| CATEGORII DOCUMENTE |
Compresia vorbirii prin modulatia diferentiala a impulsurilor in cod
Obiectivul lucrarii este studiul comprsiei surselor audio, in particular a vorbirii, prin codarea diferentiala pe 1 bit.
1. Modulatia diferentiala uniforma
La acest tip de modulatie, prin canal se transmite un singur bit care poarta informatia despre semnul diferentei, deci despre tendinta pe care o are semnalul supus transmisiei. La receptie se va adauga sau se va scade o cuanta din esantionul anterior reconstituit, dupa cum bitul receptionat este 1 respectiv 0.

Figura 1: Schema bloc pentru modulatia diferentiala uniforma.
Cuantizorul
genereaza un semnal binar bk
in functie de diferenta dintre esantionul curent si
esantionul anterior reconstruit:
. Esantionul actual reconstituit
, se obtine printr-o sumare:
.
In figura 2, sint ilustrate doua tipuri de erori de cuantizare ce apar la modulatia delta liniara:
eroare de neurmarire pe portiunile rapid variabile ale semnalului s(t):
eroare de palier sau zgomot granular, sau de pauza, pe portiunile lent
variabile ale semnalului. Viteza de variatie a semnalului de intrare s(t) este ds(t)/dt, iar viteza de variatie a semnalului
este D fs

Figura 2: Distorsiunea de neurmarire si de palier
2. Modulatia diferentiala adaptiva
2.1. Algoritmul SONG
Daca Do este cuanta minima, algoritmul Song de calcul a cuantei D la pasul k se formalizeaza astfel:
(1)

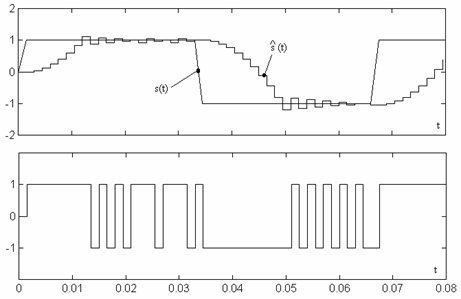
Figura 3: Exemplu pentru algoritmul Song
Algoritmul de modulatie delta adaptiva Jayant
Algoritmul de adaptare a cuantei este:
(2)
I
n algoritmul Jayant, variatia cuantei este dictata - in principal - de factorul P. Din consideratii statistice, se impune, pentru o larga clasa de semnale analogice si pentru a realiza o aproximatie buna a semnalului de intrare, ca factorul P sa fie ales astfel:
1 P (3)
Observatie: In cazul p=1.5, relatia de calcul a cuantei este:
(4)
In figura 6 se prezinta un exemplu pentru algoritmul Jayant.

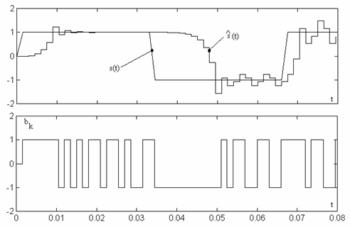
Figura 4: Exemplu pentru algoritmul Jayant
3. Desfasurarea lucrarii
1). Se parcurge codul sursa Matlab pentru identificarea operatiilor si transformarilor urmarite.
2). Se ruleaza programul pentru toate combinatiile din setul de parametri: compression (3 valori) si ver (2 valori). Rezulta un numar de 6 rezultate.
3). Se interpreteaza rezultatele obtinute cu evidentierea portiunilor in care algoritmii lucreaza corect.
4). Se asculta fisierele necomprimate si cele obtinute dupa decomprimare. Se cauta explicatii pentru diferentele calitative si cantitative observate.
4. Tema pentru acasa
Sa se scrie codul Matlab pentru decompresie prin prelucrarea fisierului 'compressed.bin'. Tema trebuie prezentata sub forma duala, deci programul trebuie sa faca atat compresia cat si decompresia.
|
Politica de confidentialitate | Termeni si conditii de utilizare |
Vizualizari: 1877
Importanta: ![]()
Termeni si conditii de utilizare | Contact
© SCRIGROUP 2025 . All rights reserved