| CATEGORII DOCUMENTE |
Principii didactice informatica
Pentru o buna organizare si desfasurare a procesului de invatamant, profesorul trebuie sa respecte si sa aplice corect macar urmatoarele principii didactice clasice :
Principiul intuitiei
Principiul legarii teoriei de practica
Principiul insusirii constiente si active a cunostintelor
Principiul sistematizarii si continuitatii cunostintelor
Principiul accesibilitatii cunostintelor
Principiul insusirii temeinice a cunostintelor
Principiul individualizarii si diferentierii invatarii.
Vom descrie pe scurt latura aplicativa a fiecarui principiu in zona noastra de interes.
Principiul intuitiei
Acest principiu exprima necesitatea studierii obiectelor, fenomenelor, proceselor cu ajutorul simturilor, tinandu-sc cont de importanta realizarii unitatii dintre senzorial si rational. A transmite cunostinte de informatica in mod intuitiv inseamna a porni de la contactul direct cu realitatea, pentru ca apoi (prin perceperea acestora) sa se ajunga la generalizari. De cele mai multe ori putem face apel la memorie, reprezentari grafice, asemanari, analogii. Instrumentele de tip multimedia moderne au deschis deja cai nebanuite. Folosind acest principiu, este posibil sa nu putem descrie exact si complet o problema, intr-o singura faza. Putem deschide insa o cale spre intelegerea acesteia, putem stabili un drum cat de cat sigur spre reveniri ulterioare.
Exemple de analogii: asemanarea unei liste cu o multime de cutii postale, asemanarea organizarii datelor unei partitii sub forma de arbore cu o biblioteca.
Principiul legarii teoriei de practica
Raportul dintre teorie si practica depinde in ultima instanta de dificultatea notiunilor implicate, de mijloacele tehnice avute la dispozitie, de cunostintele anterioare, precum si de capacitatile intelectuale ale clasei de elevi avute la dispozitie, de abilitatea si experienta cadrului didactic, in informatica, constientizarea necesitatii utilizarii performante a unor tehnici folosite frecvent astazi in viata cotidiana (coduri de bare, telefonie mobila, transmisie audio-video prin satelit, posta electronica, scanari etc.) este esentiala. Mai mult, importanta verificarii faptului ca elevii sunt in stare sa aplice in practica cunostintele teoretice acumulate este cu adevarat vitala. Sintetizand, putem spune ca aplicarea eficienta a principiului legarii teoriei de practica pretinde respectarea consecventa a urmatoarelor directii:
Ex: vectori: faceti prelucrari cu un vector generic.
exemplu legat de practica: se considera mediile unui elev: se cere sa afle cate corigente are, care este cea mai mare medie.
Prelucrarea sirurilor de caractere: se considera un sir se cere sa se numere cate vocale are. De practica, verirficarea unui CNP, sau intr-o pagina Web verificarea completarii datelor intr-un formular.
Laboratoarele (cu caracter didactic), precum si salile de curs/seminar trebuie dotate (inclusiv in ceea ce priveste conditiile de lucru) la nivelul cerintelor moderne, anticipandu-se conditiile posibile a fi intalnite la viitoarele locuri de munca.
Activitatile practice ale elevilor trebuie sa aiba o finalitate si o aplicabilitate imediata (manifestata, de exemplu, prin lucrul in echipa la contracte ferme cu unitati economice, gen coaching, sau prin elaborarea unui raport cu contributii personale, publicabil in reviste scolare). Ar fi benefic ca atat recompensele, cat si pedepsele sa fie similare cu cele aplicate intr-o activitate reala si nu doar reprezentate de note sau calificative.
Activitatile serioase cer o fundamentare teoretica, constientizandu-se faptul ca partea de teorie este efectiv utila, ba chiar indispensabila daca se doreste o adaptare "din mers' la cerinte ulterioare.
Asistenta cadrelor didactice trebuie corelata cu apelarea la specialisti "lucrativi' din sfera productiei directe, precum si cu o testare pe cat posibil individualizata si specifica a elevului.
3. Principiul insusirii constiente si active a cunostintelor
Acest principiu exprima necesitatea ca procesul de instruire (acumulare de cunostinte) sa se faca organizat, prin fixarea unor scopuri, finalitati si termene precise, intelegerea semnificatiilor si conexiunilor esentiale pentru studiul obiectului vizat (informatica) trebuie realizata printr-un efort de gandire actional. Profesorul trebuie sa delimiteze inca de la inceputul lectiei scopul si utilitatea practica si teoretica a temei respective, folosind un bogat material exemplificativ. Se urmareste trecerea de la intentie la gandirea abstracta, de la treapta senzoriala la treapta rationala si favorizarea formarii de noi structuri informationale. Pentru evitarea unei insusiri mecanice, se va pune accentul pe metodele active de invatare, pe asigurarea participarii permanente si constiente a elevilor la desfasurarea lectiilor, pe stimularea muncii creatoare si independente, insusirea constienta si activa a cunostintelor determina formarea unor atitudini sau conditii favorizante pentru invatare cum ar fi :
obtinerea unei motivatii favorabile si a satisfactiei invatarii;
asigurarea credibilitatii adevarurilor si transformarea lor in convingeri si deprinderi stiintifice;
sporirea posibilitatilor de a utiliza in mod concret si profitabil informatia asimilata, oferind potentialului intelectual individual sanse superioare de reusita, atat pe plan practic/constructiv, cat si pe plan creativ.
4. Principiul sistematizarii si continuitatii cunostintelor
Scopul oricarei activitati de predare este de a inarma elevii cu un sistem armonios si corect de cunostinte. Logica interna a obiectului de predat si legile generale ale dezvoltarii capacitatilor de cunoastere individuale impun asigurarea continuitatii, dar si necesitatea sistematizarii materiei. Noile informatii relevante vor fi legate de cele deja introduse si vor prefigura informatiile ulterioare (respectandu-se programa scolara). Principiul sistematizarii se concretizeaza deci prin expuneri organizate asupra cunostintelor de asimilat, respectandu-se un anumit plan. Pentru a dezvolta continuu gandirea logica a elevilor, pentru a incuraja participarea lor activa, pentru a le crea deprinderi de sistematizare si generalizare a celor invatate, profesorul trebuie sa-si foloseasca la maximum disponibilitatile creatoare si talentul pedagogic in pregatirea expunerilor. Activitatea individuala constienta a elevului ar trebui sa fie esentiala. Cunostintele nu se pot asimila in salturi, iar deprinderile nexersate se pierd (in special in informatica, unde rata de perisabilitate a acestora este foarte ridicata). Daca dorim un invatamant de masa eficient si asigurarea unei pregatiri ritmice a elevilor, trebuie sa se accepte si un control permanent si riguros al profesorului asupra modului si stadiului de insusire a cunostintelor de catre elevi. Putem recomanda aplicarea catorva reguli generale :
Secventele de cunostinte
transmise trebuie sa fie coerente si unitare, ordinea fiind
determinata de
conexiuni logice clare.
invatarea trebuie facuta ritmic, la intervale optime, asigurandu-se
simultan restruc
turarea si reorganizarea "pachetului' de cunostinte.
in privinta instrumentelor specifice pentru
controlul realizarii acestor obiective putem
cita: utilizarea de rezumate, conspecte, sinteze, planuri de perspectiva,
clasificari,
tabele, scheme,
statistici etc.
Controlul si evaluarea periodica a calitatii
receptarii trebuie sa fie o modalitate de
reglaj, dar si de autoreglaj.
Principiul accesibilitatii cunostintelor
Cunostintele predate pot fi asimilate de elevi numai daca sunt accesibile ca volum si continut. O tema este accesibila atunci cand corespunde particularitatilor psihologice de varsta ale elevilor carora le este adresata, este o continuare fireasca a celor acumulate anterior si corespunde capacitatii lor reale de munca. Conform acestui principiu, respectarea programei scolare, in ideea ca ea a fost "civilizat' construita, apare ca fiind esentiala. De asemenea, demersul instructiv-educativ trebuie adaptat conditiilor concrete ale clasei, stabilindu-se un raport optim intre efortul solicitat elevului si ajutorul care i se acorda in procesul de invatare. Dupa cum am evidentiat deja, in informatica, acest aspect este cu atat mai important cu cat conditiile de lucru se pot schimba cu rapiditate chiar pe parcursul unui aceluiasi semestru. Respectarea particularitatilor psihologice de varsta nu inseamna a scuti elevii de efortul intelectual necesar dezvoltarii gandirii abstracte, in acest scop recomandam:
folosirea unor demersuri gradate de predare/invatare, de genul: de la simplu la complex, de la usor la greu, de la particular la general, de la concret la abstract;
constientizarea elevilor asupra faptului ca efortul personal este absolut esential pentru intelegerea corecta si de durata a celor studiate ;
asigurarea unui studiu ritmic pentru a evita golurile de cunostinte si eforturile ulterioare de intelegere si asimilare ;
asigurarea unui control activ si a unei evaluari permanente, in scopul eficientizarii maxime a actului didactic.
Ex. Predarea unui limbaj de tip Java. Predarea unor tehnici de programare de tip prog dinamica.
Principiul insusirii temeinice a cunostintelor
Acest principiu reclama cerinta fixarii materialului de specialitate studiat, astfel incat elevii sa-1 poata reproduce si utiliza creator atat in rezolvarea temelor scolare curente, cat si in activitatea practica viitoare. Expunerile trebuie facute intuitiv, accentuandu-se esentialul si evitandu-se supraincarcarea. Fixarea cunostintelor nu trebuie realizata printr-o repetare succinta a celor expuse, ci trebuie sa se bazeze pe o receptare logica, rationala, cu ajutorul careia sa se poata identifica esentialul. O asemenea insusire temeinica poate fi obtinuta prin diverse modalitati de recapitulare: curenta, de sistematizare si sinteza, de preintampinare a uitarii celor deja invatate, de asigurare a fixarii in memorie a sistemului de cunostinte fundamentale Putem din nou recomanda respectarea
predarea sa fie intuitiva si accesibila ;
insusirea cunostintelor trebuie directionala spre o asimilare logica si constienta, urmandu-sc un studiu sistematic ;
elevii trebuie stimulati in idcca participarii active si continue la lectii;
este de dorit sa se asigure motivatia invatarii, in stransa legatura cu anumite aspiratii individuale.
Principiul individualizarii si diferentierii invatarii
Exprima necesitatea adaptarii strategici instructiv-educativc atat la particularitatile psihofiziologice ale fiecarui elev in parte, cat si la particularitatile (relativ comune) ale unei grupe omogene de elevi, in vederea dezvoltarii lor ca personalitate si profesionalism. Individualizarea invatarii se refera la valorificarea cat mai buna a posibilitatilor si eforturilor individuale, atat pentru persoanele inzestrate, cat si pentru cele mai putin inzestrate. Se recomanda:
Elaborarea de sarcini instructive (teme, lucrari ele.) individualizate pentru fiecare elev in parte (in functie de aptitudinile, inclinatiile, optiunile, nivelul de dezvoltare intelectuala, coeficientul de inteligenta).
Cerinta ca oricare dintre sarcinile anterior specificate sa fie identificata prin fise de lucru individuale, cum ar fi:
fise de recuperare (pentru cei ramasi in urma);
fise de dezvoltare (pentru elevii foarte buni);
fise de exercitii, destinate tuturor, in scopul formarii unor priceperi si deprinderi aprofundate;
fise de autoinstruire, destinate in special insusirii unor tehnici de invatare individuala si independenta;
fise de evaluare generala, pentru constatarea nivelului general de pregatire.
Consultatiile speciale, individualizate, nu pot fi evitate. Diferentierea invatarii exprima insa necesitatea de a adapta continutul strategiilor educationale in functie de particularitatile comportamentului individual (sau de grup) al elevilor (cum ar fi promovarea aptitudinilor specifice pentru anumite materii). Aceasta diferentiere va raspunde atat satisfacerii nevoilor destinate tratarii unor particularitati psihologice individuale, cat si satisfacerii unor cerinte sociale privind pregatirea si utilitatea existentei unor specialisti. Aici ar fi utile: crearea de scoli si/sau profile specializate ; relaxarea invatamantului prin introducerea mai multor discipline optionale si facultative ; intensificarea activitatilor de coordonare directa profesor - elev (consultatii, discutii, mese rotunde, cercuri de profil ctc.); cunoasterea cat mai completa a fiecarui elev, atat ca individualitate, cat si ca fiinta sociala; imbinarea judicioasa a tratarii individuale si diferentiate cu cea globala, de grup, in care se rezolva sarcini de echipa; utilizarea invatamantului asistat; constientizarea elevilor privind posibilitatile proprii de formare/ dezvoltare intelectuala.
2. Exemplu
Pentru ilustrarea aplicarii tuturor principiilor (si nu numai), vom incheia acest capitol cu un exemplu global. Problema turnurilor din Hanoi este, consideram noi, un exemplu suficient de edificator si de complex, putand fi folosit si pentru:
prezentarea unor notiuni informatice generale : cuvant, limbaj formal; graf (arbore); stiva (lista, coada);
intelegerea metodelor div et impera si back.;
intelegerea derecursivarii automate in sens iterativ (parte a constructiei compilatoarelor) ;
intelegerea unor tehnici de prelucrare a imaginilor;
introducerea catorva consideratii de corectitudine si complexitate a algoritmilor;
introducerea catorva concepte de programare nestandard, cum ar fi programarea functionala.
Enuntul problemei, in orasul Hanoi exista 3 (trei) turnuri de aur care au in varf un numar de n discuri de diamant. Fiecare disc are propria sa dimensiune, dimensiunile (adica diametrele) fiind diferite intre ele. Discurile sunt plasate initial pe un singur turn, de jos in sus in ordinea descrescatoare a diametrelor (discul cu diametrul maxim gasindu-se la baza). Se cere sa se deplaseze cele n discuri de pe turnul initial pe un altul (folosind, eventual, ca suport intermediar si al treilea turn).
Restrictii. Mutarea discurilor trebuie facuta intr-un numar succesiv de pasi independenti, la fiecare pas mutandu-se un singur disc de pe un turn pe altul; se muta intotdeauna discul din varf (adica cel cu diametrul minim de pe turnul respectiv); nu se poate aseza un disc cu diametrul mai mare peste unul cu diametrul mai mic.
Solutie. Ca un prim comentariu, sa remarcam faptul ca enuntul recursiv este foarte simplu, desi ideea unui algoritm iterativ general pentru aceasta problema nu este deloc transparenta. Propunem alegerea urmatoarelor notatii, care vor simplifica exprimarea ulterioara a solutiei:
Pentru turnuri: i, j, k
valori diferite
intre ele, unde i reprezinta turnul "de plecare', j este
turnul de sosire, iar k este "turnul intermediar', in acest caz,
putem observa ca avem k = 6 - i - j = al
treilea (i, j).
Discurile vor fi notate cu l, 2, n, in functie de dimensiune (n este discul de dimensiune maxima).
Mutarile vor fi desemnate prin triplete de tipul <a, b, 0>, ceea ce va insemna ca se
deplaseaza discul c (cel mai din varf) de pe turnul a pe turnul b (in varf).
Desigur ca a, b
, iar c
.
Succesiunea mutarilor va fi indicata prin ".".
Exprimarea problemei ca o functie definita recursiv (in sens matematic). Daca m este numele functiei (care depinde de : turnul-sursa, turnul-destinatie, numarul de discuri mutate), atunci putem defini:
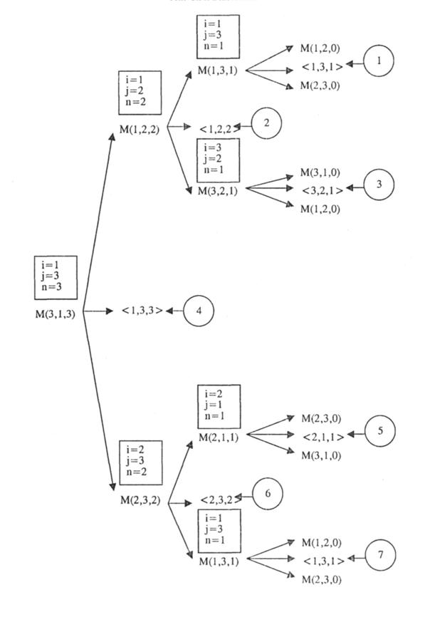
M(i,j,n) = M(i,k,n-1) < i, j, n> M(k, j, n-1)
Intuitiv, pentru a deplasa n discuri de pe turnul i pe turnul j, se deplaseaza intai n-1 discuri de pe turnul i pe turnul k si in final se deplaseaza cele n-1 discuri ramase de pe turnul k pe turnul j. in cadrul unei lectii concrete, se pot da explicatiile de rigoare cu privire la functia recursiva si la faptul ca un limbaj de programare functional este un limbaj care lucreaza cu liste si liste de cuvinte. Faptul ca definitia recursiva este corecta rezulta imediat prin inductie, in final, se obtine valoarea functiei ca o secventa finita de pasi (cuvant) de tipul <i, j, n>. Acest lucru rezulta din faptul ca, aplicand in mod repetat definitia lui m, in egalitatea precedenta n scade la fiecare repetare.
Observatie M (p, q, 0 ) va reprezenta cuvantul vid (punctul din definitia lui m poate fi considerat ca
reprezentand operatia de concatenare, in sensul obisnuit al teoriei limbajelor formale) .
Acum, sa precizam ca pentru derecursivarea algoritmului vom folosi o stiva. Initial, stiva este goala, in reprezentarea grafica, ordinea mutarilor este data de numarul incercuit. Elementele stivei denota :
i) M apelul recursiv al functiei M.
ii) M ( 0) - se ignora apropo de orice actiune (de fapt, acest simbol va fi sters ulterior).
iii) <>- se efectueaza o mutare normala.
Operatiile generale care se efectueaza asupra stivei sunt :
In cazul i) Daca vorbim de un apel al functiei m cu ultima pozitie diferita de zero, atunci continutul "capului' se sterge si acesta se inlocuieste cu 3 celule noi. Restul continutului stivei "coboara'.
In cazul ii) Continutul capului stivei se sterge si restul continutului urca in stiva.
In cazul iii) Se executa efectiv mutarea indicata, se trece aceasta pe lista de iesire (care va constitui in final solutia problemei) si apoi se procedeaza ca mai inainte.
Procesul se termina si se obtine solutia finala doar in momentul cand stiva redevine goala, in exemplul detaliat de mai jos, consideram cazul i = 1, j = 3, k = 2, n = 3. Ceea ce se gaseste in finul, ca succesiune de mutari, este :
<1,3,1>
<1,2,2>
<3,2,1>
<1,3,3>![]()
<2,1,1>
<2,3,2>
<1,3,1>
Observatie.
Numarul de noduri in graful general este 1+20
3+. . . +2n-1
daca sunt
n discuri si 3 turnuri. Numarul exact de mutari poate fi calculat imediat.
Imaginea stivei si a grafului prin care se reprezinta backtracking-ul sunt prezentate in continuare.


|
Politica de confidentialitate | Termeni si conditii de utilizare |
Vizualizari: 2615
Importanta: ![]()
Termeni si conditii de utilizare | Contact
© SCRIGROUP 2025 . All rights reserved