 0 0 0 0 . 0 0 0
↙ Dispersia timpilor de reactie
Media timpilor de reactie
Se refera doar la stimulii-perechi identificati.
TABLOUL AFISARII REZULTATELOR
5.1. Masurarea TR simplu (Programul 0)
** ** ** ** ** ** ** ** ***** * *
APARAT DE TESTARE SENZORIO-MOTORIE COMPLEXA *
*
Numele: ..
Varsta: Cod identificare: ..
Studii: .
Profesia:
Locul testarii: ..
Data: .. Nr. testarii: 21
Mod de functionare:
Simplu normal/light Time: progr. Program: 0
Rezultate:
|
Reactie Stimul Omise Anticipate Intarziate Medie (s) Dispersie (s) |
Mana 10 01 01 00 0,261 0,081
Timpi de reactie evaluati (s):
0,247 0,257 0,267 0,247 0,243 0,310 0,257
Observatii:
Examinator
5.2. Masurarea TR de alegere (Programul 2)
** ** ** ** ** ** ** ** ***** * *
APARAT DE TESTARE SENZORIO-MOTORIE COMPLEXA *
*
Numele: ..
Varsta: Cod identificare: ..
Studii: .
Profesia:
Locul testarii: ..
Data: .. Nr. testarii: 23
Mod de functionare:
De alegere/choice aut. Time: progr. Program: 2
Rezultate:
|
Reactie Stimul Omise Anticipate Intarziate Medie (s) Dispersie (s) |
Culoare 33 02 01 00 0,764 0,243
Sunet 13 01 04 00 0,897 0,178
Picior 14 02 01 00 0,688 0,067
Sum. 60 05 06 00 0,769 0,193
Timpi de reactie evaluati (s):
Culoare:
1,170 0,594 0,565 0,494 0,523 0,594 0,794 0,665
1,380 0,665 0,522 0,822 0,627 0,980 0,580 0,755
0,765 0,894 0,994 0,934 0,565 0,636 0,880 0,627
0,627 1,485 0,765 0,613 0,650 0,751
Sunet:
1,018 1,199 0,832 0,885 0,985 0,918 0,699 0,642
Picior:
0,765 0,694 0,584 0,680 0,794 0,742 0,723 0,580
0,642 0,694 0,680
Observatii:
Examinator
5.3. Masurarea TR complex (Programul 3)
** ** ** ** ** ** ** ** ***** * *
APARAT DE TESTARE SENZORIO-MOTORIE COMPLEXA *
* *
Numele: ..
Varsta: Cod identificare: ..
Studii: .
Profesia:
Locul testarii: ..
Data: .. Nr. testarii: 23
Mod de functionare:
Complex Time: progr. Program: 3
Rezultate:
|
Reactie Stimul Omise Anticipate Intarziate Medie (s) Dispersie (s) |
Mana 20 03 03 01 0,581 0,135
Timpi de reactie evaluati (s):
0,995 0,559 0,629 0,540 0,449 0,564 0,545 0,583
0,453 0,531 0,606 0,665 0,708 0,722 0,544 0,424
0,483
Observatii:
Examinator
NORME
6.1. Masurarea TR simplu (Program 0)
STRUKTRA MSZER SRL, BUDAPESTA
Tip: EM-05.58K
Numarul programului: 0
Functia de testare: Timpul de reactie simplu (stimuli: lumina rosie, sunet)
Timpul testarii: Total: 3 min.
Instructaj: 1 min.
Masurare: 1 min.
Evaluare: 1 min.
|
NORME |
||
|
Lumina (medie TR [ms] ) |
Sunet (medie TR [ms] ) |
Performata |
|
< < |
310 < |
Forte buna Buna Medie Slaba Foarte slaba |
6.2. Masurarea TR de alegere (Programul 2)
STRUKTRA MSZER SRL, BUDAPESTA
Tip: EM-05.58K
Numarul programului: 2
Functii de testare: Masurarea Tr de alegere, 60 de itemi
(Stimuli: 5 culori, 2 sunete, 2 stimuli pentru pedale)
Timpul testarii: Total: 6 min.
Instructaj: 1 min.
Masurare: 4 min.
Evaluare: 1 min.
|
NORME |
||
|
Medie TR [ms] |
Greseli (erori+omise) |
Performata |
|
< < |
20 < |
Forte buna Buna Medie Slaba Foarte slaba |
Observatie: Numarul erorilor mai mare decat 10, indica probleme de percepere a culorilor.
6.3. Masurarea TR complex (Programul 3)
STRUKTRA MSZER SRL, BUDAPESTA
Tip: EM-05.58K
Numarul programului: 3
Functii de testare: Masurarea Tr de alegere si de decizie, precizia si rapiditatea prelucrarii informatiilor, depistarea problemelor de percepere a culorilor.
Timpul testarii: Total: 4 min.
Instructaj: 1 min.
Masurare: 2 min.
Evaluare: 1 min.
|
NORME |
||
|
Medie TR [ms] |
Greseli (erori+omise) |
Performata |
|
< < |
8 < |
Forte buna Buna Medie Slaba Foarte slaba |

Partea a II-a
Conflictometru
(CST-2)
Tip: EM-05.58K/2

Struktra Mszer Srl.
1.DESCRIEREA SI TEORIA TESTARII CU AJUTORUL CONFLICTOMETRULUI
Campul stimulilor in cadrul acestei testari contine 4 LED-uri (2 rosii si 2 verzi), asezate simetric, intr-un singur rand (ordinea lor de la dreapta la stanga: V R R V), iar sub ele sunt plasate butoane.

Cu ajutorul LED-urilor se administreaza stimuli luminosi in sistem cvasi-randomizat, in functie de modul de functionare stabilit. Timp de expunere al stimulilor luminosi este de 0,25 sec. , dar in unele cazuri (conform programului de testare) lumineaza constant pana la efectuarea reactiei corecte de catre subiectului testat.
Stimulii apar, in functie de modul de functionare, dupa un timp de repaus de 0,5 sec. dupa efectuarea raspunsului corect (respectiv la 0,5 sec. dupa apasarea butonului pentru administrarea stimulilor), sau dupa expirarea timpului de repaus programat anterior (independent de efectuarea reactiei corecte).
Sarcina subiectului testat este de a apasa cu degetul aratator al mainii dominante butonul corespunzator stimulului.
La aparitia semnalului luminos rosu, se apasa butonul aflat sub acesta, la aparitia semnalului luminos verde, se apasa butonul aflat sub LED-ul verde de pe partea opusa stimulului luminos verde aparut.
Programul de baza este asemanator cu reactia disjuncta de tip "B" al lui Donders, adica, in cazul aparitiei luminii rosii, reactia este univoca, "naturala" (Fitts si Seeger), iar in cazul aparitiei luminii verzi, reactia este opusa celei naturale, in acest caz se presupune deci o conditionare interdictiva.
Situatia de conflict este creata prin aparitia simultana a trei stimuli (VR R R RV V RV VR V), sarcina subiectului fiind aceea de a reactiona doar unul din cei doi stimuli de aceeasi culoare (potrivit deciziei lui).
Avand in vedere conditionarea interdictiva, o alta situatie de conflict se creeza prin aparitia simultana a doua lumini rosii sau verzi, deoarece in ultimul caz (a aparitiei luminilor verzi), reactia corecta este in acelasi timp o rectie interzisa.
Aparatul contine mai multe variante de testare, inregistreaza separat reactiile corecte si eronate atat in cazul programului de baza, cat si in cel al programului conflict. Aparatul ofera informatii si despre ordinea stimulilor, despre timpul de reactie la situatiile de conflict (rosu si verde) si despre timpul total al efectuarii probei.
In cazul masurarii TR de conflict, aparatul ofera posibilitatea investigarii modului de reactie la situatiile simple si de decizie conflictuala, astfel, se pot obtine rezultate (pe baza caracteristicilor temporali ai perceptiei, deciziei si reactiei), pe baza carora examinatorul poate evalua TR in cadrul reactiilor simple, de alegere si de decizie.
Testarile efectuate cu ajutorul acestui aparat ofera posibilitatea evaluarii integrate a comportamentului reactional (a reactivitatii generale) al subiectului testat.
In cazul situatiilor de decizie, in functie de numarul alternativelor de rezolvare alese si de timpul de decizie, cu ajutorul aparatului se poate investiga valoarea nesigurantei si a incertitudinii caracteristice persoanei testate.
Rezultatele obtinute prin utilizarea conflictometrului pot fi folosite in domeniile profesionale in care este important TR in cadrul actiunilor decizionale.
2. MANUIREA CONFLICTOMETRULUI
Cu ajutorul aparatului de testare senzorio-motorie complexa se poate efectua masurarea TR in cazul situatiilor de conflict.
Aceste testari se efectueaza cu ajutorul plasarii pe butoanele colorate (32) aflate pe latura de testare a aparatului a placii magnetice acoperitoare (7) (fig. 5).
2.1. Reglarea modului de functionare conflictometru
Se plaseaza placa acoperitoare (7) deasupra butoanelor colorate (32) , apoi se apasa butonul power (1), iar dupa aceea butonul reset (5).
Dupa aceasta operatie aparatul se afla in modul de functionare conflictometru.
In cazul in care aparatul a fost deja pus in functiune si a lucrat in modul de testare senzorio-motor, dupa plasarea placii acoperitoare (7), se apasa butonul reset (5), astfel aparatul se va afla in modul de functionare conflictometru.
Observatie:
Pentru intoarcerea in modul de functionarede tetare senzorio-motorie, se indeparteaza placa acoperitoare (7) si se apasa butonul reset (5).
Subtire Gros

Surse de stimuli-conflict rosii 5. Sursa de stimul luminos pentru TR amestecat
Surse de stimuli-conflict verzi 6. Buton pentru administrarea stimulilor la modul
Butoane pentru reactii-conflict rosii de functionare manual si buton pentru reactii
Butoane pentru reactii-conflict verzi la stimuli (lumina, sunet) pentru TR amestecat
7. Placa acoperitoare
Fig. 5
2.2. Desfasurarea testarilor
Se selecteaza programul de testare dorit cu ajutorul butonului progr.select (11).
Dupa prezentarea instructajului, se apasa butonul start (3) pentru inceperea testarii.
Terminarea testarii este semnalata de aparat printr-un semnal sonor (sunet inalt-gros) iar rezultatele sunt transmise imprimantei.
Imprimanta printeaza rezultatele in mod automat intr-un exemplar.
Observatie:
Pentru printarea mai multor exemplare a listei rezultatelor, se apasa butoul start in mod repetat.
Rezultatele testarii pot fi citite si de pe display-ul (17) aparatului.
Inaintea inceperii unei alte testari, se apasa butonul reset (5), astfel se sterg rezultatele testarii anterioare.
2.3. Programe de testare a TR conflict si a TR amestecat
Butonul progr.select
(11) se foloseste pentru selectarea sirului de stimuli in functie de
specificul testarii. Programele
1-8 se utilizeaza pentru masurarea TR conflict, iar programul 9 se
utilizeaza pentru masurarea TR amestecat. Aceste
programe sunt fixe, exista prin constructia aparatului, ele nu pot fi
modificate sau sterse.

progr.select
Control reactii
Nr. prog. Nr. itemi Mod de funct. Temp. stimulilor Butonul sound/light (apasat/neapasat)
1 32 AUT. Scurta Cu semnal sonor sau fara
2 32 MAN. Scurta Cu semnal sonor sau fara
3 96 MAN. Scurta Cu semnal sonor sau fara
4 96 AUT. Scurta Cu semnal sonor sau fara
5 32 MAN. Lunga Cu semnal sonor sau fara
6 32 AUT. Lunga Cu semnal sonor sau fara
7 96 MAN. Lunga Cu semnal sonor sau fara
8 96 AUT. Lunga Cu semnal sonor sau fara
9 32 TR AMESTECAT Schimbatoare Stimul luminos sau sonor
3. SARCINA DE TESTARE CONFLICT
Sursele de stimuli rosii (1) si verzi (2) aflate pe latura de testare a aparatului administreaza stimuli verzi rosii si rosii verzi, care au fie un timp de expunere scurt (250 ms), fie unul lung (pana la efectuarea reactiei corecte).
Sub sursele de stimuli se gasesc butoanele pentru reactii-conflict la stimuli rosii (3), respectiv verzi (4).
Sarcina subiectului testat este de a apasa in cat mai scurt timp, cu degetul aratator al mainii dominante, butonul aflat sub sursa de stimul, in cazul aparitiei stimulului luminos rosu, respectiv butonul aflat pe partea opusa stimulului luminos aparut, in cazul aparitiei stimulului verde.
In cazul situatiei-conflict, cand apar simultan trei stimuli (2 rosii 1 verde sau 2 verzi 1 rosu), subiectul testat trebuie sa reactioneze la un singur stimul dintre cele doua de aceeasi culoare, in functie de decizia lui.
In situatiile de conflict astfel create, pentru subiectul testat situatia-conflict care expune combinatia de stimuli 2 rosii-1verde este mai "usoara" decat situatia-conflict care expune combinatia de stimuli 2 verzi-1 rosu, deoarece in al doilea caz, reactia corecta este in acelasi timp cea interzisa.
4. INSTRUCTAJELE PROGRAMELOR DE TESTARE CONFLICT
Programul 1
(progr.select (11): 1, sound/light (9): apasat)
itemi, automat, stimuli cu timp de expunere scurt, cu semnal sonor
Instructaj:
Aici (se arata) vedeti doua lumini rosii si doua verzi. Sub fiecare se afla cate un buton pentru reactii.
Sarcina dumneavoastra este sa raspundeti (reactionati) la aparitia acestor lumini, apasand butoanele pe baza unei reguli, cu degetul aratator al mainii dominante.
Regula este: la lumina rosie apasati butonul aflat sub ea (se arata), iar la lumina verde apasati butonul aflat sub lumina verde, dar pe partea opusa celei care a aparut (se arata).
Aparatul expune urmatorul stimul (semnal) doar daca ati reactionat (raspuns) corect.
Daca gresiti, trebuie sa va corectati (reactionand corect), altfel nu apare urmatorul semn (stimul).
Tempoul (ritmul) de lucru este stabilit de dumneavoastra.
Incercati sa lucrati ritmic, fara greseli.
Aveti intrebari?
Atentie, incepem!
Pentru inceperea testarii se apasa butonul start
Aparatul semnaleaza terminarea testarii printr-un semnal sonor, iar imprimanta printeaza rezultatele testarii.
Observatie:
Pe tablou afisarii rezultatelor se poate fixa numarul curent al testarii.
Acest numar poate arata numarul curent al testarilor efectuate in ziua respectiva sau codul persoanei testate.
Numarul curent al testarii se fixeaza cu ajutorul butonului no. (2) aflat pe tabloul de bord al aparatului.
Rezultatele testarii pot fi citite si de pe display (17):
In cursul testarii pe display se poate vedea numarul stimulilor administrati (pana in acel moment), timpul scurs in secunde, cu o precizie de zecime de secunda.
La sfarsitul testarii se poate vedea numarul total al stimulilor (itemilor), timpul total al testarii (de la aparitia primului stimul pana la efectuarea reactiei la ultimul stimul) in secunde, cu o precizie de sutime de secunda.
Exemplu:
3 2 3 1. 7 9
Dupa apasarea butonului step a in randul de sus
va aparea numarul primelor erori, iar in randul de jos
numarul total al erorilor.
Exemplu:
P E 2 T E 3
Observatie:
Prima eroare: prima reactie gresita la stimulul expus,
Total erori: numarul primelor reactii eronate + numarul erorilor de incercare (de
corectare) , aparute dupa prima incercare eronata.
Dupa apasarea butonului step È , reapare afisajul anterior (numarul total al stimulilor si timpul total al testarii).
Programul 2
(Progr.select (11): 2, sond/light (9): apasat)
de itemi, manual, stimuli cu timp de expunere scurt, cu semnal sonor
Instructaj:
In aceasta parte a probei stimulul urmator apare dupa apasarea butonului pentru administrarea stimulilor.
Pentru administrarea stimulilor se apasa acest buton alb (se arata).
La inceputul probei apare o lumina colorata.
Dumneavoastra trebuie sa reactionati conform regulii de la proba anterioara, apoi prin apasarea butonului alb veti cere adminstrarea urmatorului stimul.
Terminarea testarii este semnalata de aparat printr-un semnal sonor.
Aveti intrebari?
Atentie, incepem!
Tabloul afisarii rezultatelor si procedura referitoare la printare sunt identice cu cele prezentate la programul anterior.
Programul 3
(progr.select (11): 3, sound/light (9): apasat)
96 de itemi, manual, stimuli cu timp de expunere scurt, cu semnal sonor
Instructaj:
Pana acum a aparut doar un singur stimul (semnal) deodata.
In urmatoarea parte a probei vor fi situatii in care vor aparea simultan trei semnale.
Trebuie sa raspundeti (reactionati) doar la un singur semnal. Din cele trei semnale luminoase doua sunt de aceeasi culoare.
Reactionati doar la un singur semnal dintre cele doua de aceeasi culoare, dumneavoastra veti alege la care.
Dupa efectuarea reactiei, apasati butonul pentru administrarea stimulilor pentru aparitia urmatorului stimul.
Aveti intrebari?
Atentie, incepem!
La acest program tabloul afisarii rezultatelor se completeaza cu urmatoarele:
-Timpul total al reactiilor corecte la situatii-conflict rosii
-Timpul total al reactiilor corecte la situatii-conflict verzi
-Numarul erorilor la situatii-conflict rosii
-Numarul erorilor la situatii-conflict verzi
-TR la situatii-conflict rosii, 8 buc.
-TR la situatii-conflict verzi, 8 buc.
De pe display se pot citi urmatoarele:
In cursul testarii:
In coltul din dreapta sus: numarul itemilor, in randul de jos: timpul scurs prin masurare continua.
La sfarsitul testarii:
In randul de sus: numarul total al stimulilor (itemilor), in randul de jos: timpul total al testarii.
Exemplu:
9 6 1 2 8 . 4 2
Dupa apasarea butonului step a , in randul de sus va aparea timpul total al reactiilor corecte la situatiile-conflict rosii, iar in randul de jos timpul total al reactiilor corecte la situatiile-conflict verzi.
Exemplu:
5. 2 0 7. 0 1
E R 1 E V 3
La a doua apasare a butonului step a , in randul de sus va aparea numarul erorilor la
situatiile-conflict rosii,
iar in randul de jos numarul erorilor la situatiile-conflict verzi.
P E
3 T E 8
La a treia apasare a butonului step a , in randul de sus va aparea numarul
primelor erori, iar in randul de jos numarul total al erorilor.
Observatie:
Prima eroare: prima reactie gresita la alt stimul decat stimulul-conflict,
Total erori: erori-conflict rosii + erori conflict verzi + primele erori + erori de
incercare (corectare).
Programul 4
(progr.select (11): 4, sound/light (9): apasat)
96 de itemi, automat, stimuli cu timp de expunere scurt, cu semnal sonor
Instructaj:
In aceasta parte a probei sunt valabile aceleasi reguli ca cele de pana acum.
Diferenta este ca acum stimulul (sau trei stimuli simultani) nou va aparea dupa efectuarea reactiei corecte, deci butonul alb nu se mai foloseste.
Aveti intrebari?
Atentie, incepem!
Tabloul afisarii rezultatelor este identic cu cel prezentat la programul 3.
Programele 5,6,7,8
(progr.select (11): 5,6,7,8)
La aceste programe timpul de expunere al stimulilor este lung, deci stimulul ramane pe ecran pana la efectuarea reactiei corecte.
Tablourile afisarii si printarii rezultatelor sunt identice cu cele descrise la programele 1-4.
Observatie:
Fiecare program de testare conflict s poate efectua fie cu semnal sonor, fie fara semnal sonor.
Daca butonul sound/light (9) este apasat, dupa fiecare reactie (corecta sau eronata) se aude un semnal sonor.
In pozitia de baza (neapasata) a butonului sound/light (9) reactiile nu sunt urmate de semnale sonore.
Masurarea TR simplu, amestecat
Cu ajutorul aparatului se poate efectua masurarea TR simplu amestecat.
La aceasta proba apar stimuli luminosi si sonori, la care subiectul testat va reactiona prin apasarea butonului pentru reactii (6) (vezi fig.5) sau sau a pedalei.
In cadrul unei testari alegem un sigur organ de reactie (buton sau pedala).
Stimulul luminos este administrat de LED-ul (5), iar cel sonor (avand 400 Hz) de difuzoarele incorporate.
Programul 9
(progr.select (11): 9, ext.-progr.: neapasat, aut.: apasat)
de itemi, masurare TR simplu amestecat cu stimuli luminosi si sonori
Instructaj
La aceasta proba trebuie sa reactionati la aparitia sunetului sau a luminii rosii.
Veti auzi un sunet care va aparea la intervale neregulate.
Aici (se arata) veti vedea o lumina rosie.
Sarcina dumneavoastra este sa apasati butonul (se arata) de cate ori vedeti lumina rosie sau auziti sunetul. Incercati cum functioneaza butonul!
Aveti intrebari?
Puneti degetul deasupra butonului! Incepem!
Pentru initierea testarii se apasa butonul start (3). Dupa cel de-al 32-le stimul, aparatul se opreste automat.
Printarea rezultatelor nu se face automat.
Apasand butonul start (3) se initiaza printarea rezultatelor.
Rezultatele printate pot fi citite si de pe display:
In cursul testarii:
In randul se sus apare numarul stimulilor administrati, iar in randul de jos apare timpul de reactie la ultimul stimul.
La sfarsitul testarii:
In randul de sus apare numarul stimulilor administrati, iar in randul de jos apare numarul reactiilor anticipate si intarziate.
Exemplu:
3 2 0 1 0 1 0 2
Exemplu:
0. 0 5 1 0. 2 1 3
La
apasarea butonului sd.-m. (16), in randul de sus va
aparea media dispersiei timpilor de reactie, iar in randul de jos va aparea media timpilor de reactie (fara TR al reactiilor anticipate sau intarziate).
SEMNIFICATIA VALORILOR AFISATE PE DISPLAY
5.1 Masurarea TR conflict (32 de itemi)
Rezultate afisate in cursul testarii:
0 0 0 0 0. 0 0
Numar stimul actual
Timp total
Numarul stimulilor afisat se refera la numarul de stimuli administrati pana in acel moment.
Timpul total desemneaza timpul de testare scurs pana in acel moment.
Rezultatele care apar la sfarsitul testarii:
0 . 0 0 0 0 . 0 0 0
Numar stimuli
Timp total
Numarul stimulilor aparut se refera la numarul total de stimuli administrati in cadrul testului. (Intotdeauna 32)
Timpul total desemneaza timpul scurs de la aparitia primului stimul pana la efectuarea ultimei reactii corecte.
Rezultate vizualizabile:
P E 0 0 T E 0 0
Prime erori
Total erori
Valoare aparuta in primul rand este numarul total al primelor erori la stimulii administrati.
Numarul total de erori se refera la suma primelor erori si a erorilor de corectare (incercare).
5.2. Masurarea TR conflict (96 de itemi)
Rezultate afisate in cursul testarii:
0 0 0 0 0. 0 0
↙ Numar stimuli
Timp total
In primul rand apare numarul stimulilor administrati pana in acel moment. In al doilea rand apare timpul de testare scurs pana in acel moment.
Rezultate afisate la sfarsitul testarii:
0 0 0 0 0. 0 0
Numar stimuli
Timp total
In primul rand apare numarul total al stimulilor administrati in timpul testului (Intotdeauna 96). In al doilea rand apare timpul total al testarii (timpul scurs de la aparitia primului stimul pana la efectuarea ultimei reactii).
Rezultate vizualizabile:
0 . 0 0 0 . 0 0
Timp conflict rosu
Timp conflict verde
Pe display apar timpii conflict insumati separat pe cele doua culori.
↙Eroare conflict rosu
0 0 0 0
Eroare conflict verde
Pe display apar erorile conflict insumate separat pe cele doua culori.
Numar prime erori
E P 0 0 T E 0 0
Numar total erori
In primul rand apare numarul total al primelor erori.
Numarul total al erorilor contine: primele erori + erori conflict rosii + erori conflict verzi + erori de corectare.
TABLOURI ALE AFISARII REZULTATELOR
Program de testare cu 32 de itemi, automat, stimuli de scurta durata (program 1)
*
* CST CONFLICT *
* *
Numele:
Varsta: Cod identificare: ..
Studii: .
Profesia:
Locul testarii: ..
Data: .. Nr. testarii: 01
Nr. program: 1
Mod de functionare: 32 de itemi, automat, stimuli de scurta durata
Cu semnal sonor
Rezultate:
Timpul testarii: (s): 30.40
Nr. prime erori: 1
Nr. total erori: 2
Observatii:
Examinator
6.2. Program de testare cu 32 de itemi, manual, cu stimuli de scurta durata (program 2)
*
* CST CONFLICT *
* *
Numele:
Varsta: Cod identificare: ..
Studii: .
Profesia:
Locul testarii: ..
Data: .. Nr. testarii: 49
Nr. program: 2
Mod de functionare: 32 de itemi, automat, stimuli de scurta durata
Cu semnal sonor
Rezultate:
Timpul testarii: (s): 43.13
Nr. prime erori: 1
Nr. total erori: 1
Observatii:
Examinator
6.3. Program de testare cu 96 de itemi, manual, stimuli de scurta durata (program 3)
*
* CST CONFLICT *
* *
Numele:
Varsta: Cod identificare: ..
Studii: .
Profesia:
Locul testarii: ..
Data: .. Nr. testarii: 49
Nr. program: 3
Mod de functionare: 96 de itemi, manual, stimuli de scurta durata
Cu semnal sonor
Rezultate:
Timpul testarii: (s): 126.97
Timpul reactiilor corecte conflict rosu: (s): 4.67
Timpul reactiilor corecte conflict verde: (s): 5.51
Numar erori conflict rosu: 1
Numar erori conflict verde: 1
Numar prime erori: 3
Numar total erori: 5
Rezultate partiale:
TR conflict rosu (s):
0.40 0.37 0.40 0.32
0.78 1.21 0.84 0.35
TR conflict verde (s):
0.59 0.55 0.50 1.30
0.48 0.60 0.60 0.89
Observatii:
Examinator
6.4. Program de testare cu 96 de itemi, automat, stimuli de scurta durata (program 4)
*
* CST CONFLICT *
* *
Numele:
Varsta: Cod identificare: ..
Studii: .
Profesia:
Locul testarii: ..
Data: .. Nr. testarii: 49
Nr. program: 4
Mod de functionare: 96 de itemi, automat, stimuli de scurta durata
Cu semnal sonor
Rezultate:
Timpul testarii: (s): 108.13
Timpul reactiilor corecte conflict rosu: (s): 3.20
Timpul reactiilor corecte conflict verde: (s): 5.14
Numar erori conflict rosu: 0
Numar erori conflict verde: 1
Numar prime erori: 4
Numar total erori: 6
Rezultate partiale:
TR conflict rosu (s):
0.42 0.40 0.51 0.36
0.35 0.40 0.45 0.31
TR conflict verde (s):
0.71 0.71 0.91 0.64
0.35 0.61 0.56 0.46
Observatii:
Examinator
6.5. Program de testare a TR simplu, amestecat (program 9)
*
* COMPLEX SENZORIOMOTORIAL TESTER *
* *
Numele:
Varsta: Cod identificare: ..
Studii: .
Profesia:
Locul testarii: ..
Data: .. Nr. testarii: 92
Mod de functionare:
TR simplu, Amestecat-Mixed Time:progr. Program: 9
.
Reactie Stimul Omise Anticipate Intarziate Medie Dispersie
Mana 32 00 01 01 0.213 0.051
Reactii evaluate:
0.206 0.186 0.167 0.225 0.215 0.220 0.240 0.153
0.220 0.171 0.253 0.224 0.182 0.167 0.451 0.186
0.181 0.234 0.191 0.225 0.191 0.219 0.259 0.176
0.215 0.214 0.220 0.215 0.200 0.210
Observatii:
Examinator
7.STANDARDE PENTRU TR CONFLICT SI SIMPLU, AMESTECAT
7.1. Program 1 (32 de itemi, automat, stimuli de scurta durata)
Prime erori: 1,2 [buc.]
Total erori: 1,5 [buc.]
Timpul testarii:
32 [s]

7.2. Program 2 (32 de itemi, manual, stimuli de scurta durata)
Prime erori: 1,06 [buc.]
Total erori: 1,34 [buc.]
Timpul testarii:
41,6 [s]

7.3. Program 3 (96 de itemi, manual, stimuli de scurta durata)
Timp conflict rosu: 7,1 [s]
Erori conflict verde: 1,4 [buc.] Erori conflict rosu: 0,26 [buc.] Prime
erori: 3,6 [buc.]
Timp conflict
verde: 12,4 [s]

Timp testare: 126,6 [s] Total erori: 7,8 [buc.]

7.4. Program 9 (TR simplu, amestecat)
Media TR: 256 [ms]
Intarziate: 0,106 [buc.] Anticipate: 0,22 [buc.] Dispersia: 74 [ms]

|
Politica de confidentialitate | Termeni si conditii de utilizare |
Vizualizari: 3060
Importanta: ![]()
Termeni si conditii de utilizare | Contact
© SCRIGROUP 2025 . All rights reserved