Scrigroup - Documente si articole

     

HomeDocumenteUploadResurseAlte limbi doc
AgriculturaAsigurariComertConfectiiContabilitateContracteEconomie
TransporturiTurismZootehnie

Navigatie

- Transport multimodal

Transporturi



+ Font mai mare | - Font mai mic




Transport multimodal

Cuprins.


I.        Tema proiectului si elementele de proiectare.

II.      Consideratii privind transportul multimodal si combinat. Deinitii clasificare

III.           Consideratii privind transportul combinat Auto Cale ferata de containere

IV.           Organizarea unui sistem combinat Auto Cale ferata de containere

A.    Calculul elementelor de proiectare

B.    Programul Cadrul (Grafic) de derulare a transportului combinat Auto Cale ferata. Fazele procesului de transport.

C.    Calculul sarcinilor de tranport Qzmax.

C1 Alegerea si calculul unitatilor tehnice de incarcatura

C2 Alegerea si calculul parcului de autocamioane platforma in T1

C3 Alegerea si calculul parcului de vagoane

D.    Calculul terminalului de transport

D1. Stabilirea elementelor terminalului

D2 Elaborarea schitei terminalului

D3 calculul elementelor terminalului de transport

D4 Tehnologia de lucru in terminalul de transport

D5 Elaborarea programului de circulatie al trenului naveta intre T1 si T2

D6 Elaborarea regulamentului de organizare si functionare a terminalului

D7 Stabilirea organigramei terminalului si elaborarea regulamentului de organizare si functionare

E.    Calculul indicatorilor Terminalului de transport

Piese desenate

Planul de situatie al terminalului de transport

Unitatea tehnica de incarcatura

Mijloacele de transport rutier

Mijloace de transport feroviar

Memoriu tehnic justificativ

Bibliografie

Numarul de ordine 14 (diferit de la caz la caz)





Tema (N.O. = 14)


Sa se proiecteze un sistem de transport combinat Auto Cale ferata pentru containere, in urmatoarele conditii.

Cantitatea anuala de transport la expeditor QaE = 70000 (1+0,01n) 87500 [t/an]

Cantitatea anuala de transport sosire QaS = 50000 (1+0,01n) 62500 [t/an] 

Procentul de containere goale

O La expediere 10%

O La primire 40%

Distante de transport rutier de acumulare si distributia containerelor

o e = expediere le T1 = 10 (1+0,1n) = 35 km

o s = sosire ls T2 = 150 (1+0,01n) = 187,5 km

o transport feroviar lF = 1500 (1+0,01n) = 1875 kmT1 - T2

Vitezele de circulatie care se vor folosii sunt urmatoarele:

O Pentru transport rutier VR = 30 km/h

O Pentru transport feroviar VF = 50 km/h

Alte date de proiectare

O Zilele lucratoare pe an 250 zile

O Coeficientul de neuniformitate

Sezonier

Lunar

Zilnic

O (Coeficientul de utilizare a unitatii de incarcatura) / (mijlocul de transport)

Se considera numarul zilelor lucratoare pe an

O ZL/An = 365 (feroviar)

O ZL/An = 250 (rutier)

Programul de lucru C.F.R. 24h/24h



Introducere


Transportul are o semnificatie deosebita in relatiile economice ale tarilor lumii, el fiind drept instrument de legatura in aspectul tehnic al acestor relatii. In prezent existenta, dezvoltarea oricarui stat nu poate fi imaginata fara un transport bine dezvoltat.

Odata cu dezvoltarea pe plan global a tuturor domeniilor s-a observat si o dezvoltare impresionanta a transporturilor, fie acestea rutiere de pasageri sau de marfuri, feroviare, acvatice sau aeriene. Aceasta dezvoltare include in sine asa parametri cum sint siguranta sporita a traficului, viteza mai mare de transportare a incarcaturilor, eficienta mai inalta a sistemelor de transport, iar in rezultatul acestei dezvoltari s-a usurat cu mult procesul de productie in toate ramurile industriale.

Dar totodata dezvoltare inseamna si cresterea nivelului de complexitate a dirijarii sistemelor de transport, ceea ce impune o calificare mai inalta a specialistilor din domeniu, precum si o responsabilitate sporita a acestora.

Astazi schimbul de produse si activitati este asa de dezvoltat incat, practic, nu mai exista zone si localitati care sa depinda exclusiv de produsele obtinute pe plan local. Transportul a facut posibila exploatarea mai completa si mai eficienta a resurselor naturale ale planetei, contribuind nemijlocit la progresul economico-social al tarilor lumii.

Aspectele sociale pe care le genereaza activitatea de transport se refera in principal la urmatoarele:

deplasarea libera a oamenilor, schimbul de idei si experienta contribuie la imbogatirea tezaurului universal al gandirii si cunoasterii umane;

pe masura dezvoltarii si perfectionarii transporturilor s-a extins activitatea de turism pentru odihna si recreare sau in scopuri terapeutice atat in plan intern, cat si international.

Mijloacele de transport mai rapide si mai sigure, precum si preturile rezonabile ale transportului la orice distanta, au stimulat si stimuleaza in continuare dezvoltarea turismului intern si international;

invatamantul a putut dispune de posibilitatile reale de perfectionare prin schimbul de cadre didactice si studenti intre diverse tari;

locuitorii din zonele mai slab populate nu mai sunt izolati de servicii medicale, personalul de specialitate putandu-se deplasa usor, iar bolnavii care necesita un tratament mai deosebit putand fi transportati la spitale centrale;

activitatile recreative, sportive, culturale si stiintifice pot fi extinse prin deplasarea dintr-o localitate in alta, dintr-o tara in alta, datorita perfectionarii transporturilor si dezvoltarii acestora.

Aspectele politice pe care le genereaza dezvoltarea transporturilor vizeaza in principal:

intarirea economiei nationale prin inlaturarea limitelor impuse de distanta dintre centrele economico-sociale si circulatia rapida, operativa a marfurilor si persoanelor;

implementarea politicii de amplasare a fortelor de productie pe teritoriul tarii;

intarirea capacitatii de aparare a tarii impotriva oricarei agresiuni.

Daca prin transporturile interne se inteleg transporturile efectuate intre localitati sau in interiorul localitatilor unei tari, prin transporturi internationale intelegem acele transporturi care traverseaza cel putin o frontiera de stat, punctele de expediere si de destinatie fiind situate in tari diferite.

Intre starea economiei mondiale si a transporturilor internationale exista o legatura cauzala obiectiva. Starea transporturilor internationale depinde de starea comertului mondial, iar aceasta din urma depinde de starea economiei mondiale. Daca economia mondiala se afla intr-o perioada de avant, de expansiune economica, aceasta va determina o crestere a comertului mondial si o cerere sporita de mijloace de transport. Invers, cand economia mondiala traverseaza o perioada de criza, de recesiune, comertul mondial regreseaza, iar cererea de transport scade.

In ajutorul serviciului de exploatare a diverselor intreprinderi de transport international au fost semnate multiple acorduri si conventii intre statele care practica transportul una pe teritoriul alteia. Aceste acorduri reglementeaza relatiile economice dintre aceste state, precum si penalitatile aplicate fiecarei parsi contractante in caz de incalcare a regulelor acordurilor. Exemple de conventii de acest tip: ADR, AETR, CMR, TIR, AGTC, ATP.

Ideea principala a proiectului de diploma dat este traficul international regulat de calatori.Traficul regulat se efectueaza in baza contractului de transport incheiat intre doua parti contractante. Traficul se realizeaza in baza orarelor si tarifelor stabilite in acest contract.






II. Consideratii privind transportul multimodal si combinat.

Deinitii clasificare


Caracteristicile transportului multimodal

Se vor urmari urmatoarele subpuncte:

Definitia transportului multimodal

Aparitia transportului containerizat in trafic international

Introducerea transportului containerizat in Romania

Terminale de transport feroviar

Cadrul legislativ pentru defasurarea transportului multimodal

Reglementari privind transportul international de marfa

Acordul european privind liniile de transport combinat


Definitia transportului multimodal


Conform ghidului privind transportul multimodal elaborat la GENEVA in 1995 , au fost stabilite urmatoarele definitii :

Mod de transport

Reprezinta metoda de transport utilizata pentru transportul de marfuri sau de persoane .

Poate fi: rutier, feroviar , naval ,aerian ,prin conducte

Mijlocul de transport

Reprezenta felul vehiculului folosit pentru transportul de marfa sau de persoane

Tipuri de mijloace de transport

Vehiculele utilizate in procesul de transport:

Autovehicule de marfa de 40t si 38m .

Trenuri de pasageri, marfa, navete, mixte ,ajutor.

Nave de pasageri,marfuri.

Aeronave de pasageri si cargou.

Transport unimodal

Transportul de marfa care se realizeaza cu un singur mod de transport si care se efectueaza de unul sau mai multi transportatori.Transportul se efectueaza pe baza unui document de transport ( scrisoare de trasura ) intern sau international.

Transportul intermodal

Transportul de marfa care se realizeaza cu mai multe moduri de transport iar documentele de transport se intocmesc de catre un operator de transport.

Transportul segmentat

Transportul care se realizeaza pe segmente iar raspunderea transportatorului se refera numai la aceste segmente.

Transportul multimodal

Transportul in care transportatorul care organizeaza transportul intocmeste un document de transport multimodal si isi asuma responsabilitatea pe intreg parcursul marfii.

Transportul combinat

Transportul care se realizeaza cu aceeasi unitate de incarcatura sau vehicul cu respectarea normelor de transport pentru toate modurile de transport participante la acesta.


INTRODUCEREA TRANSPORTULUI CONTAINERIZAT IN ROMANIA


Incepand cu 1970 se introduce transportul containerizat in ROMANIA prin deschiderea liniei containerizate intre Bucuresti-Basarab si Brasov.

In continuare a fost elaborat un program prioritar de dezvoltare a transportului containerizat din tara noastra .Pentru aduceraea la indeplinire a acestui program s-a trecut la fabricarea containerelor de 10 la uzina din Iasi si transtainerelor de 25 x 32 la intreprinderea de poduri metalice si prefabricate din beton Pitesti ( I.P.M.P.B. Pitesti ) .Ca urmare s-a asigurat baza tehnico-materiala pentru transportul containerizat si sa realizat o retea de terminale care face legatura cu toate centrele din tara.Uzina din Iasi a trecut la diversificarea gamei de containere : 20 , 30 , iar uzina din Pitesti la cea de transtainere.

Datorita acestor dotari ponderea transportului containerizat si transcontainerizat a crescut in volumul total de marfa transportata pana la finele anului 1989. Incepand cu 1990 ponderea acestui volum a scazut si datorita reducerii substantiala a productiei materiale .

In tara noastra au aparut noi operatori de transport in sistemul combinat si s-au deschis trasee de transport multimodal intre Romania si Bulgaria, Ungaria ,Italia ,Germania cu tendinte de extindere a acestora.

Pe plan European , se acorda o atentie sporita transportului de marfa multimodal si datorita unor conditii limitative impuse de o serie de tarii privind protectia mediului si de introducere a unor restrictii si chiar interziceri.


ELEMENTELE TRANSPORTULUI MULTIMODAL


Elementele transportului multimodal sunt:

Cererea de capacitate ( formulata de beneficiar );

Baza materiala specifica;

Resursele umane specializate;

Cadrul legal;

Tehnologiile moderne;

Managementul performant.

In ceea ce priveste modurile si modelele de transport , acestea se refera la faptul ca transportul de marfuri si calatori se pot efectua cu unul din modurile de transport clasice sau cu o combinatie a acestora.

Modelele de transport multimodal sunt alcatuite din 2, 3 ,4 moduri de transport , in functie de cerinta obiectului care constituie titlul contractului de transport.

Sub influenta realitatii europene , cele mai frecvente modele de transport sunt: rutier --feroviar rutier , ceea ce inseamna ca intre doua moduri de transport , auto-cale ferata, transportul este initiat si finalizat de transportul rutier.

Asemenea modele pot face parte din cele doua mari grupe folosite:

transportul in containere;

transportul RO LA.


Cererea de capacitate


Prima conditie de existenta a transportului, in general si a transportului multimodal in mod special este cererea de capacitate formulata de expeditorii de marfa sau de calatorii insusi.

Aceasta cerere de capacitate se concretizeaza in primul rand prin felul si cantitatea de marfa , numarul de calatori, distanta de parcurs si punctele de destinatie. In anumite situatii la aceste elemente se adauga data si perioada cand se doreste sa se efectueze transportul preconizat.

Pentru a se ajunge la asemenea date , beneficiarii transportului , chiar carausii sau agentii de transport , ca atare , efectueaza studii de prognoza , cercetari de marketing, planuri de dezvoltare , strategii pe perioade scurte medii si lungi .

Din pacate,studiile si cercetarile in cauza au in vedere valori si date globale , anuale , care vor fi cu atat mai relative cu cat orizontul de timp pentru care se studiaza este mai indepartat.

Carausii si agentii de transport chiar daca vor primi cererea de capacitate pentru anul imediat urmator , vor trebui sa inteleaga ca pe durata anului care urmeaza sunt posibile fluctuatii mai mici sau mai importante in valorile preconizate .Este foarte important ca cererea de capacitate sa fie cat mai aproape de ceea ce se intampla concret, pentru ca , in functie de aceste valori va trebui sa fie dimensionata baza materiala necesara pentru a face fata cerintelor determinate de aceste comenzi si resursele umane corespunzatoare.


Baza materiala a transportului multimodal


A doua mare conditie a transportului multimodal este alcatuita din : sistemul de cai de comunicatii , terminale de transport, constructii si instalatii de siguranta circulatiei , orientare si informare , genetic numite infrastructuri de transport

Aceasta infrastructura de transport este specifica si caracteristica fiecarui mod de transport in parte ,respectiv rutier, feroviar , naval ,aerian,conducte .

Al doilea element al bazei materiale a transportului multimodal sunt unitatiile de incarcatura , care in nomenclatorul transportului multimodal sunt :

containerele de diferite modele, marimi, capacitati;

remorcile:

semiremorcile ;

cutiile.

Al treilea element al bazei materiale a transportului multimodal este constituit din mijloacele de transport care ca si infrastructura sunt specifice fiecarui mod de transport :auto, feroviar, aerian si naval.

Al treilea element al bazei materiale a transportului multimodal este constituit din utilajele pentru incarcare descarcare, care se clasifica in principal in doua mari categorii:

1.Dupa modul de manipulare

manipulare pe orizontala

manipulare pe verticala.

2.Dupa modul de functionare

functionare continua;

functionare intermitenta.


Terminale de transport feroviar

Terminalele de transport feroviar se realizeaza in sisteme combinate cu transportul naval,aerian, si conducte.

Inceput inca din 1950 odata cu aparitia containerelor ,si transcontainerelor , constructia de terminale , cale ferata- auto a fost exagerat de incurajata ajungandu-se la 1990 ca aceasta retea raspandita pe intregul teritoriu al tarii sa cuprinda 60 terminale de transport.Aceasta proliferare s-a alaturat faptului ca transportul combinat auto-cale ferata era gandit a se realiza : cel rutier pe distante foarte mici iar cel ferat , ca principal mod de transport .

Practic , calea ferata si-a creat niste formatiuni numite de expeditie si camionaj ca parti componente ale terminalelor feroviare, menite sa satisfaca cereriler de transport , deplasarea containerelor intre terminale si clienti expeditor- destinatar pe distante medii 5 , 10 ,15 km.

U.E a stabilit ca in sistemul combinat auto cale ferata transportul rutier de la clienti la terminal si invers sa nu fie realizat pe distante mai mari de 150 km. In acest context se relizeaza urmatoarele lucruri:

reducerea substantiala a investitiilor de creare a treminalelor auto - cale ferata;

creste viteza de transport pe calea ferata prin constituirea de trenuri bloc inchise sau naveta de unitati de incarcatura ;

transportul rutier ramane ca un mod important de transport putandu-se constitui in unitati de exploatare rentabila.

Asa s-a ajuns ca astazi ,practic C.F.R si respectiv Romania sa fie avizate de U.E a se limita la 7 terminale in care sa se concentreze toate sarcinile determinate de transportul multimodal auto-cale ferate :

Bucuresti

Constanta

Bacau

Cluj

Timisoara

Bradu de sus

Craiova

( 1 , 6 , 7 sunt terminale specializate pe sistemul R.O.-L.A. )


Cadrul legislativ al transporturilor


Transporturile din Romania sunt reglementate Legea trasporturilor aprobata prin O.G. 19 din 1997 .Legea stipuleaza ca sistemul national de transport are un caracter strategic si constituie parte integranta a sistemului economic si social si are urmatoarele componente:

infrastructurile de transport ;

infrastructuri mijloace ;

operator de transport.

Legea defineste modalitatile de transport ca parte integranta din sistemul international de transport :

transport rutier ;

transport feroviar ;

transport aerian ;

transport multimodal si combinat.

Pe langa legea transporturilor avem normele uniforme de aplicare a regionalei de transport (NUT).

Pentru transportul multimodal si combinat in NUT la articolul 18 se arata ca unitatile de transport multimodal cuprind containerele mari (transcontainerele) cutii mobile , eurocontainere , containere speciale(usi laterale ,frontale , izoterma , cisterne), semiremorci rutiere, cutii amovibile.


Transportul rutier


Transportul rutier are la baza reglementarile Legii transporturilor precum si ale Ministerului Transporturilor si al Administratiei Nationale a Drumurilor (AND). Controlul acestor activitati se realizeaza de catre autoritatea rutiera romana .


Reglementari privind marile linii de transport internationale de marfuri pe sosele si CFR


In anul 1956 a fost semnata convantia privitoare la trasporturile internationale rutiere . Conventia internationala a obtinut acorduri bilaterale cu privire la transportul de marfuri pe sosele .La CF pe 8 mai 1980 a fost semnata conventia cu privire la transporturile feroviare (COTIF).Dupa aceasta au fost semnate CIM si SMGS (Vietnam , Coreea de Nord , Mongolia , URSS ,China )

Reglementari ale UE care prevad :

dubla alegere a modului de transport ;

lipsa discriminarii intre mijloacele de transport ;

libera circulatie a marfurilor si pasagerilor .


Legislatia in transportul multimodal


In aceasta notiune de legislatie in transportul multimodal se includ organele interne si internatoinale din domeniul transporturilor, actele normative aferente diverselor organisme , contractul de transport intern si international , tarifele si taxele de transport.Obiectivele transporturilor interne si internationale au in vedere :

Asigurarea mobilitatii bunurilor materiale si ale oamenilor;

Asigurarea infrastructurii de calitate;

Acoperirea intregului teritoriu cu mijloace de transport si asigurarea conexiunilor dintre modurile de transport ;

Promovarea cooperarii , combinarii si interoperativitatea modurilor de trasnport;

Utilizarea cu maximum de eficienta a tuturor capacitatiilor existente

Protectia mediului si asigurarea conditiilor optime de existenta a transportului.

Pornind de la aceste obiective, pe plan intern si international , au fost create institutii care printr-o cooperare inalta reusesc sa asigure indeplinirea obiectivelor preconizate in conditii optime .

Organismul principal in organizarea si supravegherea transportului din tara noastra este Ministerul Transporturilor care raspunde in fata guvernului de existenta si buna functionare a sistemului national de transporturi , care este parte integranta a sistemului economic social cu caracte strategic si care se ocupa in concret de traficul tuturor mijloacelor de transport, de politica mijloacelor de transport si de politica operatorilor specializati in transporturi si activitati conexe specifice.

In principal , sistemul national de transport are aceleasi obiective ca si transporturile, in general, subliniate mai sus cu observatia ca cu toata deschiderea pentru cooperare , lucru absolut specific transporturilor , concurenta intre sistemele nationale existand , exista si preocuparea pentru continuarea perfectionarii propriului sistem pentru existenta .

Ca organ de specialitate,Minsterul Transporturilor are in principal urmatoarele atribute:

Elaboreaza strategiile de dezvoltare a activitatiilor de transport pe ramuri;

Urmareste modernizarea infrastructurilor tuturor modurilor de transport ;

Asigura accesul egal si nediscriminatoriu la infrastructura publica de transport a tuturor utilizatorilor;

Asigura conditiile mediului concurential normal in interiorul fiecarui mod de transport ;

Elaboreaza si promoveaza acte normative pentru toate mijloacele de transport , atat pentru activitatea interna cat si pentru cea internationala.

Emite norme tehnice obligatorii;

Elaboreaza politica de formare a personalului si organizeaza examene de autorizare si atestare.

Regionala de transport feroviar are caracter juridic si trateaza problemele comerciale ale transporturilor pe calea ferata.

Problemele tehnice corespunzatoare transportului feroviar sunt prevazute in regulamentul de exploatare tehnica a caii ferate.

Pe plan international sunt organizate institutii pe moduri de transport si pentru transportul combinat auto-C.F .Toate acestea sunt in subordinea comitetului de transport din cadrul comisiei economice al O.N.U .In timp , diversele organizatii internationale au elaborat conditii si acorduri care reglementeaza conditiile in care se realizeaza transportul de marfuri si calatori in trafic international.Astfel ,I.R.U a elaborat printre altele conventia privind circulatia automobilelor in trafic international, document care reglementeaza probleme de constructie auto , de semnalizare rutiera si de circulatie rutiera. In ce priveste constructia automobilelelor , acestea trebuie sa se inscrie obligatoriu in anumite dimensiuni exprimate prin lungime , latime si inaltime,anumita greutate pe roata sau ax, anumite viteze si anumite grade de poluare chimica si fonica.

In domeniul transportului feroviar ,principalul act al transportului este conventia internationala de organizare a transportului feroviar C.O.T.I.F.Pe baza acestui act a fost aprobata conventia privind transportul de marfuri C.I.M si C.I.V .Fiecare dintre aceste conventii au cate un regulament de aplicare ,care sunt : R.I.V. si R.I.C.

Pentru transportul combinat auto C.F a fost elabora acordul general al transportului combinat auto-C.F , incheiat intre U.I.C si I.R.U.

Acordul stipuleaza conditiile in care se poate realiza transportul combinat de marfa auto (pe sosea ) , transportul acompaniat RO LA si neacompaniat .

In cadrul transportului exista cele mai numeroase si complete acorduri si protocoale ,conventii.


NORME UNIFORME PENTRU TRANSPORTUL COMBINAT SI MULTIMODAL


Dispozitii generale

Transportul marfurilor in mijloace de transport specifice traficului combinat UTI (unitati de transport intermodal) sau in containere mici este admis intre statiile deschise pentru traficul combinat si multimodal.

Statiile deschise pentru traficul combinat si multilodal se publica in Buletinul Comercial al Caii Ferate .Transportul marfurilor in uti sau in containere mici intre alte statii decat cele deschise pentru transportul combinat si multimodal se admite numai cu aprobarea caii ferate .

UTI sau containerele mici se pun la dispozitie clientului , in urma cererii scrise sau telefonice a acestuia , la locul indicat de acesta .

Masa marfii incarcate in UTI sau intr-un container mic nu trebuie sa depaseasca valoarea inscrisa pe acesta.

Marfurile incarcate in UTI sau in containere mici se vor asigura respectandu-se reglementarile mentionate in anexa nr. 2 NUT.

Pentru UTI sau pentru containere mici apartinand unei cai ferate se percepe un tarif de utilizare prevazut in tarifele cailor ferate .

Prestatiile efectuate prin serviciile organizate pentru transportul combinat si multimodal , precum si plata tarifelor de transport pe calea ferata, cand s-a convenit in acest fel , se fac cu Decont-Chitanta prezentata in anexa nr. 9.1 NUT

Pentru UTI sau pentru containerele mici sosite in stare incarcata se acorda in statia de destinatie un termen liber de magazinaj de 24 de ore.

Termenul liber de magazinaj incepe sa curga de la ora avizarii destinatarului.Pentru neridicarea in termenul liber de magazinaj aUTI sau a containerelor mici incarcate , din vina beneficiarului, pentru fiecare UTI sau container mic incarcat se percepe tariful de magazinaj prevazut in tarifele caii ferate .

Tariful orar de utilizare a UTI sau a containerelor mici apartinand unei cai ferate se aplica din momentul plecarii din punctele organizate pentru transportul combinat si multimodal catre domiciliul clientului, pana la inapoierea acestora la punctele respective .

Daca in termen de 30 de zile calculate din ziua care urmeaza zilei punerii le dispozitie expeditorului sau destinatarului ,UTIsau containerul mic nu este restituit caii ferate , aceasta poate sa il considere pierdut si sa pretinda plata valorii sale .

Dupa descarcarea marfurilor din UTI si din containere mici , destinatarul este obligat sa efectueze curatirea acestora .Calea ferata poate primi UTI sau containere mici necuratate in statiile in care ea efectueaza curatirea acestora , cu perceperea tarifului de curatire .Statiile in care calea ferata efectueaza curatirea UTI si a containerelor mici si tariful de curatire se publica in tariful caii ferate .

Pana lacuratirea completa a UTI de catre destinatar , in statiile in care calea ferata nu efectueaza curatirea acestora , UTI care apartin caii ferate vor fi supuse tarifului orar de utilizare .


NORME UNIFORME PENTRU TRANSPORTUL COMBINAT SI MULTIMODAL, PENTRU UNITATII DE TRANSPORT INTERMODAL (UTI)


Unitatiile de transport intermodal (UTI) cuprind:containere marii ,cutii mobile , flaturi , eurocontainere, containere speciale , semiremorci rutiere, cutii amovibile si alte asemenea.

Fecare UTI prezentat la transport face obiectul unui singur contract de transport.Cazurile cand se transporta mai multe UTI cu un contract de transport se prevad in tarifrele caii ferate .

Marfurile transportate in vrac in UTI descoperite vor fi marcate cu dungi de vopsea sau var.In acest caz , expeditorul va face mentiunea expresa in scrisoarea de trasura in rubrica Mentiuni ale expeditorului.

Daca UTI sunt prevazute cu instalatii speciale (instalatii refrigerente, bazine cu apa,mecanisme etc.) expeditorului ii revine sarcina de a asigura el singur sau de a se ingriji sa fie asigurata functionarea lor.Aceasta obligatie trece asupra destinatarului din momentul in care acesta si-a valorificat drepturile in conditiile reglementarilor caii ferate .

Dupa eliberarea UTI si in lipsa unor intelegeri speciale , calea ferata nu este obligata sa intervina pentru predare la transport a UTI gol care se inapoiaza .Expeditiile de marfuri incarcate in UTI particulare se tarifeaza atat la cursa incarcata cat si la cursa goala prin aplicarea de tarife speciale prevazute in tarifele caii ferate.

Calea ferata , in functie de capacitatea de depozitare pe platforma terminalului si in baza unei intelegeri incheiata cu beneficiarii de transport la cererea acestora poate aproba depozitarea UTI particulare sau inchiriate , incarcate sau goale , cu perceperea tarifului de depozitare , prevazut in tarifele caii ferate .


NORME UNIFORME PENTRU TRANSPORTUL MULTIMODAL CALE FERATA-NAVAL


Pentru transportul marfurilor cu navele feribot din dotarea caii ferate , pe segmentul maritim , se aplica conventiile internationale de transport feroviar si maritim . Documentele de transport sunt :

scrisoarea de trasura ;

foaia de conosament .

Pretul prestatiei de transport se stabileste potrivit tarifelor caii ferate. Tarifele utilizate sunt convenite prin intelegeri internationale : TEA, Tariful International Romano-Turc etc..;in regim feribot ,tarifele sunt stabilite de calea ferata , corespunzator pietei navlului pentru transporturile realizate in regim RO-RO sau in regim de nava comerciala .


III. CONSIDERATII PRIVIND TRANSPORTUL COMBINAT AUTO-CALE FERATA DE CONTAINERE


Ghidul elaborat de UNCD la Geneva in 1995, privind transportul multimodal precizeaza: Transport multimodal daca transportatorul care organizeaza transportul isi asuma responsabilitatea pentru intregul transport si emite un document M.T..

Acelasi ghid da o definitie si pentru transportul combinat care este transportul de marfuri efectuat cu aceeasi unitate de incarcare sau vehicul, printr-o combinare a modurilor de transport rutier, feroviar si cai navigabile interioare.

La prima vedere cele doua formulari nu se refera la acelasi lucru, in realitate este vorba de un transport international de marfuri, care se organizeaza, se desfasoara cu aceeasi unitate de incarcare, pe baza unui document de transport multimodal (MT), printr-o combinare a modurilor de transport sub responsabilitatea unui transportator ( operator de transport ).

Pentru o intelegere clara si completa, transportul multimodal poate fi definit astfel:

Transportul international de marfuri efectuat intr-o unitate internationala de transport (UIT), pe baza unui document unic, cu cel putin doua moduri de transport, in responsabilitatea unui operator de transport multimodal (OTM).

Transportul este international daca expedierea se face intr-o tara, iar destinatia este o alta tara.

Unitatea internationala de transport sau unitatea tehnica de incarcatura (UTI) este dispozitivul in care se pune marfa la expeditor si care se descarca la destinatar. Pe toata durata parcursului marfa aflandu-se in aceeasi unitate de transport multimodal. Unitatile tehnice de incarcatura sunt: intermodale (containere, cutii mobile, semiremorci si combitrailere) si neintermodale (autocamioane, autotrenuri, vagoane de cale ferata si barje de transport naval).

Modurile de transport care pot conlucra in cadrul transportului multimodal sunt: rutier, feroviar, naval aerian si prin conducte.

Documentul de transport multimodal este emis de Operatorul de Transport Multimodal;, persoana juridica, independenta fata de carausi, membra a Organizatiei de Transport Multimodal (UIRR).

Desi ideea de transport multimodal a aparut inca din anii 40~50, cand transportatorii maritimi duceau marfurile incarcate pe mare pana la destinatie, chiar daca acesta se afla la multi km pe uscat, pe baza aceluiasi covasament (document de transport pe apa), aparitia uni document unic de transport din poarta in poarta, nu a avut loc si nici acel operator de transport multimodal care sa organizeze transporturi internationale folosind serviciile mai multor carausi nu s-a infaptuit.

Ceea ce s-a realizat totusi, la nivelul Europei, a fost Uniunea Internationala a Transportului Combinat Rutier-Feroviar (UIRR).

UIRR a fost creata la 23-octombrie-1970 printr-o constitutie proprie.

La constituirea UIRR au participat 23 oficiali, reprezentand UIC (Uniunea Internationala a Cailor ferate) si IRU (Uniunea Intenationala a Transportului Rutier) care au propus si adoptat structura uniunii si modalitatile de lucru.

S-au evidentiat partile comune favorabile, dar si divergentele.

Concluzia a fot pentru infiintarea UIRR oricare din tehnicile transportului combinat se poate dovedii utila, in functie de circumstante.

Combinarea Route-Roulante a fost conceputa pentru o exploatare de anvergura redusa, pe distante relativ scurte, de 300~400 km , in timp, ce transportul intermodal, in UTI, poate devenii interesant cand distantele de transport sunt mari si foarte mari(>500km).

Principiile care au stat la baza infiintarii UIRR au fost:

societatile de transport rutier reprezinta principalul mod de transport;

reprezentantii transportului rutier trebuie sa aiba voce determinanta;

toate persoanele din transportul rutier trebuie sa aiba acces liber si la transport feroviar.

Misiunea UIRR la infiintare a fost:

schimb dezinteresat de idei;

uniformizarea formalitatilor comerciale;

uniformizarea formalitatilor de transport international si a formalitatilor de facturare;

coordonarea studiilor tehnice si informationale, relative la investitii;

reprezentarea intereselor comune si interventia autoritatilor si organizatiilor nationale si internationale.

Pe parcursul celor peste 30 de ani de existenta conceptul european de transport combinat auto-cale ferata s-a modificat in functie de dezvoltarea acestei tehnici de transport .

UIRR reia la 1-iulie-1999 urmatoarea definitie: Dirijarea de unitati de incarcatura intermodala sau nu, prin cel putin doua moduri de transport cale ferata auto (Art.1 CG-UIRR).

Normele tehnice de organizare si functionare a transportului combinat auto-cale ferata se aplica de UIRR in statele membre prin operatori de transport multimodal (combinat) nationali.

Exemple:

Novatrans Franta

Kombiverkehr Germania

Hupar Elvetia

Cemat Italia

TRW Marea Britanie

Őkombi Austria

Skan Kombi Suedia

Adria Kombi Slovenia

Bohemia Kombi Cehia

CombiIberia Spania

PolKombi Polonia

Hugarocombi Ungaria

Rocombi ROMANIA

Operatorul de transport multimodal, in speta operatorul UIRR, este o persoana juridica care activeaza independent, pe cont propriu, ca interfata intre beneficiarii transporturilor si transportatori (operatorii de transport), de la inceputul si pana la sfarsitul procesului de transport.

OT-UIRR coopereaza cu organizatia Interfrigo Intercontainer, care coordoneaza transportul marfurilor in vagoane izoterme si transcontainere (containere de 10 ~ 40).

OT-UIRR este un transportator general, el asumandu-si direct sarcina de a executa transportul si de a accepta responsabilitatea pentru orice daune sau avarii aduse marfurilor pe parcurs.

OT-UIRR incheie un contract de transport (CIM) cu expeditorul in numele sau, in acest fel devenind factorul principal, direct responsabil pentru intreg procesul de transport.

OT-UIRR asigura spatiile si capacitatile de transport, platesc taxele si impozitele, asigura transportul si intocmeste formalitatile vamale decontand in final toate cheltuielile facute.



Actiunile OT UIRR :


obtinerea Licentei de operator de transport international pentru recunoasterea de catre clienti, banci, asiguratori, vama, ca transportator competent si legal;

credit documentar posibilitatea utilizarii unor documente valabile;

stabilirea acordurilor contractuale cu operatorii de transport (carausi);

controlul riscurilor pe lantul de transport;

asigurarea angajamentelor;

asigurarea asistentei bancare;

sporirea continua a capacitatii de angajament;

promovarea activitatilor proprii;

stabilirea tarifelor, taxelor, comisioanelor;

utilizarea tehnicilor moderne de transport si informationale;

perfectionarea operatiilor modale si intermodale in terminale si la clienti, etc.


Rolul OT - UIRR este de a :


acorda consultatii tehnice, economice si juridice expeditorului la incheierea documentului de transport international (Scrisoarea de trasura CIM);

informa expeditorul cu solutia cea mai buna de transport (mijloc de transport, ruta, etc.);

asigura riscurile transportului

asigura vamuirea marfurilor la expediere;

incuraja transportul de grupaj;

supravegherea transporturilor pe toata durata lor si de a aviza operativ pe cei interesati;

verifica platile si decontarea cheltuielilor de transport si serviciu;

depozita si distribui marfurile din depozitele si antrepozitele clientilor;

asigura servicii auxiliare clientilor (carausi,expeditori,destinatari,etc.).

Sarcinile si obligatiile OT-UIRR si ale clientilor sai (expeditori si destinatari) sunt stabilite prin Acordul General privind Transportul Combinat (AGTC), documentul definitoriu al UIRR (Anexa). Documentul de transport combinat cale ferata-auto este Scrisoarea de Trasura UIC de mare viteza (Anexa).

In afara Rocombi ca operator national de transport UIRR, in Romania mai activeaza si alti operatori. Cei mai cunoscuti sunt CETA (Compania de Expeditii si Transport Auto), Romtrans, Navlomar, s.a.m.d.

Pentru imbunatatirea in continuare a activitatii UIRR si implicit a operatorilor de transport afiliati la UIRR, la 15-aprilie-1991 UIRR a luat forma Asociatiei Cooperatiste avand sediul la Bruxelles asigurand un contact permanent cu Comitetul de Transport Interior al Comisiei Economice a ONU.

In anul 2002 peste 30% din volumul marfurilor transportate in trafic international in Europa au fost efectuate in sistem UIRR. Aproape 80% dintre acestea au fost efectuate in UTI (containere, cutii mobile si semiremorci).



IV. ORGANIZAREA UNUI SISTEM COMBINAT AUTO CALE FERATA DE CONTAINARE


A. Calculul elementelor de proiectare.

Date de intrare: (N.O = 14)

Cantitatea anuala de transportat la expeditor

Cantitatea anuala de transport sosire

Procentul de containere goale la expediere

La expediere 10%

La primire 40%

Distantele de transport rutier de acumulare si distributie a containerelor

Distanta de la expeditor la terminalul T1

Distanta de la expeditor la terminalul T2

Paarcursul feroviar

B. Programul cadru (graphic) de derulare a transportului combinat Auto Cale Ferata de containere.

Fazele procesului de transport

Unde F114 reprezint faze de transport

Faza 1 Incarcarea la expeditor. In aceasta faza mijloacele de transport rutier, (autocamioanele) incarca UTI (unitatile tehnice de incarcatura) containare standardizate ISO in vederea transporturilor la terminalul de plecare T1.

Incarcarea este succesiva timpului minim de stationare la incarcare, fiind egal cu suma timpilor necesari pentru incarcarea fiecarui container.

Operatia de incarcare la expeditor cade in sarcina acestuia deci el asigura utilajele de incarcare descarcare care poate fi:

Transtainere macarale mobile (pe senile sau pneuri) cu capacitate de incarcare corespunzatoare unitatilor tehnice de incarcatura UTI manipulate

Productivitatile curente ale utilajelor de incarcare descarcare a containerelor sunt intre 6 si 12 containere manipulate pe ora

Faza 2 Reprezinta transportul UTI (unitatilor thnice de incarcatura) de la expeditor la terminalul de plecare T1. Distanta medie de transport rutier de la expeditor este conform temei (35 km), iar viteza medie de circulatie este de 30 km/h, Vm = 30 km/h.

Datele de proiectare vor fii:

E = expeditor

T1 = Terminal

La calculul terminalului de transport intre expeditor si terminalul T1 se adauga o valoare ce reprezinta timpi de operare (5 10 %) din timpul de calcul.

Faza 3 Reprezinta faza de transfer prin terminalul T1, a UTI. Valoarea minima a timpului in acest caz este reprezentat de timpul scurs, din momentul sosirii trenului naveta de containere in terminalul T1 pana la momentul plecarii acestuia din terminalul T1, adica suma timpilor de descarcare si incarcare a vagoanelor trenului naveta.

Numarul vagoanelor platforma din trenul naveta este in functie de numarul de containere, ce sunt manevrate zilnic in terminal

In care

= numar de containere manipulate pe zi

= numar de containere incarcate manipulate pe zi

= numar de containare goale manipulate pe zi

Unde:

Qi = Greutate nominala a containerului

= Coeficientul de utilizare a unitatii de incarcatura.

Coeficientul de neuniformitate reprezinta produsul dintre coeficientul de uniformitate.

Sezonier

Lunar

Zilnic

Asadar

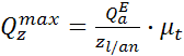
Calculul cantitatii de marfa maxima pe zi

Faza 4 Deplasarea trenului naveta de containare de la terminalul T1 T2. Timpul de deplasare se va calcula cu relatia.

Unde:

tF = timpul de deplasare pe cale ferata

lF = distanta parcursa pe calea ferata

VF = viteza medie pentru transportul pe cale ferata, VF = 50 km/h

= suma timpilor de operare.

Faza 5 Faza de





Politica de confidentialitate | Termeni si conditii de utilizare



DISTRIBUIE DOCUMENTUL

Comentarii


Vizualizari: 4059
Importanta: rank

Comenteaza documentul:

Te rugam sa te autentifici sau sa iti faci cont pentru a putea comenta

Creaza cont nou

Termeni si conditii de utilizare | Contact
© SCRIGROUP 2025 . All rights reserved