| CATEGORII DOCUMENTE |
Algoritmi si scheme logice
Generalitati
Algoritmul constituie baza programarii calculatoarelor. Este alcatuit din totalitatea operatiilor care, executate intr-o anumita ordine, folosind o multime de valori, produc o alta multime de valori. Denumirea de algoritm (al-kharezmi) provine de la numele matematicianului arab Abu Ja'far Mohamed ibn Mûsa al Kahowarizmi.
In activitatea de rezolvare a problemelor cu ajutorul calculatorului elaborarea algoritmilor reprezinta cea mai importanta etapa, obligatorie si uneori dificila.
a) Formularea problemei:
definirea intrarilor - datele - precizand tipul, proprietatilor si domeniul valorilor;
definirea iesirilor - rezultatele;
precizarea relatiilor dintre date si rezultate;
b) Intocmirea algoritmului - descrierea modului de rezolvare a problemei
c) Alcatuirea programului intr-un limbaj adecvat.
Forma de reprezentare a algoritmilor
a) Schema logica - reprezentarea grafica;
b) Limbajul algoritmic - pseudocodul;
c) Limbajul conventional - ansamblu de reguli sintactice simple asemanator limbajului matematic;
d) Tabelele de decizie folosite in cazul proiectelor informatice mari.
Schema logica
Schema logica este reprezentarea grafica a algoritmului asociat unei probleme. In alcatuirea lor sunt utilizate urmatoarele simboluri:

Exemplu: sc
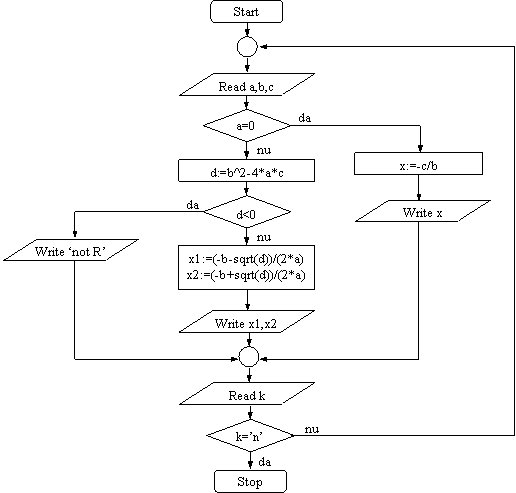
Schema logica pentru rezolvarea ecuatiei de gradul II

|
Politica de confidentialitate | Termeni si conditii de utilizare |
Vizualizari: 6111
Importanta: ![]()
Termeni si conditii de utilizare | Contact
© SCRIGROUP 2025 . All rights reserved