| CATEGORII DOCUMENTE |
| Agricultura | Asigurari | Comert | Confectii | Contabilitate | Contracte | Economie |
| Transporturi | Turism | Zootehnie |
| Navigatie |
a. Instalatii de ridicat
Mecanismele de ridicat sunt instalatii de ridicat de complexitate redusa, cu actiune periodica
si care in general au un singur mecanism, cel de ridicare, dintre care se pot aminti: cricuri cu
cremaliera, cu surub, hidraulice; palane manuale si electropalane; platforme ridicatoare manuale;
vinciuri
Macaralele sunt instalatii de ridicat utilizate la manipularea sarcinilor prin ridicarea neghidata
pe verticala si deplasarea pe orizontala a acestora. Gradul de complexitate al unei macarale depinde de
numarul miscarilor si de mijloacele cu care se realizeaza aceste miscari, adaptate in general la
necesitatile tehnologice ale fluxului de lucru in care este integrata macaraua.
Ascensoarele alcatuiesc grupa de masini cu actiune periodica destinate pentru ridicarea
sarcinilor pe ghidaje. : ascensoare de persoane si materiale; schipuri; ascensoare catarg si funiculare.
b. Instalatii de transport continuu
Transportoarele sunt instalatii destinate pentru deplasarea sarcinilor pe o traiectorie
determinata prin actionarea mecanica continua a organului lor activ, in anumite situatii forta de
deplasare este o componenta a greutatii proprii a sarcinii.
a) Transportoarele cu organ flexibil se caracterizeaza prin prezenta unui organ de tractiune
flexibil fara sfarsit care executa o miscare continua primita de la organul de actionare, transmitand
astfel la transportor forta necesara pentru deplasarea sarcinii: transportoare cu banda; transportoare cu
placi; transportoare cu lant; transportoare cu raclete; transportoare cu cupe; transportoare suspendate;
scari rulante.
b) Transportoare fara organ flexibil, nu au organ flexibil de tractiune, forta necesara
deplasarii sarcinii realizandu-se prin diferite piese rigide (cilindrii, tuburu, jghiaburi ): transportoare
gravitationale; transportoare cu rulouri; transportoare elicoidale; transportoare oscilante;
tuburi rotitoare pentru transport.
Instalatiile de transbordare alcatuiesc grupa mecanismelor deplasabile cu actiune continua,
destinate lucrarilor de incarcare descarcare a sarcinilor sub forma de mase granuloase: transportoare
deplasabile; incarcatori mecanici; incarcatori auto.
Dispozitivele auxiliare sunt destinate sa deserveasca functionarea diferitelor categorii de
masini de transportat: planuri inclinate, buncare, inchizatori, alimentatori, descarcatori de buncare,
cantare, etc.
Instalatii pentru transporturi terestre si suspendate
Carucioare fara sine destinate deplasarii sarcinilor pe cai fara sine:carucioare manuale;
electrocare; motostivuitoare; electrostivuitoare.
Instalatii de manevra si deplasare prin rulare destinate pentru deplasarea in interiorul
inteprinderilor a vagoanelor si vagonetelor de cale ferata: cabestane; trolii de manevra; platforme
turnante
Caile suspendate alcatuiesc grupa instalatiilor pentru transporturi suspendate, destinate pentru
deplasarea pe cai suspendate a unor carucioare care poarta sarcina: cai suspendate cu sine si cu cabluri.
2. Modele abstracte in analiza sistemelor de transport: transport discret
Utilizarea modelelor abstracte (matematice sau grafice), servesc la stabilirea unui plan optim de
manipulare a produselor cu satisfacerea unor criterii care sa asigure un optim local sau global in
functionarea sistemelor
Ai (i = 1..m) - m centre (depozite, centre de prelucrare, fabrici, etc.) unde o sarcina omogena
oarecare este disponibila in cantitatile a , a , am
Bj j=1n) - n centre de consum, cu necesarul b , b ,bn
dij - distantele de transport intre utilizatori;
cij - costul transportului unitatii de produs pe distanta dij
xij - cantitati unitare de sarcina ce se transporta.
Modele abstracte in analiza sistemelor de transport: transport continuu
In cazul transportului de masa ( pneumatic si hidraulic ), se defineste proprietatea transportata
T = m [kg], ca fiind marimea sau complexul de marimi care defineste calitatea si cantitatea
transportului
P = potentialul sau densitatea de proprietate transportata

Modelul matematic pentru instalatiile de transport
continuu (cu banda, raclete, suspendate, etc), care asigura
manipularea sarcinilor caracterizate de anumite proprietati
(densitate, granulatie, umiditate, etc.) se stabileste considerand
instalatiile de transport ca un sistem cu timp mort.
Pentru transportorul cu banda (fig.1.4), cu lungimea N si
viteza de transport v, timpul Tm necesar deplasarii materialului
din A in B este Tm = l/v
4. Automatizarea manipularii
Pentru definirea elementelor fiecarui subsistem in parte se foloseste metoda cutiei morfologice,
care reprezinta o clasificare a tuturor elementelor componente ale subsistemului dupa mai multe
criterii. In prima linie se face clasificarea in functie de caracteristicile interne (natura operatiei
respective) ale functiei elementare. Se mai tine seama de caracteristicile externe ale functiunii (agent
folosit pentru actionare): mecanic, electric, pneumatic si hidraulic.

Parametrii IRT: sarcini si forte, marimi cinematice, domeniul de lucru,regimuri de functionare
Capacitatea de ridicare Qs, este valoarea maxima a masei care este admisa a fi ridicata de mecanismul sau instalatia de ridicat, in cazul functionarii in cel mai usor regim de lucru, exprimata in Kgf sau tf.
Caracteristica de sarcina reprezinta dependenta dintre capacitatea de ridicare a instalatiei de ridicat si raza de actiune Qs = f(R).
Sarcina nominala QN,este valoarea maxima a masei (inferioara capacitatii de ridicare) admisa a fi ridicata de mecanismul sau instalatia de ridicat in cazul functionarii in conditiile date de grupa de functionare
Sarcina de incercare este valoarea sarcinii la care este incercata o instalatie de ridicat, un dispozitiv de prindere, un dispozitiv de legare a sarcinii, etc. Cu ocazia probelor si receptiei pentru un scurt interval de timp. Masa organului de prindere este masa dispozitivului de apucare nedemontabil (mufla cu carlig, clestele macaralelor speciale, etc.).
Marimi cinematice

Regimurile de functionare :


3. Temperatura mediului ambiant
C], necesara pentru
verificarea din punct de vedere
termic a motoarelor electrice de actionare. Daca temperatura mediului de lucru difera de temperatura
standardizata,este necesara recalcularea puterii reale la care poate fi incarcat motorul.


Grupele de functionare ale mecanismelor se refera la prescriptii generale de calcul.
Clasa de utilizare este caracterizata de frecventa de incarcare a instalatiilor de ridicat
pe durata lor de viata, determinata de numarul ciclurilor efectuate de mecanism.
Starea de solicitare precizeaza masura in care mecanismul sau un alt element al
mecanismului, este supus la solicitari maxime respectiv solicitari mai mici date de sarcinile curente.
Conventional poate fi caracterizata prin spectrul sarcinilor ridicate care indica procentual proportia de
ridicare a sarcinii nominale raportata la numarul de cicluri de lucru efectuate (N) intr-o perioada de
timp determinata. Ciclul de lucru reprezinta totalitatea miscarilor necesare pentru efectuarea completa
a transportului.
Cuplul static, caracterizeaza comportarea instalatiei de ridicat in regim stationar si reprezinta
cuplul pe care il opune aceasta motorului de actionare in timpul desfasurarii procesului tehnologic.
Pentru mecanismele de ridicat cuplul static este o functie dependenta de spatiul liniar, pozitia
unghiulara sau timp Ms = f(x,
,t).

Notand Gv - greutatea cabinei goala; Gu - greutatea utila; q - greutate pe metru liniar a cablului de tractiune; q - greutate pe metru liniar a cablului de echilibrare.
![]()
* parametrii instalatiilor de transport continuu.
Productivitatea instalatiilor de transport continuu, reprezinta cantitatea de material transportata in unitatea de timp:
Q q v [kg / s] unde: q - sarcina liniara [Kg/m]; v - viteza de deplasare a sarcinii [m/s].
- Granulatia materialului, determinata in baza diagramei granulometrice, exprima in procente marimea granulelor cu dimensiuni de pana la 100% din dimensiunea maxima a granulei celei mai mari. Granulatia caracteristica a materialului sortat, se determina tinand seama de dimensiunile bucatilor minime si maxime:
Unghiul de taluz natural, reprezinta unghiul format de generatoarea conului de material
varsat, care se depune liber pe o suprafata plana orizontala. Este dat de ungiul de frecari interne a materialului.

Elemente flexibile de tractiune: funia, banda, lantul
Masnile de ridicat si transport au in componenta lor elemente flexibile, care fac legatura intre
organele purtatoare de sarcina si cele de actionare sau ghidare. Organele flexibile servesc la legarea,
suspendarea, ridicarea si transportul sarcinilor. Ele trebuie sa fie suficient de rezistente, durabile si
flexibile Se utilizeaza ca organe flexibile: funia, cablul, lantul si banda.
Funia, avand rezistenta la rupere si durabilitate relativ mica se foloseste ca organ flexibil numai
la mecanismele cu actionare manuala pentru sarcini pana la 1 tf si cu caracter temporar, folosindu-se
insa frecvent la legarea sarcinilor, datorita flexibilitatiilor mari.
Banda
Covorul de banda este elementul component al transportoarelor cu banda de a carui durata de
viata depinde eficacitatea utilizarii transportoarelor. Pentru a asigura exploatarea in conditiile concrete
ale procesului tehnologic, banda trebuie sa raspunda urmatoarelor cerinte: flexibilitate transversala
limitata pentru a nu se deschide prea mult intre doi suporti cu role; rezistenta longitudinala mare la
rupere; flexibilitate longitudinala si transversala;
Lanturile sunt elemente flexibile de tractiune utilizate la mecanismele cu functionare in conditii
grele de lucru. Lanturile utilizate in constructia echipamentelor de ridicat si transportat sunt: lanturile
sudate, lanturile articulate si lanturile forjate.
Lanturile sudate din otel rotund sunt alcatuite dintr-o succesiune de elemente identice (zale)
de forma ovala, confectionate din otel rotund.
Lanturile articulate cu bolturi si eclise, sunt utilizate in constructie echipamentelor atat ca
lanturi de tractiune cat si ca lanturi ale transmisiilor prin lant care fac parte din lantul cinematic al
mecanismelor. Sunt utilizate pentru instalatiile de ridicat cu viteze mici si supuse la eforturi mari,
pentru care se mareste numarul ecliselor dar se micsoreaza lungimea lor.
Lanturile articulate sunt constituite din placute (eclise), legat articulat prin bolturi.
Lanturile forjate sunt utilizate in constructia transportoarelor cu raclete si a celor suspendate.
9. Alegerea si verificarea cablurilor din otel
Cablul este ansamblul constituit din mai multe sirme (cablu simplu) sau mai multe toroane
(cablu compus) infasurate elicoidal, sprijinite pe o inima centrala, intr-unul sau mai multe straturi suprapuse.
Toronul este elementul cablului constituit dintr-un ansamblu de mai multe sirme, infasurate
elicoidal, sprijinite pe o inima centrala in unul sau mai multe straturi suprapuse. Un toron se
caracterizeaza prin: natura inimii; numarul straturilor de sarma; sensul si pasul elicei descrise de catre
sirma mijlocie; diametrul toronului.
Clasificare :
Dupa sectiune : - Plate
Rotunde
Dupa taron : - taron rotunjit
Taron profilat
Dupa inima : - vegetala
sintetica
minerala
metalica
Verificarea cablurilor de otel se face la solicitarea compusa de inconvoiere, intindere si durabilitate.
Alegerea si verificarea tobelor pentru cablu
Tobele au in general forma cilindrica.
Tobele pentru acionarea cablurilor si lanurilor sunt folosite la instalaiile de ridicat ale macaralelor, la trolii, carucioare si transportoare.
Tobele cu friciune , sunt utilizate la mecanismele destinate deplasarii orizontale a sarcinilor - cabestane. Miscarea se transmite cablului datorita frecarii dintre cablu si toba pe care se afla infasurate un numar constant de spire, o ramura se infasoara, cealalta desfasurandu-se.
Calculul la compresiune transversala se face considerand toba ca un cilindru cu pereiti grosi supusa la presiune exterioara uniform repartizata pe circumferinta, produsa de infasurarea cablului.
11. Alegerea si verificarea rolelor de cablu
Cablurile sunt ghidate prin role care au un profil standardizat astfel ca ele sa asigure un contact fara impanare si sa permita abaterea organului flexibil fara ca acesta sa iasa din canal. Rolele de cablu se execut din fonta pentru transmisiile cu actionare manuala.
Ansamblul rolei propriu-zise se compune din: butuc, nervuri, obada rolei.
12. Alegerea si verificarea rotilor de lant si cu frictiune
Rotile cu friciune sunt utilizate frecvent in construcia de ascensoare si telefonice miscarea
transmitandu-se prin friciune.
O alta metoda de majorare a coeficientului de frecare, consta in captusirea rotilor de frictiune cu materiale metalice sau nemetalice, cu o mai buna frictiune.
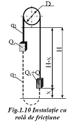
13. Dimensionarea palanului de sarcina
Palanul reprezinta ansamblul de role fixe si mobile infasurate alternativ de organul flexibil de
traciune Este elementul specific masinilor de ridicat si transportat servind pentru amplificarea fortelor de
actionare, putand fi utilizat si ca mecanism independent pentru ridicarea sarcinilor.
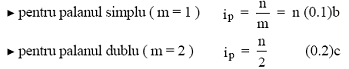
Palanul ca element flexibil
Se numeste grad de multiplicare (raport de transmitere) al palanului ip a, raportul dintre numarul de ramuri de cablu pe care este repartizata sarcina (n) si numarul ramurilor de cablu care se inf aoara pe tambur (m).
Astfel :

15. Alegerea si verificarea carligului simplu si dublu
Calculul carligului simplu forjat se face cu o incarcare egala cu capacitatea de ridicare a
carligului (sarcina nominala corespunzatoare grupei de functionare a mecanismului la care sunt
utilizate) astfel: determinare eforturilor unitare la tractiune si compresiune in sectiunea
principala A-A supusa incovoierii; determinarea efortului unitar de tractiune in sectiunea B-B
determinarea efortului unitar de forfecare in filet.
Alegerea carligului se face tinand seama de :
sarcina nominala admisa a mecanismului de ridicare pe care il echipeaza
grupa de functionare
clasa de rezistenta a materialului din care se face carligul.
MUFLA - Ansamblul de piese suspendat in cablurile in care se monteaza carligul se
numeste mufla carligului. Mufla se compune din : carlig; traversa muflei; peretii laterali ai muflei ce
sustin traversa si axul rolelor de cablu; rola sau rolele de cablu; rulment axial; piulita carligului cu
sistemul de siguranta impotriva desurubarii necontrolate
TRAVERSA
Construita dintr-o grinda metalica 1, care se prinde in carligul mecanismului de ridicare, printr-un lant 2 (cablu) ,cu doua ramuri. Sarcina este fixata de traversa prin legaturi 3 (lanturi, cabluri sau dispozitive speciale).
Traversele sunt in general, organe de prindere a sarcinii detasabile din carlig cu ajutorul carora
se manipuleaza sarcini avand dimensiuni mari.
Cleste de prindere
Pentru manipularea sarcinilor in bucati mari, fara ochiuri de agatare se folosesc clesti de diferite tipuri, la care strangerea sarcinii se realizeaza automat, sub actiunea greutatii proprii a acesteia.

Electromagnetii se utilizeaza pentru manipularea materialelor cu proprietati magnetice de forme si dimensiuni variate, fiind organe de prindere a sarcinii, in general detasabile din carlig.
Se pot prinde la carlig fie direct fie prin intermediul unor traverse, caz in care se prind mai
multi electromagneti in vederea manipularii materialelor cu suprafete plane mari (tole). Prinderea directa a sarcinii conduce la reducerea duratei ciclului de lucru si a personalului de deservire.

|
Politica de confidentialitate | Termeni si conditii de utilizare |
Vizualizari: 6627
Importanta: ![]()
Termeni si conditii de utilizare | Contact
© SCRIGROUP 2025 . All rights reserved