| CATEGORII DOCUMENTE |
| Agricultura | Asigurari | Comert | Confectii | Contabilitate | Contracte |
| Economie | Transporturi | Turism | Zootehnie |
Sistemul de indicatori de evaluare a eficientei economice a investitiilor
indicatorii de eficienta economica a investitiilor se construiesc sub forma unui raport, prin intermediul caruia se compara efectul ca o exprimare a iesirilor din sistem, cu efortul ca o expresie a intrarilor in sistem.
Pentru un sistem economic dat, expresia intrarilor si a iesirilor diferita in functie de scopul urmarit prin analiza eficientei economice. Eficienta tipurilor de resurse trebuie sa tina seama ca exista mai multe etape in atragerea sau apoi consumarea resurselor.
Exista astfel, patru categorii de resurse:
- Resurse naturale, economice si extraeconomice, si se refera la rnateri prime, energie, combustibil, suprafata, si trebuie avut in vedere decalajul ce exista intre volumul si dinamica rezervelor cunoscute sau potentiale si nivelul necesitatilor umane intr-o anumita perioada. Cele mai multe din resursele naturale sunt neproductibile, nu depind de oameni pentru a se regenera, dar depind de felul in care oamenii le folosesc, le economisesc si le protejeaza.
-
Resursele
avansate sunt reproductibili,
sunt create de oameni si
joaca rolul
unui catalizator, a
unor instrumente de
angrenare si
transformare a resurselor
naturale, potrivit necesitatilor umane, intre aceste
resurse se afla, pe primul
Ioc, investitiile, apoi calificarea fortei de munca,
modul de organizare si de
conducere a proceselor economico-sociale,
calitatea serviciilor obtinute.
- Resursele ocupate apar in diferite procese economico-sociale,
in desfasurare, si ele se refera la capitalul fix si circulant, precum si la forta de munca, fiind vorba de resursele financiare, materiale si umane angrenate pentru realizarea unui proiect, dar si dupa punerea in functiune, pe toata durata de exploatare a acestui obiectiv de investitii.
- Resursele
consumate sunt cele de tipul costurilor de productie, deci
a consumatorilor consemnate prin contabilitate la finalizarea unei activitati,
fie ca este vorba de un obiectiv de
investitii dat in exploatare, fie ca este
vorba de produse finite sau servicii realizate de catre acest obiectiv.
Toate aceste resurse parcurg urmatorul proces: - resursele naturale, prin intermediul celor avansate, devin resurse ocupate si trec apoi in resurse consumate.
Efectele investitionale pot fi, de asemenea, economice si extraeconomice, iar economice se pot masura si analiza mai riguros. O investitie eficienta daca aduce atat spor de servicii si produse, un profit mai mare, dar intre timp protejeaza si consumul de resurse umane si financiare.
Analiza eforturilor si a efectelor investitionale devine foarte complexa, daca la eforturile si efectele economice adaugam numeroase eforturi si efecte din afara economicului (tehnice, sociale, informationale, politice, traditii, probleme ecologice, culturale, etc.), toate aceste eforturi si efecte
putand fi, la randul lor, directe sau indirecte, curente sau de perspectiva, insumabile sau neinsumabile in timp si spatiu, interne sau externe unui proces sau proiect de investitii.
Partea economica din domeniul investitiilor utilizeaza in functie de natura raportului, doua tipuri de indicatori:

|
iar indicatorii inversi: |
|
unde K = 1, 100 sau 1000 |
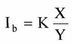
Daca notam cu Y- efectul iar cu X-efortuI atunci indicatorii directi sunt de forma:


Indicatorii directi exprima cantitatea de efect masurat in forma Y,
obtinut la K unitati de efort masurat in forma X, au aceiasi sens de variatie ca si eficienta economica.
Daca exista relatia:

atunci eficienta economica masurata in forma particulara /a este mai mare la momentul f+1 decat la momentul t. Daca exista relatia
![]()
atunci eficienta
economica masurata in forma particulara /a este mai mare
la momentul f in sistemul
A fata de eficienta economica
masurata in
aceeasi forma particulara I8 la momentul t in sistemul B. Daca este ia pragul sau norma de eficienta, si
![]()
Atunci sistemul se afla in regim de eficienta normata.
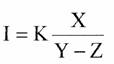
Indicatorii inversi exprima cantitatea de efort masurata in forma X
necesara pentru a obtine K
efecte, masurat in forma Y si au sens de
variatie invers fata de eficienta economica. Daca exista relatia:
![]()
Atunci eficienta economica lb masurata in forma particulara este mai mare la momentul t+1 decat la momentul t. Daca exista relatia

atunci eficienta masurata in forma
particulara lb este mai mare la momentul
t in sistemul A fata de eficienta economica masurata in aceeasi forma
particulara IB, la momentul t in sistemul B.
Daca IA este pragul sau norma de eficienta, si:
![]()
atunci sistemul se afla in sistem de eficienta normata.
Efortul X in toate cazurile in cadrul indicatorilor de eficienta o marime strict pozitiva si are sens invers de variatie fata de eficienta economica.
Daca efectul ramane constant, cresterea efortului duce la scaderea eficientei economice, in ceea ce priveste efectul, acesta poate sa apara in cazul indicatorilor de eficienta economica sub doua forme:
- sub forma efect global cu marimi strict pozitive
-
sub
forma de efect net cu marimi pozitive, negative, sau
egale cu zero.
indiferent de forma efectului, el are aceiasi sens de variatie ca si eficienta economica. Efectul net apare ca o diferenta intre efectul global si efortul facut pentru obtinerea efectului global.
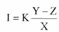
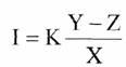
Tinand cont ca X tot timpul pozitiv, in functie de natura efectului vom deosebi doua clase de indicatori:
1. cu efect global Ic> O
2. cu efect net ld <> O
Vom nota cu Y efectul g!obal, Z efortul facut pentru obtinerea efectului global, X efortul facut pentru obtinerea indicatorului de eficienta, Y-
Z efectul net, Indicatorii directi cu efect net vor fi de forma:

Iar cei indirecti vor fi de forma

In cazul indicatorilor cu efect net de tip ld se defineste un tip particular de regim de eficienta economica. Un sistem se afla in regim de eficienta absoluta, daca si numai daca valoarea indicatorilor de tip ld este mai mare sau egal cu zero.

Efortul X este in toate cazurile mai mare ca 0.

Pentru ca un sistem sa se afle in regim de eficienta absoluta, el
trebuie sa produca un efect net Y- Z > O, respectiv sa produca un efect
global - Y >Z - efortul facut pentru obtinerea unui efect global.
In cazul in care ld < 0 sistemul se afla in regim de ineficienta absoluta. Din combinarea celor doua criterii, forma raportului si natura efectului,
rezulta patru clase de indicatori de eficienta economica a investitiilor:
Clasa I - indicatori de tipul Efect global / Efort, indicatori directi care
se optimizeaza prin maximizare si au urmatoarea forma:
|
|
Prezinta urmatoarele proprietati:
/ > O - indicatorul este tot timpul pozitiv
|
|
Daca:
|
|
Atunci sistemul se afla in regim de eficienta normata.
Clasa II - indicatori de tipul Efect net/Efort, indicatori directi, care se optimizeaza tot prin maximizare si au urmatoarea forma:

Prezinta urmatoarele proprietati:
/ > 0= < O - in functie de sensul efectului
![]()
|
|
Daca:
I1>I2
Atunci eficienta in sistemul 1 este mai mare decat eficienta in sistemui 2.
Daca
I>I
Atunci sistemul se afla in regim de eficienta normata, iar daca I > i atunci sistemul se afla in sistem de eficienta absoluta in raport cu efectul
net Y-Z,
Clasa III
- indicatori de tipul Efort/Efect global, indicatori inversi care
se optimizeaza
prin minimizare si au urmatoarea forma:

Prezinta urmatoarele propietati:
/ > O - indicatorul este tot timpul pozitiv
![]()
Daca:
![]()
Atunci eficienta in sistemul 1 este mai mare decat eficienta in
sistemul 2. Daca:
![]()
Atunci sistemul se afla in regim de eficienta normata.
34
Clasa IV - indicatori de tipul Effort / Efect net, indicatori inversi, care
se optimizeaza tot prin minimizare si se prezinta sub urmatoarea forma:

Prezinta urmatoarele proprietati:

Daca:
![]()
Atunci eficienta in sistemul 1 este mai mare decat eficienta in
sistemul 2.
Daca / > O atunci sistemul se afla in regim de eficienta absoluta in raport cu efectul net Y - Z, Conditia ca sistemul sa se afle in sistem de eficienta normata este: O < l </.
Constructia sistemului de indicatori presupune o munca
atenta de
identificare si cuantificare
a tuturor resurselor alocate sau consumate si a
tirpurilor de efecte
generate. Elementele de efort si de efect sunt marimi
multidimensionale, ele fiind descrise de vectori. Relatiile dintre elementele
vectorilor de intrare si
elementele vectorilor de iesire nu sunt relatii
biunivoce intre un element ai
vectorului de intrare si un element al vectorului
de iesire.
In sistem se realizeaza o compunere completa a intrarilor, astfel ca un
element al vectorului de iesire apare ca urmare a unei transformari specifice aplicata pe multimea elementelor vectorului de intrare.
Daca vectorul de intrare este 'm' iar cel de iesire este 'n'
dimensional, atunci eficienta economica apare sub forma unui corp m x n
dimensional.
Descrierea in intregime a acestui corp dificila si in mare
parte inutila pentru
evaluarea eficientei economice, pentru ca nu toate
legaturile din cadrul
acestui corp prezinta semnificatie pentru caracterizarea
eficientei economice, indicatorii de eficienta economica. Vor realiza o legatura
in acest corp, intre o
intrare sau o combinatie lineara de intrari si o iesire sau o combinatie lineara de iesiri. Cu cat legaturile
sunt mai complexe, cu atat indicatorul
devine mai sintetic, dar isi pierde din puterea de analiza.
|
Politica de confidentialitate | Termeni si conditii de utilizare |
Vizualizari: 2728
Importanta: ![]()
Termeni si conditii de utilizare | Contact
© SCRIGROUP 2025 . All rights reserved